Sex Differences in Age-Related Physical Changes among Community-Dwelling Adults
Abstract
:1. Introduction
2. Materials and Methods
2.1. Research Design and Subjects
2.2. Physical Functioning Measurement
2.2.1. Skeletal Muscle Mass
2.2.2. Forced Expiratory Volume (1 Second)
2.2.3. Bone Area Ratio
2.2.4. 5 m Walking Test
2.2.5. Timed Up and Go Test
2.2.6. Trunk Forward Bending
2.2.7. Grip Strength
2.2.8. Knee Extension Strength
2.2.9. One-Leg Standing
2.3. Statistical Analyses
3. Results
4. Discussion
5. Conclusions
Author Contributions
Funding
Institutional Review Board Statement
Informed Consent Statement
Data Availability Statement
Acknowledgments
Conflicts of Interest
References
- Janssen, I.; Heymsfield, S.B.; Wang, Z.M.; Ross, R. Skeletal muscle mass and distribution in 468 men and women aged 18–88 yr. J. Appl. Physiol. 2000, 89, 81–88. [Google Scholar] [CrossRef] [Green Version]
- Jakes, R.W.; Day, N.E.; Patel, B.; Khaw, K.T.; Oakes, S.; Luben, R.; Welch, A.; Bingham, S.; Wareham, N.J. Physical inactivity is associated with lower forced expiratory volume in 1 second: European Prospective Investigation into Cancer-Norfolk Prospective Population Study. Am. J. Epidemiol. 2002, 156, 139–147. [Google Scholar] [CrossRef] [Green Version]
- Wilke, J.; Macchi, V.; De Caro, R.; Stecco, C. Fascia thickness, aging and flexibility: Is there an association? J. Anat. 2019, 234, 43–49. [Google Scholar] [CrossRef] [PubMed] [Green Version]
- Shinkai, S.; Watanabe, S.; Kumagai, S.; Fujiwara, Y.; Amano, H.; Yoshida, H.; Ishizaki, T.; Yukawa, H.; Suzuki, T.; Shibata, H. Walking speed as a good predictor for the onset of functional dependence in a Japanese rural community population. Age Ageing 2000, 29, 441–446. [Google Scholar] [CrossRef] [PubMed] [Green Version]
- Sharma, G.; Goodwin, J. Effect of aging on respiratory system physiology and immunology. Clin. Interv. Aging 2006, 1, 253–260. [Google Scholar] [CrossRef] [PubMed]
- Russo, C.R.; Lauretani, F.; Bandinelli, S.; Bartali, B.; Di Iorio, A.; Volpato, S.; Guralnik, J.M.; Harris, T.; Ferrucci, L. Aging bone in men and women: Beyond changes in bone mineral density. Osteoporos. Int. 2003, 14, 531–538. [Google Scholar] [CrossRef]
- Tanimoto, Y.; Watanabe, M.; Kono, R.; Hirota, C.; Takasaki, K.; Kono, K. Aging changes in muscle mass of Japanese. Nihon Ronen Igakkai Zasshi 2010, 47, 52–57. [Google Scholar] [CrossRef] [Green Version]
- Aversa, Z.; Zhang, X.; Fielding, R.A.; Lanza, I.; LeBrasseur, N.K. The clinical impact and biological mechanisms of skeletal muscle aging. Bone 2019, 127, 26–36. [Google Scholar] [CrossRef]
- Kozakai, R.; Tsuzuku, S.; Yabe, K.; Ando, F.; Niino, N.; Shimokata, H. Age-related changes in gait velocity and leg extension power in middle-aged and elderly people. J. Epidemiol. 2000, 10, S77–S81. [Google Scholar] [CrossRef]
- Urabe, Y.; Fukui, K.; Sasadai, J.; Maeda, N.; Suzuki, Y.; Shirakawa, T. The difference in balance ability between generations. Jpn. Soc. Athl. Train. 2020, 5, 133–139. [Google Scholar] [CrossRef]
- Curtis, E.; Litwic, A.; Cooper, C.; Dennison, E. Determinants of Muscle and Bone Aging. J. Cell Physiol. 2015, 230, 2618–2625. [Google Scholar] [CrossRef] [PubMed] [Green Version]
- Gallagher, D.; Visser, M.; De Meersman, R.E.; Sepúlveda, D.; Baumgartner, R.N.; Pierson, R.N.; Harris, T.; Heymsfield, S.B. Appendicular skeletal muscle mass: Effects of age, gender, and ethnicity. J. Appl. Physiol. 1997, 83, 229–239. [Google Scholar] [CrossRef]
- Dugan, S.A.; Gabriel, K.P.; Lange-Maia, B.S.; Karvonen-Gutierrez, C. Physical Activity and Physical Function: Moving and Aging. Obstet. Gynecol. Clin. N. Am. 2018, 45, 723–736. [Google Scholar] [CrossRef]
- Danneskiold-Samsøe, B.; Bartels, E.M.; Bülow, P.M.; Lund, H.; Stockmarr, A.; Holm, C.C.; Wätjen, I.; Appleyard, M.; Bliddal, H. Isokinetic and isometric muscle strength in a healthy population with special reference to age and gender. Acta Physiol. 2009, 197 (Suppl. S673), 1–68. [Google Scholar] [CrossRef] [PubMed]
