Safety, Feasibility, and Impact of Enalapril on Cardiorespiratory Physiology and Health in Preterm Infants with Systemic Hypertension and Left Ventricular Diastolic Dysfunction
Abstract
:1. Introduction
2. Materials and Methods
3. Results
4. Discussion
5. Conclusions
Supplementary Materials
Author Contributions
Funding
Institutional Review Board Statement
Informed Consent Statement
Conflicts of Interest
References
- Lewandowski, A.J.; Levy, P.T.; Bates, M.L.; McNamara, P.J.; Nuyt, A.M.; Goss, K.N. Impact of the Vulnerable Preterm Heart and Circulation on Adult Cardiovascular Disease Risk. Hypertension 2020, 76, 1028–1037. [Google Scholar] [CrossRef] [PubMed]
- Lewandowski, A.J.; Augustine, D.; Lamata, P.; Davis, E.F.; Lazdam, M.; Francis, J.; McCormick, K.; Wilkinson, A.R.; Singhal, A.; Lucas, A.; et al. Preterm heart in adult life: Cardiovascular magnetic resonance reveals distinct differences in left ventricular mass, geometry, and function. Circulation 2013, 127, 197–206. [Google Scholar] [CrossRef] [Green Version]
- Watkins, P.L.; Dagle, J.M.; Bell, E.F.; Colaizy, T.T. Outcomes at 18 to 22 Months of Corrected Age for Infants Born at 22 to 25 Weeks of Gestation in a Center Practicing Active Management. J. Pediatr. 2020, 217, 52–58.e1. [Google Scholar] [CrossRef] [PubMed]
- Stoll, B.J.; Hansen, N.I.; Bell, E.F.; Walsh, M.C.; Carlo, W.A.; Shankaran, S.; Laptook, A.R.; Sanchez, P.J.; Van Meurs, K.P.; Wyckoff, M.; et al. Trends in Care Practices, Morbidity, and Mortality of Extremely Preterm Neonates, 1993–2012. JAMA 2015, 314, 1039–1051. [Google Scholar] [CrossRef] [PubMed] [Green Version]
- Younge, N.; Goldstein, R.F.; Bann, C.M.; Hintz, S.R.; Patel, R.M.; Smith, P.B.; Bell, E.F.; Rysavy, M.A.; Duncan, A.F.; Vohr, B.R.; et al. Survival and Neurodevelopmental Outcomes among Periviable Infants. N. Engl. J. Med. 2017, 376, 617–628. [Google Scholar] [CrossRef] [PubMed] [Green Version]
- Carr, H.; Cnattingius, S.; Granath, F.; Ludvigsson, J.F.; Edstedt Bonamy, A.K. Preterm Birth and Risk of Heart Failure Up to Early Adulthood. J. Am. Coll. Cardiol. 2017, 69, 2634–2642. [Google Scholar] [CrossRef] [PubMed]
- Harer, M.W.; Kent, A.L. Neonatal hypertension: An educational review. Pediatr. Nephrol. 2019, 34, 1009–1018. [Google Scholar] [CrossRef]
- Sahu, R.; Pannu, H.; Yu, R.; Shete, S.; Bricker, J.T.; Gupta-Malhotra, M. Systemic hypertension requiring treatment in the neonatal intensive care unit. J. Pediatr. 2013, 163, 84–88. [Google Scholar] [CrossRef] [Green Version]
- Seliem, W.A.; Falk, M.C.; Shadbolt, B.; Kent, A.L. Antenatal and postnatal risk factors for neonatal hypertension and infant follow-up. Pediatr. Nephrol. 2007, 22, 2081–2087. [Google Scholar] [CrossRef]
- Dionne, J.M.; Flynn, J.T. Management of severe hypertension in the newborn. Arch. Dis. Child. 2017, 102, 1176–1179. [Google Scholar] [CrossRef]
- Starr, M.C.; Flynn, J.T. Neonatal hypertension: Cases, causes, and clinical approach. Pediatr. Nephrol. 2019, 34, 787–799. [Google Scholar] [CrossRef]
- Reyes, M.E.; Giesinger, R.E.; Bischoff, A.R.; Stanford, A.; Rios, D.; McNamara, P.J. Late systemic hypertension is associated with left ventricular diastolic dysfunction in extremely prematerm infants with bronchopulmonary dysplasia. In Proceedings of the Pediatric Academic Societies (PAS) 2021, Online, 30 April–4 May 2021. [Google Scholar]
