Age and Sex Specific Prevalence of Clinical and Screen-Detected Atrial Fibrillation in Hospitalized Patients
Abstract
:1. Introduction
2. Methods
3. Statistical Analyses
4. Results
4.1. Prevalence Estimates of Clinical Atrial Fibrillation in the Source Population
4.2. Characteristics of Patients Included in the Cohort Study
4.3. 7-Day Holter ECGs in Patients Included in the Cohort Study
4.4. Screen-Detected Atrial Fibrillation
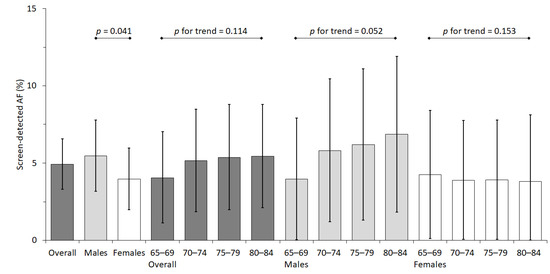
4.5. Prevalence of Screen-Detected Atrial Fibrillation
5. Discussion
Supplementary Materials
Author Contributions
Funding
Institutional Review Board Statement
Informed Consent Statement
Data Availability Statement
Acknowledgments
Conflicts of Interest
References
- Martinez, C.; Katholing, A.; Freedman, S.B. Adverse prognosis of incidentally detected ambulatory atrial fibrillation. A cohort study. Thromb. Haemost. 2014, 112, 276–286. [Google Scholar] [CrossRef] [PubMed]
- Potpara, T.S.; Polovina, M.M.; Marinkovic, J.M.; Lip, G.Y. A comparison of clinical characteristics and long-term prognosis in asymptomatic and symptomatic patients with first-diagnosed atrial fibrillation: The Belgrade Atrial Fibrillation Study. Int J. Cardiol 2013, 168, 4744–4749. [Google Scholar] [CrossRef] [PubMed]
- Turakhia, M.P.; Shafrin, J.; Bognar, K.; Goldman, D.P.; Mendys, P.M.; Abdulsattar, Y.; Wiederkehr, D.; Trocio, J. Economic Burden of Undiagnosed Nonvalvular Atrial Fibrillation in the United States. Am. J. Cardiol 2015, 116, 733–739. [Google Scholar] [CrossRef]
- Hindricks, G.; Potpara, T.; Dagres, N.; Arbelo, E.; Bax, J.J.; Blomstrom-Lundqvist, C.; Boriani, G.; Castella, M.; Dan, G.A.; Dilaveris, P.E.; et al. 2020 ESC Guidelines for the diagnosis and management of atrial fibrillation developed in collaboration with the European Association of Cardio-Thoracic Surgery (EACTS). Eur. Heart J. 2020. [Google Scholar] [CrossRef]
- Svennberg, E.; Engdahl, J.; Al-Khalili, F.; Friberg, L.; Frykman, V.; Rosenqvist, M. Mass Screening for Untreated Atrial Fibrillation: The STROKESTOP Study. Circulation 2015, 131, 2176–2184. [Google Scholar] [CrossRef] [Green Version]
- Halcox, J.P.J.; Wareham, K.; Cardew, A.; Gilmore, M.; Barry, J.P.; Phillips, C.; Gravenor, M.B. Assessment of Remote Heart Rhythm Sampling Using the AliveCor Heart Monitor to Screen for Atrial Fibrillation: The REHEARSE-AF Study. Circulation 2017, 136, 1784–1794. [Google Scholar] [CrossRef]
- Healey, J.S.; Alings, M.; Ha, A.; Leong-Sit, P.; Birnie, D.H.; de Graaf, J.J.; Freericks, M.; Verma, A.; Wang, J.; Leong, D.; et al. Subclinical Atrial Fibrillation in Older Patients. Circulation 2017, 136, 1276–1283. [Google Scholar] [CrossRef] [PubMed]
- Lowres, N.; Neubeck, L.; Salkeld, G.; Krass, I.; McLachlan, A.J.; Redfern, J.; Bennett, A.A.; Briffa, T.; Bauman, A.; Martinez, C.; et al. Feasibility and cost-effectiveness of stroke prevention through community screening for atrial fibrillation using iPhone ECG in pharmacies. The SEARCH-AF study. Thromb. Haemost. 2014, 111, 1167–1176. [Google Scholar] [CrossRef] [PubMed]