- Kuh, D.; Bassey, E.J.; Butterworth, S.; Hardy, R.; Wadsworth, M.E. Grip strength, postural control, and functional leg power in a representative cohort of British men and women: Associations with physical activity, health status, and socioeconomic conditions. J. Gerontol. A Biol. Sci. Med. Sci. 2005, 60, 224–231. [Google Scholar] [CrossRef] [PubMed] [Green Version]
- Phillips, S.K.; Rook, K.M.; Siddle, N.C.; Bruce, S.A.; Woledge, R.C. Muscle weakness in women occurs at an earlier age than in men, but strength is preserved by hormone replacement therapy. Clin. Sci. 1993, 84, 95–98. [Google Scholar] [CrossRef] [Green Version]
- Samson, M.M.; Meeuwsen, I.B.; Crowe, A.; Dessens, J.A.; Duursma, S.A.; Verhaar, H.J. Relationships between physical performance measures, age, height and body weight in healthy adults. Age Ageing 2000, 29, 235–242. [Google Scholar] [CrossRef] [Green Version]
- Kyle, U.G.; Genton, L.; Hans, D.; Pichard, C. Validation of a bioelectrical impedance analysis equation to predict appendicular skeletal muscle mass (ASMM). Clin. Nutr. 2003, 22, 537–543. [Google Scholar] [CrossRef]
- Nonaka, K.; Murata, S.; Shiraiwa, K.; Abiko, T.; Nakano, H.; Iwase, H.; Naito, K.; Horie, J. Effect of Skeletal Muscle and Fat Mass on Muscle Strength in the Elderly. Healthcare 2018, 6, 72. [Google Scholar] [CrossRef] [Green Version]
- Lee, S.Y.; Ahn, S.; Kim, Y.J.; Ji, M.J.; Kim, K.M.; Choi, S.H.; Jang, H.C.; Lim, S. Comparison between Dual-Energy X-ray Absorptiometry and Bioelectrical Impedance Analyses for Accuracy in Measuring Whole Body Muscle Mass and Appendicular Skeletal Muscle Mass. Nutrients 2018, 10, 738. [Google Scholar] [CrossRef] [Green Version]
- Amara, C.E.; Koval, J.J.; Paterson, D.H.; Cunningham, D.A. Lung function in older humans: The contribution of body composition, physical activity and smoking. Ann. Hum. Biol. 2001, 28, 522–536. [Google Scholar] [CrossRef]
- Sin, D.D.; Jones, R.L.; Mannino, D.M.; Paul Man, S.F. Forced expiratory volume in 1 second and physical activity in the general population. Am. J. Med. 2004, 117, 270–273. [Google Scholar] [CrossRef]
- Ching, S.M.; Chia, Y.C.; Lentjes, M.A.H.; Luben, R.; Wareham, N.; Khaw, K.T. FEV1 and total Cardiovascular mortality and morbidity over an 18 years follow-up Population-Based Prospective EPIC-NORFOLK Study. BMC Public Health 2019, 19, 501. [Google Scholar] [CrossRef] [PubMed]
- Otani, T.; Fukunaga, M.; Yoh, K.; Miki, T.; Yamazaki, K.; Kishimoto, H.; Matsukawa, M.; Endoh, N.; Hachiya, H.; Kanai, H.; et al. Attempt at standardization of bone quantitative ultrasound in Japan. J. Med. Ultrason. 2018, 45, 3–13. [Google Scholar] [CrossRef] [PubMed]
- Nairus, J.; Ahmadi, S.; Baker, S.; Baran, D. Quantitative ultrasound: An indicator of osteoporosis in perimenopausal women. J. Clin. Densitom. 2000, 3, 141–147. [Google Scholar] [CrossRef]
- Furuna, T.; Nagasaki, H.; Nishizawa, S.; Sugiura, M.; Okuzumi, H.; Ito, H.; Kinugasa, T.; Hashizume, K.; Maruyama, H. Longitudinal change in the physical performance of older adults in the community. J. Jpn. Phys. Ther. Assoc. 1998, 1, 1–5. [Google Scholar] [CrossRef] [Green Version]
- Summary of the Updated American Geriatrics Society/British Geriatrics Society clinical practice guideline for prevention of falls in older persons. J. Am. Geriatr. Soc. 2011, 59, 148–157. [CrossRef] [Green Version]
- Christopher, A.; Kraft, E.; Olenick, H.; Kiesling, R.; Doty, A. The reliability and validity of the Timed Up and Go as a clinical tool in individuals with and without disabilities across a lifespan: A systematic review. Disabil. Rehabil. 2021, 43, 1799–1813. [Google Scholar] [CrossRef]
- Ministry of Education, Culture, Sports, Science and Technology. Reiwa Gannendo Tairyoku ndou Nouryoku Chousa. (In Jananese). Available online: https://www.mext.go.jp/sports/content/20201015-spt_kensport01-000010432_6.pdf (accessed on 13 July 2020).