- Sehgal, A.; Krishnamurthy, M.B.; Clark, M.; Menahem, S. ACE inhibition for severe bronchopulmonary dysplasia—An approach based on physiology. Physiol. Rep. 2018, 6, e13821. [Google Scholar] [CrossRef] [PubMed]
- Schmitz, L.; Xanthopoulos, A.; Koch, H.; Lange, P.E. Doppler flow parameters of left ventricular filling in infants: How long does it take for the maturation of the diastolic function in a normal left ventricle to occur? Pediatr. Cardiol. 2004, 25, 482–491. [Google Scholar] [CrossRef]
- Schmitz, L.; Xanthopoulos, A.; Lange, P.E. Isovolumic relaxation time shortens significantly during the three months after birth. J. Am. Soc. Echocardiogr. 2004, 17, 275–276. [Google Scholar] [CrossRef] [PubMed]
- Frommelt, P.C. Echocardiographic measures of diastolic function in pediatric heart disease. Curr. Opin. Cardiol. 2006, 21, 194–199. [Google Scholar] [CrossRef] [PubMed]
- Jung, Y.H.; Jang, J.; Kim, H.S.; Shin, S.H.; Choi, C.W.; Kim, E.K.; Kim, B.I. Respiratory severity score as a predictive factor for severe bronchopulmonary dysplasia or death in extremely preterm infants. BMC Pediatr. 2019, 19, 121. [Google Scholar]
- Finer, N.N.; Bates, R.; Tomat, P. Low flow oxygen delivery via nasal cannula to neonates. Pediatr. Pulmonol. 1996, 21, 48–51. [Google Scholar] [CrossRef]
- Colaizy, T.T.; Longmuir, S.; Gertsch, K.; Abràmoff, M.D.; Klein, J.M. Use of a Supplemental Oxygen Protocol to Suppress Progression of Retinopathy of Prematurity. Investig. Ophthalmol. Vis. Sci. 2017, 58, 887–891. [Google Scholar] [CrossRef] [Green Version]
- Mertens, L.; Seri, I.; Marek, J.; Arlettaz, R.; Barker, P.; McNamara, P.; Moon-Grady, A.J.; Coon, P.D.; Noori, S.; Simpson, J.; et al. Targeted Neonatal Echocardiography in the Neonatal Intensive Care Unit: Practice guidelines and recommendations for training. Writing Group of the American Society of Echocardiography (ASE) in collaboration with the European Association of Echocardiography (EAE) and the Association for European Pediatric Cardiologists (AEPC). J. Am. Soc. Echocardiogr. 2011, 24, 1057–1078. [Google Scholar]
- Bischoff, A.R.; Giesinger, R.E.; Rios, D.R.; Mertens, L.; Ashwath, R.; McNamara, P.J. Anatomic Concordance of Neonatologist-Performed Echocardiography as Part of Hemodynamics Consultation and Pediatric Cardiology. J. Am. Soc. Echocardiogr. 2021, 34, 301–307. [Google Scholar] [CrossRef]
- Hirose, A.; Khoo, N.S.; Aziz, K.; Al-Rajaa, N.; van den Boom, J.; Savard, W.; Brooks, P.; Hornberger, L.K. Evolution of left ventricular function in the preterm infant. J. Am. Soc. Echocardiogr. 2015, 28, 302–308. [Google Scholar] [CrossRef]
- El-Khuffash, A.F.; McNamara, P.J. Neonatologist-performed functional echocardiography in the neonatal intensive care unit. Semin. Fet. Neonatal Med. 2011, 16, 50–60. [Google Scholar] [CrossRef] [PubMed]
- Ficial, B.; Finnemore, A.E.; Cox, D.J.; Broadhouse, K.M.; Price, A.N.; Durighel, G.; Ekitzidou, G.; Hajnal, J.V.; Edwards, A.D.; Groves, A.M. Validation study of the accuracy of echocardiographic measurements of systemic blood flow volume in newborn infants. J. Am. Soc. Echocardiogr. Off. Publ. Am. Soc. Echocardiogr. 2013, 26, 1365–1371. [Google Scholar] [CrossRef] [PubMed] [Green Version]
- Jain, A.; Mohamed, A.; El-Khuffash, A.; Connelly, K.A.; Dallaire, F.; Jankov, R.P.; McNamara, P.J.; Mertens, L. A comprehensive echocardiographic protocol for assessing neonatal right ventricular dimensions and function in the transitional period: Normative data and z scores. J. Am. Soc. Echocardiogr. 2014, 27, 1293–1304. [Google Scholar] [CrossRef] [PubMed]
