Long-Term Incidence of Total Knee Arthroplasty after Open Reduction and Internal Fixation of Proximal Tibial and Distal Femoral Fractures: A Nationwide Cohort Study
Abstract
:1. Introduction
2. Materials and Methods
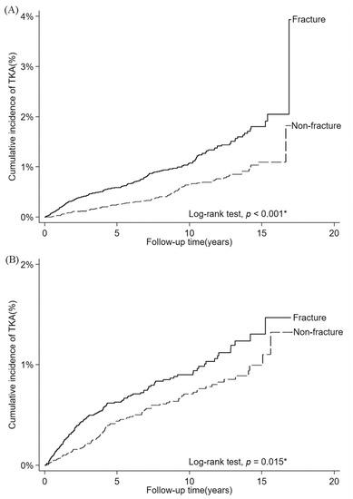
3. Results
4. Discussion
5. Conclusions
Supplementary Materials
Author Contributions
Funding
Institutional Review Board Statement
Informed Consent Statement
Data Availability Statement
Conflicts of Interest
References
- Canadian Orthopaedic Trauma Society. Open reduction and internal fixation compared with circular fixator application for bicondylar tibial plateau fractures. Results of a multicenter, prospective, randomized clinical trial. J. Bone Joint Surg. Am. 2006, 88, 2613–2623. [Google Scholar] [CrossRef] [Green Version]
- Sluys, K.P.; Shults, J.; Richmond, T.S. Health related quality of life and return to work after minor extremity injuries: A lon-gitudinal study comparing upper versus lower extremity injuries. Injury 2016, 47, 824–831. [Google Scholar] [CrossRef] [Green Version]
- LeBrun, C.T.; Langford, J.R.; Sagi, H.C. Functional Outcomes After Operatively Treated Patella Fractures. J. Orthop. Trauma 2012, 26, 422–426. [Google Scholar] [CrossRef] [PubMed]
- Rademakers, M.V.; Kerkhoffs, G.M.M.J.; Sierevelt, I.N.; Raaymakers, E.L.F.B.; Marti, R.K. Operative Treatment of 109 Tibial Plateau Fractures: Five- to 27-Year Follow-up Results. J. Orthop. Trauma 2007, 21, 5–10. [Google Scholar] [CrossRef]
- Aurich, M.; Koenig, V.; Hofmann, G. Comminuted intraarticular fractures of the tibial plateau lead to posttraumatic osteo-arthritis of the knee: Current treatment review. Asian J. Surg. 2018, 41, 99–105. [Google Scholar] [CrossRef]
- Losina, E.; Thornhill, T.S.; Rome, B.N.; Wright, J.; Katz, J.N. The Dramatic Increase in Total Knee Replacement Utilization Rates in the United States Cannot Be Fully Explained by Growth in Population Size and the Obesity Epidemic. J. Bone Jt. Surg. Am. Vol. 2012, 94, 201–207. [Google Scholar] [CrossRef] [PubMed] [Green Version]
- Lee, S.H.; Kim, D.H.; Lee, Y.S. Is there an optimal age for total knee arthroplasty?: A systematic review. Knee Surg. Relat. Res. 2020, 32, 1–11. [Google Scholar] [CrossRef]
- Jorgensen, N.B.; McAuliffe, M.; Orschulok, T.; Lorimer, M.F.; de Steiger, R. Major aseptic revision following total knee re-placement: A study of 478,081 total knee replacements from the Australian Orthopaedic Association National Joint Re-placement Registry. J. Bone Joint Surg. Am. 2019, 101, 302–310. [Google Scholar] [CrossRef] [PubMed]
- Halawi, M.J.; Gronbeck, C.; Metersky, M.L.; Wang, Y.; Eckenrode, S.; Mathew, J.; Suter, L.G.; Eldridge, N. Time Trends in Patient Characteristics and In-Hospital Adverse Events for Primary Total Knee Arthroplasty in the United States: 2010–2017. Arthroplast. Today 2021, 11, 157–162. [Google Scholar] [CrossRef]
- Kinoshita, T.; Hino, K.; Kutsuna, T.; Watamori, K.; Tsuda, T.; Miura, H. Gender-specific difference in the recurrence of flexion contracture after total knee arthroplasty. J. Exp. Orthop. 2021, 8, 1–9. [Google Scholar] [CrossRef] [PubMed]
- Vestergaard, V.; Pedersen, A.B.; Tengberg, P.T.; Troelsen, A.; Schrøder, H.M. 20-year trends of distal femoral, patellar, and proximal tibial fractures: A Danish nationwide cohort study of 60,823 patients. Acta Orthop. 2019, 91, 109–114. [Google Scholar] [CrossRef] [PubMed] [Green Version]
- Honkonen, S.E. Degenerative Arthritis After Tibial Plateau Fractures. J. Orthop. Trauma 1995, 9, 273–277. [Google Scholar] [CrossRef]