- Wind, A.E.; Takken, T.; Helders, P.J.; Engelbert, R.H. Is grip strength a predictor for total muscle strength in healthy children, adolescents, and young adults? Eur. J. Pediatr. 2010, 169, 281–287. [Google Scholar] [CrossRef]
- Wong, S.L. Grip strength reference values for Canadians aged 6 to 79: Canadian Health Measures Survey, 2007 to 2013. Health Rep. 2016, 27, 3–10. [Google Scholar]
- Masaki, I.; Masao, K.; Hiroyuki, K. Measurement of Skeletal Muscle mass of Japanese Men and Women Aged 18–84 by Bioelectrical Impedance Analysis Focusing on the Difference in Measured Values Produced by Different Equipment. Rigakuryoho Kagaku 2015, 30, 265–271. [Google Scholar] [CrossRef] [Green Version]
- ShibuyaCorporation. Benus evo Manual; ShibuyaCorporation: Kanazawa, Japan, 2012. (In Japanese) [Google Scholar]
- Bohannon, R.W.; Wang, Y.C. Four-Meter Gait Speed: Normative Values and Reliability Determined for Adults Participating in the NIH Toolbox Study. Arch. Phys. Med. Rehabil. 2019, 100, 509–513. [Google Scholar] [CrossRef] [PubMed]
- Taniguchi, N.; Matsuda, S.; Kawaguchi, T.; Tabara, Y.; Ikezoe, T.; Tsuboyama, T.; Ichihashi, N.; Nakayama, T.; Matsuda, F.; Ito, H. The KSS 2011 reflects symptoms, physical activities, and radiographic grades in a Japanese population. Clin. Orthop. Relat. Res. 2015, 473, 70–75. [Google Scholar] [CrossRef] [PubMed] [Green Version]
- Tsutomu, F.; Mari, J.; Jyunko, I.; Kaoru, N.; Hiroko, H.; Kayoko, M.; Keizou, T.; Mikio, Z.; Takashi, W.; Sugimori, H. Lung Age Reference Interval in Non-smokers. Ningen dock Off. J. Jpn. Soc. Hum. Dry Dock 2010, 25, 676–680. [Google Scholar] [CrossRef]
- Yuri, H.; Terumi, H.; Kazuhiko, M.; Yuji, Y. Kenjosha no toushakusei hizasintenkinryoku. Rigakuryouhou J. 2004, 38, 330–333. (In Japanese) [Google Scholar]
- Tanida, S.; Hitomi, B.; Naomi, S.; Takashi, Y.; Takamitsu, F.; Hiroko, K.; Shinichi, S.; Takashi, U.; Keij, I. The Change of the Balance Function for Community-dwelling Elderly person by the Exercise. J. Fac. Health Sci. Bukkyo Univ. 2011, 5, 1–12. [Google Scholar]
- Alonso, A.C.; Ribeiro, S.M.; Luna, N.M.S.; Peterson, M.D.; Bocalini, D.S.; Serra, M.M.; Brech, G.C.; Greve, J.M.D.A.; Garcez-Leme, L.E. Association between handgrip strength, balance, and knee flexion/extension strength in older adults. PLoS ONE 2018, 13, e0198185. [Google Scholar] [CrossRef] [PubMed] [Green Version]
- Iwamoto, J.; Suzuki, H.; Tanaka, K.; Kumakubo, T.; Hirabayashi, H.; Miyazaki, Y.; Sato, Y.; Takeda, T.; Matsumoto, H. Preventative effect of exercise against falls in the elderly: A randomized controlled trial. Osteoporos. Int. 2009, 20, 1233–1240. [Google Scholar] [CrossRef]