- Gamaza-Chulián, S.; Díaz-Retamino, E.; Camacho-Freire, S.; Ruiz-Fernández, D.; Gutiérrez-Barrios, A.; Oneto-Otero, J. Acceleration Time and Ratio of Acceleration Time to Ejection Time in Aortic Stenosis: New Echocardiographic Diagnostic Parameters. J. Am. Soc. Echocardiogr. 2017, 30, 947–955. [Google Scholar] [CrossRef]
- Levy, P.T.; Patel, M.D.; Groh, G.; Choudhry, S.; Murphy, J.; Holland, M.R.; Hamvas, A.; Grady, M.R.; Singh, G.K. Pulmonary Artery Acceleration Time Provides a Reliable Estimate of Invasive Pulmonary Hemodynamics in Children. J. Am. Soc. Echocardiogr. 2016, 29, 1056–1065. [Google Scholar] [CrossRef] [Green Version]
- Rowland, D.G.; Gutgesell, H.P. Noninvasive assessment of myocardial contractility, preload, and afterload in healthy newborn infants. Am. J. Cardiol. 1995, 75, 818–821. [Google Scholar] [CrossRef]
- Rowland, D.G.; Gutgesell, H.P. Use of mean arterial pressure for noninvasive determination of left ventricular end-systolic wall stress in infants and children. Am. J. Cardiol. 1994, 74, 98–99. [Google Scholar] [CrossRef]
- Bussmann, N.; Breatnach, C.; Levy, P.T.; McCallion, N.; Franklin, O.; El-Khuffash, A. Early diastolic dysfunction and respiratory morbidity in premature infants: An observational study. J. Perinatol. Off. J. Calif. Perinat. Assoc. 2018, 38, 1205–1211. [Google Scholar] [CrossRef]
- Sehgal, A.; Malikiwi, A.; Paul, E.; Tan, K.; Menahem, S. A new look at bronchopulmonary dysplasia: Postcapillary pathophysiology and cardiac dysfunction. Pulm. Circ. 2016, 6, 508–515. [Google Scholar] [CrossRef] [Green Version]
- Mourani, P.M.; Ivy, D.D.; Rosenberg, A.A.; Fagan, T.E.; Abman, S.H. Left ventricular diastolic dysfunction in bronchopulmonary dysplasia. J. Pediatr. 2008, 152, 291–293. [Google Scholar] [CrossRef] [PubMed] [Green Version]
- Sehgal, A.; Steenhorst, J.J.; McLennan, D.I.; Merkus, D.; Ivy, D.; McNamara, P.J. The Left Heart, Systemic Circulation, and Bronchopulmonary Dysplasia: Relevance to Pathophysiology and Therapeutics. J. Pediatr. 2020, 225, 13–22.e2. [Google Scholar] [CrossRef] [PubMed]
- Barnard, C.R.; Peters, M.; Sindler, A.L.; Farrell, E.T.; Baker, K.R.; Palta, M.; Stauss, H.M.; Dagle, J.M.; Segar, J.; Pierce, G.L.; et al. Increased aortic stiffness and elevated blood pressure in response to exercise in adult survivors of prematurity. Physiol. Rep. 2020, 8, e14462. [Google Scholar] [CrossRef] [PubMed]
- Bates, M.L.; Levy, P.T.; Nuyt, A.M.; Goss, K.N.; Lewandowski, A.J.; McNamara, P.J. Adult Cardiovascular Health Risk and Cardiovascular Phenotypes of Prematurity. J. Pediatr. 2020, 227, 17–30. [Google Scholar] [CrossRef] [PubMed]
- Skelton, R.; Gill, A.B.; Parsons, J.M. Cardiac effects of short course dexamethasone in preterm infants. Arch. Dis. Child. Fet. Neonatal Ed. 1998, 78, F133–F137. [Google Scholar] [CrossRef]
- Kelly, B.A.; Lewandowski, A.J.; Worton, S.A.; Davis, E.F.; Lazdam, M.; Francis, J.; Neubauer, S.; Lucas, A.; Singhal, A.; Leeson, P. Antenatal glucocorticoid exposure and long-term alterations in aortic function and glucose metabolism. Pediatrics 2012, 129, e1282–e1290. [Google Scholar] [CrossRef]
- Bensley, J.G.; De Matteo, R.; Harding, R.; Black, M.J. Preterm birth with antenatal corticosteroid administration has injurious and persistent effects on the structure and composition of the aorta and pulmonary artery. Pediatr. Res. 2012, 71, 150–155. [Google Scholar] [CrossRef]