- Vestergaard, V.; Schrøder, H.M.; Hare, K.B.; Toquer, P.; Troelsen, A.; Pedersen, A.B. Patient-reported outcomes of 7133 distal femoral, patellar, and proximal tibial fracture patients: A national cross-sectional study with one-, three-, and five-year follow-up. Knee 2020, 27, 1310–1324. [Google Scholar] [CrossRef]
- Schenker, M.L.; Mauck, R.L.; Ahn, J.; Mehta, S. Pathogenesis and prevention of posttraumatic osteoarthritis after in-tra-articular fracture. J. Am. Acad. Orthop. Surg. 2014, 22, 20–28. [Google Scholar] [CrossRef] [Green Version]
- Wasserstein, D.; Henry, P.; Paterson, J.M.; Kreder, H.J.; Jenkinson, R. Risk of total knee arthroplasty after operatively treated tibial plateau fracture: A matched-population- based cohort study. J. Bone Joint Surg. Am. 2014, 96, 144–150. [Google Scholar] [CrossRef]
- Vestergaard, V.; Pedersen, A.B.; Hare, K.B.; Schrøder, H.M.; Troelsen, A. Knee Fracture Increases TKA Risk After Initial Fracture Treatment and Throughout Life. Clin. Orthop. Relat. Res. 2020, 478, 2036–2044. [Google Scholar] [CrossRef]
- Stake, S.N.; Gu, A.; Fassihi, S.C.; Ramamurti, P.; Bovonratwet, P.; Thakkar, S.C.; Golladay, G.J. Increased Revisions in Conversion Total Knee Arthroplasty After Periarticular Open Reduction Internal Fixation Compared With Primary Total Knee Arthroplasty: A Matched Cohort Analysis. J. Arthroplast. 2021, 36, 3432–3436.e1. [Google Scholar] [CrossRef]
- Davis, J.T.; Rudloff, M.I. Posttraumatic Arthritis After Intra-Articular Distal Femur and Proximal Tibia Fractures. Orthop. Clin. N. Am. 2019, 50, 445–459. [Google Scholar] [CrossRef] [PubMed]
- Hoffmann, M.F.; Jones, C.B.; Sietsema, D.L.; Tornetta, P., 3rd; Koenig, S.J. Clinical outcomes of locked plating of distal femoral fractures in a retrospective cohort. J. Orthop. Surg. Res. 2013, 8, 43. [Google Scholar] [CrossRef] [PubMed] [Green Version]
- Harvin, W.H.; Oladeji, L.O.; Della Rocca, G.J.; Murtha, Y.M.; Volgas, D.A.; Stannard, J.P.; Crist, B.D. Working length and proximal screw constructs in plate osteosynthesis of distal femur fractures. Injury 2017, 48, 2597–2601. [Google Scholar] [CrossRef]
- Kumar, V.; Singhroha, M.; Arora, K.; Sahu, A.; Beniwal, R.; Kundu, A. A clinico-radiological study of bicondylar tibial plateau fractures managed with dual locking plates. J. Clin. Orthop. Trauma 2021, 21, 101563. [Google Scholar] [CrossRef] [PubMed]
- Khella, C.M.; Asgarian, R.; Horvath, J.M.; Rolauffs, B.; Hart, M.L. An Evidence-Based Systematic Review of Human Knee Post-Traumatic Osteoarthritis (PTOA): Timeline of Clinical Presentation and Disease Markers, Comparison of Knee Joint PTOA Models and Early Disease Implications. Int. J. Mol. Sci. 2021, 22, 1996. [Google Scholar] [CrossRef] [PubMed]
- Mason, D.; Englund, M.; Watt, F.E. Prevention of posttraumatic osteoarthritis at the time of injury: Where are we now, and where are we going? J. Orthop. Res. 2021, 39, 1152–1163. [Google Scholar] [CrossRef] [PubMed]
- Khella, C.; Horvath, J.; Asgarian, R.; Rolauffs, B.; Hart, M. Anti-Inflammatory Therapeutic Approaches to Prevent or Delay Post-Traumatic Osteoarthritis (PTOA) of the Knee Joint with a Focus on Sustained Delivery Approaches. Int. J. Mol. Sci. 2021, 22, 8005. [Google Scholar] [CrossRef] [PubMed]


| Propensity Score Matching (1:1) | |||
|---|---|---|---|
| Non-Fracture (n = 32,592) | Fracture (n = 32,592) | p-Value | |
| Age (y/o) | 58.75 ± 20.01 | 58.46 ± 19.92 | 0.058 |
| Age Group | 0.072 | ||
| <65 y/o | 17,985 (55.2%) | 18,213 (55.9%) | |
| ≧65 y/o | 14,607 (44.8%) | 14,379 (44.1%) | |
| Male (%) | 16,849 (51.7%) | 16,873 (51.8%) | 0.851 |
| Comorbidity | |||
| HTN | 10,134 (31.1%) | 10,029 (30.8%) | 0.374 |
| DM | 5803 (17.8%) | 5747 (17.6%) | 0.566 |