- Perez, M.V.; Mahaffey, K.W.; Hedlin, H.; Rumsfeld, J.S.; Garcia, A.; Ferris, T.; Balasubramanian, V.; Russo, A.M.; Rajmane, A.; Cheung, L.; et al. Large-Scale Assessment of a Smartwatch to Identify Atrial Fibrillation. N. Engl. J. Med. 2019, 381, 1909–1917. [Google Scholar] [CrossRef]
- Lopez Soto, A.; Formiga, F.; Bosch, X.; Garcia Alegria, J.; en Representación de los Investigadores del Estudio ESFINGE. Prevalence of atrial fibrillation and related factors in hospitalized old patients: ESFINGE study. Med. Clin. 2012, 138, 231–237. [Google Scholar] [CrossRef]
- Nozica, N.; Lam, A.; Goulouti, E.; Elchinova, E.; Spirito, A.; Branca, M.; Servatius, H.; Noti, F.; Seiler, J.; Baldinger, S.H.; et al. The SilenT AtRial FIBrillation (STAR-FIB) study programme—Design and rationale. Swiss Med. Wkly. 2021, 151, w20421. [Google Scholar] [CrossRef] [PubMed]
- Frankel, S.; Eachus, J.; Pearson, N.; Greenwood, R.; Chan, P.; Peters, T.J.; Donovan, J.; Smith, G.D.; Dieppe, P. Population requirement for primary hip-replacement surgery: A cross-sectional study. Lancet 1999, 353, 1304–1309. [Google Scholar] [CrossRef]
- STATA Survey Data Reference Manual. Release 14. Available online: https://www.stata.com/manuals14/svy.pdf (accessed on 1 October 2020).
- Andrade, J.; Khairy, P.; Dobrev, D.; Nattel, S. The clinical profile and pathophysiology of atrial fibrillation: Relationships among clinical features, epidemiology, and mechanisms. Circ. Res. 2014, 114, 1453–1468. [Google Scholar] [CrossRef] [PubMed]
- Go, A.S.; Hylek, E.M.; Phillips, K.A.; Chang, Y.; Henault, L.E.; Selby, J.V.; Singer, D.E. Prevalence of diagnosed atrial fibrillation in adults: National implications for rhythm management and stroke prevention: The AnTicoagulation and Risk Factors in Atrial Fibrillation (ATRIA) Study. JAMA 2001, 285, 2370–2375. [Google Scholar] [CrossRef]
- Steinhubl, S.R.; Waalen, J.; Edwards, A.M.; Ariniello, L.M.; Mehta, R.R.; Ebner, G.S.; Carter, C.; Baca-Motes, K.; Felicione, E.; Sarich, T.; et al. Effect of a Home-Based Wearable Continuous ECG Monitoring Patch on Detection of Undiagnosed Atrial Fibrillation: The mSToPS Randomized Clinical Trial. JAMA 2018, 320, 146–155. [Google Scholar] [CrossRef] [PubMed] [Green Version]
- Tavernier, R.; Wolf, M.; Kataria, V.; Phlips, T.; Huys, R.; Taghji, P.; Louw, R.; Hoeyweghen, R.V.; Vandekerckhove, Y.; Knecht, S.; et al. Screening for atrial fibrillation in hospitalised geriatric patients. Heart 2018, 104, 588–593. [Google Scholar] [CrossRef]
- Diederichsen, S.Z.; Haugan, K.J.; Kronborg, C.; Graff, C.; Hojberg, S.; Kober, L.; Krieger, D.; Holst, A.G.; Nielsen, J.B.; Brandes, A.; et al. Comprehensive Evaluation of Rhythm Monitoring Strategies in Screening for Atrial Fibrillation: Insights from Patients at Risk Monitored Long Term with an Implantable Loop Recorder. Circulation 2020, 141, 1510–1522. [Google Scholar] [CrossRef]
- Sanna, T.; Diener, H.C.; Passman, R.S.; Di Lazzaro, V.; Bernstein, R.A.; Morillo, C.A.; Rymer, M.M.; Thijs, V.; Rogers, T.; Beckers, F.; et al. Cryptogenic stroke and underlying atrial fibrillation. N. Engl. J. Med. 2014, 370, 2478–2486. [Google Scholar] [CrossRef] [PubMed] [Green Version]