- Serra, M.M.; Alonso, A.C.; Peterson, M.; Mochizuki, L.; Greve, J.M.D.A.; Garcez-Leme, L.E. Balance and Muscle Strength in Elderly Women Who Dance Samba. PLoS ONE 2016, 11, e0166105. [Google Scholar] [CrossRef]
- Vellas, B.J.; Rubenstein, L.Z.; Ousset, P.J.; Faisant, C.; Kostek, V.; Nourhashemi, F.; Allard, M.; Albarede, J.L. One-leg standing balance and functional status in a population of 512 community-living elderly persons. Aging 1997, 9, 95–98. [Google Scholar] [CrossRef]
- Ekdahl, C.; Jarnlo, G.B.; Andersson, S.I. Standing balance in healthy subjects. Evaluation of a quantitative test battery on a force platform. Scand. J. Rehabil. Med. 1989, 21, 187–195. [Google Scholar]
- Jonsson, E.; Seiger, A.; Hirschfeld, H. One-leg stance in healthy young and elderly adults: A measure of postural steadiness? Clin. Biomech. 2004, 19, 688–694. [Google Scholar] [CrossRef] [PubMed]
- Michikawa, T.; Nishiwaki, Y.; Takebayashi, T.; Toyama, Y. One-leg standing test for elderly populations. J. Orthop. Sci. 2009, 14, 675–685. [Google Scholar] [CrossRef]
- Rantanen, T.; Guralnik, J.M.; Ferrucci, L.; Penninx, B.W.; Leveille, S.; Sipilä, S.; Fried, L.P. Coimpairments as predictors of severe walking disability in older women. J. Am. Geriatr. Soc. 2001, 49, 21–27. [Google Scholar] [CrossRef]
- Jeon, M.; Gu, M.O.; Yim, J. Comparison of Walking, Muscle Strength, Balance, and Fear of Falling Between Repeated Fall Group, One-time Fall Group, and Nonfall Group of the Elderly Receiving Home Care Service. Asian Nurs. Res. 2017, 11, 290–296. [Google Scholar] [CrossRef] [Green Version]
- Mayhew, A.J.; Griffith, L.E.; Gilsing, A.; Beauchamp, M.K.; Kuspinar, A.; Raina, P. The Association Between Self-Reported and Performance-Based Physical Function With Activities of Daily Living Disability in the Canadian Longitudinal Study on Aging. J. Gerontol. A Biol. Sci. Med. Sci. 2020, 75, 147–154. [Google Scholar] [CrossRef] [PubMed]
- Liu, C.J.; Chang, W.P.; Araujo de Carvalho, I.; Savage, K.E.L.; Radford, L.W.; Amuthavalli Thiyagarajan, J. Effects of physical exercise in older adults with reduced physical capacity: Meta-analysis of resistance exercise and multimodal exercise. Int. J. Rehabil. Res. 2017, 40, 303–314. [Google Scholar] [CrossRef]
- Manire, J.T.; Kipp, R.; Spencer, J.; Swank, A.M. Diurnal variation of hamstring and lumbar flexibility. J. Strength Cond. Res. 2010, 24, 1464–1471. [Google Scholar] [CrossRef] [PubMed]