| Hyperlipidemia | 3377 (10.4%) | 3440 (10.6%) | 0.420 |
| Chronic renal failure | 936 (2.9%) | 1015 (3.1%) | 0.069 |
| CAD | 2835 (8.7%) | 2879 (8.8%) | 0.542 |
| CVA | 3183 (9.8%) | 3128 (9.6%) | 0.466 |
| Alcohol-induced mental disorders | 50 (0.2%) | 70 (0.2%) | 0.068 |
| Alcohol dependence syndrome | 84 (0.3%) | 112 (0.3%) | 0.045 * |
| Drug dependence | 37 (0.1%) | 44 (0.1%) | 0.436 |
| Chronic liver disease | 1636 (5.0%) | 1697 (5.2%) | 0.278 |
| Iron deficiency anemia | 310 (1.0%) | 384 (1.2%) | 0.005 * |
| Depression | 1432 (4.4%) | 1402 (4.3%) | 0.564 |
| Dementia | 1233 (3.8%) | 1204 (3.7%) | 0.549 |
| Peripheral vascular disease | 330 (1.0%) | 385 (1.2%) | 0.039 * |
| Propensity Score Matching (1:1) | ||
|---|---|---|
| Fracture | ||
| Yes | No | |
| Patient numbers | 32,592 | 32,592 |
| TKA cases | 432 | 394 |
| Person-years | 219,264 | 244,653 |
| Incidence rate a | 2.0 | 1.6 |
| Univariable model | ||
| crude HR (95% CI) | 1.16 (1.01–1.33) | 1 (ref.) |
| p-value | 0.035 * | |
| Multivariable model b | ||
| aHR (95% CI) | 1.23 (1.07–1.41) | 1 (ref.) |
| p-value | 0.004 * | |
| Variables | Propensity Score Matching (1:1) | ||||
|---|---|---|---|---|---|
| Crude HR a (95% CI) | p-Value | Adjusted HR a (95% CI) | p-Value | p for Interaction | |
| Main model | |||||
| Non-fracture | 1.00 | 1.00 | |||
| Fracture | 1.16 (1.01–1.33) | 0.035 * | 1.23 (1.07–1.41) | 0.004 * | |
| Age | <0.001 * | ||||
| 20–65 y/o | |||||
| Non-fracture | 1.00 | 1.00 | |||
| Fracture | 1.94 (1.52–2.49) | <0.001 * | 1.94 (1.51–2.48) | <0.001 * | |
| ≧65 y/o | |||||
| Non-fracture | 1.00 | 1.00 | |||
| Fracture | 0.97 (0.82–1.15) | 0.746 | 0.96 (0.81–1.14) | 0.634 | |
| Gender | 0.075 | ||||
| Male | |||||
| Non-fracture | 1.00 | 1.00 | |||
| Fracture | 1.39 (1.07–1.82) | 0.015 * | 1.56 (1.19–2.04) | 0.001 * | |
| Female | |||||
| Non-fracture | 1.00 | 1.00 | |||
| Fracture | 1.08 (0.92–1.27) | 0.368 | 1.13 (0.96–1.33) | 0.131 | |
Publisher’s Note: MDPI stays neutral with regard to jurisdictional claims in published maps and institutional affiliations. |
© 2021 by the authors. Licensee MDPI, Basel, Switzerland. This article is an open access article distributed under the terms and conditions of the Creative Commons Attribution (CC BY) license (https://creativecommons.org/licenses/by/4.0/).
Share and Cite
Yeh, K.-T.; Wu, W.-T.; Lee, R.-P.; Wang, C.-C.; Wang, J.-H.; Chen, I.-H. Long-Term Incidence of Total Knee Arthroplasty after Open Reduction and Internal Fixation of Proximal Tibial and Distal Femoral Fractures: A Nationwide Cohort Study. J. Clin. Med. 2021, 10, 5685. https://doi.org/10.3390/jcm10235685
Yeh K-T, Wu W-T, Lee R-P, Wang C-C, Wang J-H, Chen I-H. Long-Term Incidence of Total Knee Arthroplasty after Open Reduction and Internal Fixation of Proximal Tibial and Distal Femoral Fractures: A Nationwide Cohort Study. Journal of Clinical Medicine. 2021; 10(23):5685. https://doi.org/10.3390/jcm10235685
Chicago/Turabian StyleYeh, Kuang-Ting, Wen-Tien Wu, Ru-Ping Lee, Chen-Chie Wang, Jen-Hung Wang, and Ing-Ho Chen. 2021. "Long-Term Incidence of Total Knee Arthroplasty after Open Reduction and Internal Fixation of Proximal Tibial and Distal Femoral Fractures: A Nationwide Cohort Study" Journal of Clinical Medicine 10, no. 23: 5685. https://doi.org/10.3390/jcm10235685
APA StyleYeh, K.-T., Wu, W.-T., Lee, R.-P., Wang, C.-C., Wang, J.-H., & Chen, I.-H. (2021). Long-Term Incidence of Total Knee Arthroplasty after Open Reduction and Internal Fixation of Proximal Tibial and Distal Femoral Fractures: A Nationwide Cohort Study. Journal of Clinical Medicine, 10(23), 5685. https://doi.org/10.3390/jcm10235685