- Healey, J.S.; Connolly, S.J.; Gold, M.R.; Israel, C.W.; Van Gelder, I.C.; Capucci, A.; Lau, C.P.; Fain, E.; Yang, S.; Bailleul, C.; et al. Subclinical atrial fibrillation and the risk of stroke. N. Engl. J. Med. 2012, 366, 120–129. [Google Scholar] [CrossRef] [PubMed] [Green Version]
- Nasir, J.M.; Pomeroy, W.; Marler, A.; Hann, M.; Baykaner, T.; Jones, R.; Stoll, R.; Hursey, K.; Meadows, A.; Walker, J.; et al. Predicting Determinants of Atrial Fibrillation or Flutter for Therapy Elucidation in Patients at Risk for Thromboembolic Events (PREDATE AF) Study. Heart Rhythm. 2017, 14, 955–961. [Google Scholar] [CrossRef]
- Reiffel, J.A.; Verma, A.; Kowey, P.R.; Halperin, J.L.; Gersh, B.J.; Wachter, R.; Pouliot, E.; Ziegler, P.D.; Investigators, R.A. Incidence of Previously Undiagnosed Atrial Fibrillation Using Insertable Cardiac Monitors in a High-Risk Population: The REVEAL AF Study. JAMA Cardiol. 2017, 2, 1120–1127. [Google Scholar] [CrossRef] [PubMed]
- Svendsen, J.H.; Diederichsen, S.Z.; Hojberg, S.; Krieger, D.W.; Graff, C.; Kronborg, C.; Olesen, M.S.; Nielsen, J.B.; Holst, A.G.; Brandes, A.; et al. Implantable loop recorder detection of atrial fibrillation to prevent stroke (The LOOP Study): A randomised controlled trial. Lancet 2021, 398, 1507–1516. [Google Scholar] [CrossRef]
- Svennberg, E.; Friberg, L.; Frykman, V.; Al-Khalili, F.; Engdahl, J.; Rosenqvist, M. Clinical outcomes in systematic screening for atrial fibrillation (STROKESTOP): A multicentre, parallel group, unmasked, randomised controlled trial. Lancet 2021, 398, 1498–1506. [Google Scholar] [CrossRef]
- Diederichsen, S.Z.; Haugan, K.J.; Brandes, A.; Graff, C.; Krieger, D.; Kronborg, C.; Holst, A.G.; Nielsen, J.B.; Kober, L.; Hojberg, S.; et al. Incidence and predictors of atrial fibrillation episodes as detected by implantable loop recorder in patients at risk: From the LOOP study. Am. Heart J. 2020, 219, 117–127. [Google Scholar] [CrossRef] [PubMed]
- Kaplan, R.M.; Koehler, J.; Ziegler, P.D.; Sarkar, S.; Zweibel, S.; Passman, R.S. Stroke Risk as a Function of Atrial Fibrillation Duration and CHA2DS2-VASc Score. Circulation 2019, 140, 1639–1646. [Google Scholar] [CrossRef] [PubMed]



| Cohort N = 795 | No AF N = 757 | AF N = 38 | p Value | |
|---|---|---|---|---|
| Age, years | 74.7 ± 5.6 | 74.7 ± 5.6 | 74.9 ± 5.5 | 0.859 |
| Sex, female | 391 (49%) | 376 (50%) | 15 (39%) | 0.247 |
| Arterial hypertension | 557 (70%) | 531 (70%) | 26 (68%) | 0.856 |
| Diabetes mellitus | 152 (19%) | 147 (19%) | 5 (13%) | 0.404 |
| Dyslipidemia | 419 (53%) | 398 (53%) | 21 (55%) | 0.868 |
| Coronary artery disease | 246 (31%) | 233 (31%) | 13 (34%) | 0.719 |
| Peripheral artery disease | 53 (7%) | 49 (6%) | 4 (11%) | 0.311 |
| Congestive heart failure | 18 (2%) | 18 (2%) | - | 1.0 |
| Previous thrombotic event | 121 (15%) | 116 (15%) | 5 (13%) | 0.821 |
| Stroke | 65 (8%) | 60 (8%) | 5 (13%) | 0.228 |
| Transient ischemic attack | 53 (7%) | 53 (7%) | - | 0.169 |
| Peripheral embolism | 9 (1%) | 9 (1%) | - | 1.0 |