- Lohne-Seiler, H.; Kolle, E.; Anderssen, S.A.; Hansen, B.H. Musculoskeletal fitness and balance in older individuals (65–85 years) and its association with steps per day: A cross sectional study. BMC Geriatr. 2016, 16, 6. [Google Scholar] [CrossRef] [PubMed] [Green Version]
- Kawabata, R.; Soma, Y.; Kudo, Y.; Yokoyama, J.; Shimizu, H.; Akaike, A.; Suzuki, D.; Katsuragi, Y.; Totsuka, M.; Nakaji, S. Relationships between body composition and pulmonary function in a community-dwelling population in Japan. PLoS ONE 2020, 15, e0242308. [Google Scholar] [CrossRef]
- Karacan, S.; Güzel, N.A.; Colakoglu, F.; Baltaci, G. Relationship between body composition and lung function in elderly men and women. Adv. Ther. 2008, 25, 168–178. [Google Scholar] [CrossRef] [PubMed]




| All n = 124 | Men n = 46 (37.1%) | Women n = 78 (62.9%) | p † | |
|---|---|---|---|---|
| Mean ± SD | ||||
| Age (years) | 66.0 ± 12.0 | 68.0 ± 13.7 | 64.9 ±10.7 | 0.159 |
| Body mass index (kg/m2) | 22.8 ± 2.8 | 23.1 ± 2.1 | 22.6 ± 3.1 | 0.284 |
| Skeletal muscle mass (kg) | 22.1 ± 4.6 | 26.5 ± 4.3 | 19.6 ± 2.4 | * |
| FEV1 (%) | 74.4 ± 10.0 | 74.3 ± 10.5 | 74.4 ± 9.9 | 0.993 |
| Bone area ratio (%) | 27.0 ± 3.1 | 27.6 ± 3.5 | 26.7 ± 2.8 | 0.117 |
| 5 m walking test (m/sec) | 1.93 ± 0.27 | 1.97 ± 0.30 | 1.91 ± 0.25 | 0.188 |
| Timed up and go test (sec) | 5.9 ± 0.9 | 5.9 ± 1.0 | 5.9 ± 0.9 | 0.976 |
| Trunk forward bending (cm) | 28.2 ± 10.7 | 25.0 ± 10.5 | 30.0 ± 10.5 | 0.012 |
| Grip strength (kg) | 28.1 ± 8.0 | 35.1 ± 8.0 | 26.4 ± 7.3 | * |
| Knee extension strength (kg) | 29.7 ± 8.8 | 34.7 ± 8.7 | 26.7 ± 7.3 | * |
| One-leg standing time (sec) | 10.1 ± 8.9 | 9.5 ± 9.4 | 10.4 ± 8.6 | 0.558 |
| t-test | ||||
| All | |||||||
|---|---|---|---|---|---|---|---|
| DW | p | R2 | p | R | |||
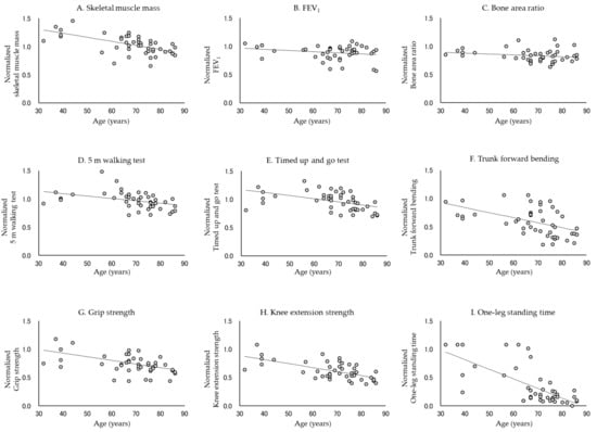
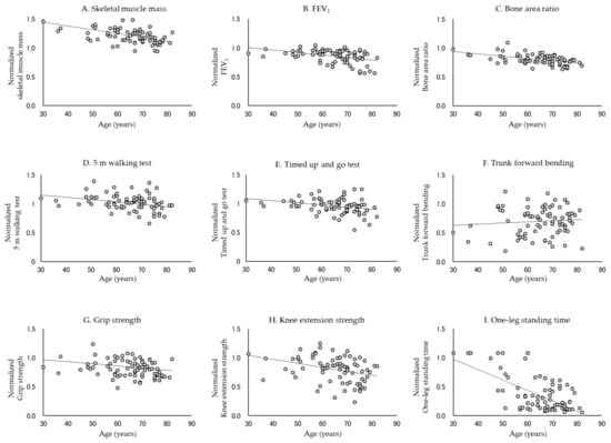
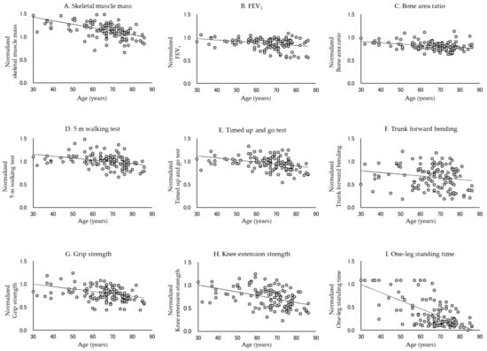
| One-leg standing time | −0.0174 | 1.51 | 2.031 | * | 0.427 | * | 1 |
| Knee extension strength | −0.0076 | 1.24 | 1.769 | * | 0.149 | * | 2 |
| Skeletal muscle mass | −0.0076 | 1.65 | 1.579 | * | 0.208 | * | 3 |
| Grip strength | −0.0053 | 1.16 | 2.119 | * | 0.171 | * | 4 |
| Timed up and go test | −0.0044 | 1.25 | 2.288 | * | 0.201 | * | 5 |
| 5 m walking test | −0.0041 | 1.28 | 1.97 | * | 0.114 | * | 6 |
| FEV1 | −0.0030 | 1.07 | 1.93 | * | 0.085 | * | 7 |
| Bone area ratio | −0.0026 | 0.98 | 1.877 | * | 0.096 | * | 8 |
| Trunk forward bending | −0.0038 | 0.91 | 1.792 | 0.060 | 0.025 | 0.043 | |
| Men | Women | |||||||||||||