| Palpitations within last 12 months | 187 (24%) | 176 (23%) | 11 (29%) | 0.434 |
| Body mass index, kg/m2 | 26.5 ± 4.6 | 26.4 ± 4.5 | 28.2 ± 6.7 | 0.03 |
| LV ejection fraction, % | 62.1 ± 6.0 | 62.1 ± 5.9 | 60.8 ± 7.3 | 0.226 |
| CHA2DS2Vasc Score | 3.5 ± 1.4 | 3.5 ± 1.4 | 3.4 ± 1.4 | 0.792 |
| 1 | - | - | - | |
| 2 | 47 (6%) | 44 (6%) | 3 (8%) | |
| 3 | 171 (22%) | 163 (22%) | 8 (21%) | |
| 4 | 216 (27%) | 206 (27%) | 10 (26%) | |
| 5 | 192 (24%) | 184 (24%) | 8 (21%) | |
| 6 | 99 (12%) | 93 (12%) | 6 (16%) | |
| 7 | 49 (6%) | 46 (6%) | 3 (8%) | |
| 8 | 17 (2%) | 17 (2%) | - | |
| 9 | 3 (0%) | 3 (0%) | - | |
| Drug therapy | ||||
| Anticoagulation therapy | 7 (1%) | 7 (1%) | - | 0.382 |
| Acetylsalicylic acid | 402 (51%) | 385 (51%) | 17 (45%) | 0.508 |
| Betablocker | 285 (36%) | 271 (36%) | 14 (37%) | 0.865 |
| Calcium channel blocker | 152 (19%) | 144 (19%) | 8 (21%) | 0.678 |
| Digoxin | 1 (0%) | 1 (0%) | - | 1.0 |
| ACE inhibitor | 184 (23%) | 178 (24%) | 6 (16%) | 0.328 |
| Angiotensin receptor blocker | 231 (29%) | 218 (29%) | 13 (34%) | 0.468 |
| Aldosterone antagonist | 24 (3%) | 24 (3%) | - | 0.623 |
| Statin | 409 (51%) | 387 (51%) | 22 (58%) | 0.506 |
| Diuretics | 195 (25%) | 184 (24%) | 11 (29%) | 0.562 |
Publisher’s Note: MDPI stays neutral with regard to jurisdictional claims in published maps and institutional affiliations. |
© 2021 by the authors. Licensee MDPI, Basel, Switzerland. This article is an open access article distributed under the terms and conditions of the Creative Commons Attribution (CC BY) license (https://creativecommons.org/licenses/by/4.0/).
Share and Cite
Roten, L.; Goulouti, E.; Lam, A.; Elchinova, E.; Nozica, N.; Spirito, A.; Wittmer, S.; Branca, M.; Servatius, H.; Noti, F.; et al. Age and Sex Specific Prevalence of Clinical and Screen-Detected Atrial Fibrillation in Hospitalized Patients. J. Clin. Med. 2021, 10, 4871. https://doi.org/10.3390/jcm10214871
Roten L, Goulouti E, Lam A, Elchinova E, Nozica N, Spirito A, Wittmer S, Branca M, Servatius H, Noti F, et al. Age and Sex Specific Prevalence of Clinical and Screen-Detected Atrial Fibrillation in Hospitalized Patients. Journal of Clinical Medicine. 2021; 10(21):4871. https://doi.org/10.3390/jcm10214871
Chicago/Turabian StyleRoten, Laurent, Eleni Goulouti, Anna Lam, Elena Elchinova, Nikolas Nozica, Alessandro Spirito, Severin Wittmer, Mattia Branca, Helge Servatius, Fabian Noti, and et al. 2021. "Age and Sex Specific Prevalence of Clinical and Screen-Detected Atrial Fibrillation in Hospitalized Patients" Journal of Clinical Medicine 10, no. 21: 4871. https://doi.org/10.3390/jcm10214871
APA StyleRoten, L., Goulouti, E., Lam, A., Elchinova, E., Nozica, N., Spirito, A., Wittmer, S., Branca, M., Servatius, H., Noti, F., Seiler, J., Baldinger, S. H., Haeberlin, A., de Marchi, S., Asatryan, B., Rodondi, N., Donzé, J., Aujesky, D., Tanner, H., ... Jüni, P. (2021). Age and Sex Specific Prevalence of Clinical and Screen-Detected Atrial Fibrillation in Hospitalized Patients. Journal of Clinical Medicine, 10(21), 4871. https://doi.org/10.3390/jcm10214871