|---|---|---|---|---|---|---|---|---|---|---|---|---|---|---|
| DW | p | R2 | p | R | DW | p | R2 | p | R | |||||
| One-leg standing time | −0.0170 | 1.49 | 2.141 | * | 0.493 | * | 1 | −0.0180 | 1.54 | 1.971 | * | 0.375 | * | 1 |
| Knee extension strength | −0.0071 | 1.10 | 2.303 | * | 0.466 | * | 4 | −0.0069 | 1.25 | 2.046 | 0.002 | 0.105 | 0.002 | 2 |
| Skeletal muscle mass | −0.0072 | 1.52 | 2.17 | * | 0.381 | * | 3 | −0.0066 | 1.64 | 2.111 | * | 0.227 | * | 3 |
| Grip strength | −0.0064 | 1.19 | 2.502 | * | 0.382 | * | 5 | −0.0037 | 1.08 | 2.143 | 0.011 | 0.071 | 0.010 | 7 |
| Timed up and go test | −0.0054 | 1.34 | 2.033 | * | 0.249 | * | 6 | −0.0037 | 1.20 | 2.545 | * | 0.165 | * | 6 |
| 5 m walking test | −0.0043 | 1.26 | 1.814 | 0.010 | 0.120 | 0.011 | 7 | −0.0035 | 1.25 | 2.135 | 0.008 | 0.072 | 0.010 | 8 |
| FEV1 | −0.0021 | 1.03 | 2.079 | 0.105 | 0.019 | 0.179 | −0.0043 | 1.13 | 1.952 | * | 0.152 | * | 4 | |
| Trunk forward bending | −0.0089 | 1.20 | 2.419 | * | 0.288 | * | 2 | 0.0020 | 0.57 | 1.821 | 0.484 | 0.001 | 0.613 | |
| Bone area ratio | −0.0016 | 0.94 | 1.907 | 0.192 | 0.021 | 0.168 | −0.0039 | 1.06 | 2.214 | * | 0.253 | * | 5 | |
Publisher’s Note: MDPI stays neutral with regard to jurisdictional claims in published maps and institutional affiliations. |
© 2021 by the authors. Licensee MDPI, Basel, Switzerland. This article is an open access article distributed under the terms and conditions of the Creative Commons Attribution (CC BY) license (https://creativecommons.org/licenses/by/4.0/).
Share and Cite
Okabe, T.; Suzuki, M.; Goto, H.; Iso, N.; Cho, K.; Hirata, K.; Shimizu, J. Sex Differences in Age-Related Physical Changes among Community-Dwelling Adults. J. Clin. Med. 2021, 10, 4800. https://doi.org/10.3390/jcm10204800
Okabe T, Suzuki M, Goto H, Iso N, Cho K, Hirata K, Shimizu J. Sex Differences in Age-Related Physical Changes among Community-Dwelling Adults. Journal of Clinical Medicine. 2021; 10(20):4800. https://doi.org/10.3390/jcm10204800
Chicago/Turabian StyleOkabe, Takuhiro, Makoto Suzuki, Hiroshi Goto, Naoki Iso, Kilchoon Cho, Keisuke Hirata, and Junichi Shimizu. 2021. "Sex Differences in Age-Related Physical Changes among Community-Dwelling Adults" Journal of Clinical Medicine 10, no. 20: 4800. https://doi.org/10.3390/jcm10204800
APA StyleOkabe, T., Suzuki, M., Goto, H., Iso, N., Cho, K., Hirata, K., & Shimizu, J. (2021). Sex Differences in Age-Related Physical Changes among Community-Dwelling Adults. Journal of Clinical Medicine, 10(20), 4800. https://doi.org/10.3390/jcm10204800