- McNamara, P.J.; Sehgal, A. Towards rational management of the patent ductus arteriosus: The need for disease staging. Arch Dis. Child. Fet. Neonatal Ed. 2007, 92, F424–F427. [Google Scholar] [CrossRef]
- Nuyt, A.M.; Alexander, B.T. Developmental programming and hypertension. Curr. Opin. Nephrol. Hyperten. 2009, 18, 144–152. [Google Scholar] [CrossRef] [Green Version]
- Johansson, S.; Norman, M.; Legnevall, L.; Dalmaz, Y.; Lagercrantz, H.; Vanpée, M. Increased catecholamines and heart rate in children with low birth weight: Perinatal contributions to sympathoadrenal overactivity. J. Intern. Med. 2007, 261, 480–487. [Google Scholar] [CrossRef]
- Dagan, A.; Kwon, H.M.; Dwarakanath, V.; Baum, M. Effect of renal denervation on prenatal programming of hypertension and renal tubular transporter abundance. Am. J. Physiol. Renal Physiol. 2008, 295, F29–F34. [Google Scholar] [CrossRef] [Green Version]
- Tan, W.S.D.; Liao, W.; Zhou, S.; Mei, D.; Wong, W.F. Targeting the renin-angiotensin system as novel therapeutic strategy for pulmonary diseases. Curr. Opin. Pharmacol. 2018, 40, 9–17. [Google Scholar] [CrossRef]
- Jia, H. Pulmonary Angiotensin-Converting Enzyme 2 (ACE2) and Inflammatory Lung Disease. Shock 2016, 46, 239–248. [Google Scholar] [CrossRef]
- Lovering, A.T.; Elliott, J.E.; Laurie, S.S.; Beasley, K.M.; Gust, C.E.; Mangum, T.S.; Gladstone, I.M.; Duke, J.W. Ventilatory and sensory responses in adult survivors of preterm birth and bronchopulmonary dysplasia with reduced exercise capacity. Ann. Am. Thorac. Soc. 2014, 11, 1528–1537. [Google Scholar] [CrossRef] [PubMed]
- González, G.E.; Wilensky, L.; Cassaglia, P.; Morales, C.; Gelpi, R.J. Early administration of Enalapril prevents diastolic dysfunction and ventricular remodeling in rabbits with myocardial infarction. Cardiovasc. Pathol. 2016, 25, 208–213. [Google Scholar] [CrossRef] [PubMed]
- Deten, A.; Volz, H.C.; Briest, W.; Zimmer, H.G. Cardiac cytokine expression is upregulated in the acute phase after myocardial infarction. Experimental studies in rats. Cardiovasc. Res. 2002, 55, 329–340. [Google Scholar] [CrossRef] [Green Version]
- Onodera, H.; Matsunaga, T.; Tamura, Y.; Maeda, N.; Higuma, T.; Sasaki, S.; Mori, Y.; Yoshimachi, F.; Ishizaka, H.; Hanada, H.; et al. Enalapril suppresses ventricular remodeling more effectively than losartan in patients with acute myocardial infarction. Am. Heart J. 2005, 150, 689. [Google Scholar] [CrossRef]
- Marijianowski, M.M.; Teeling, P.; Becker, A.E. Remodeling after myocardial infarction in humans is not associated with interstitial fibrosis of noninfarcted myocardium. J. Am. Coll. Cardiol. 1997, 30, 76–82. [Google Scholar] [CrossRef] [Green Version]
- Yusuf, S.; Pitt, B.; Davis, C.E.; Hood, W.B.; Cohn, J.N. Effect of enalapril on survival in patients with reduced left ventricular ejection fractions and congestive heart failure. N. Engl. J. Med. 1991, 325, 293–302. [Google Scholar]
- Pfeffer, M.A.; Braunwald, E.; Moyé, L.A.; Basta, L.; Brown, E.J., Jr.; Cuddy, T.E.; Davis, B.R.; Geltman, E.M.; Goldman, S.; Flaker, G.C.; et al. Effect of captopril on mortality and morbidity in patients with left ventricular dysfunction after myocardial infarction. Results of the survival and ventricular enlargement trial. The SAVE Investigators. N. Engl. J. Med. 1992, 327, 669–677. [Google Scholar] [CrossRef] [Green Version]
- Konstam, M.A.; Kronenberg, M.W.; Rousseau, M.F.; Udelson, J.E.; Melin, J.; Stewart, D.; Dolan, N.; Edens, T.R.; Ahn, S.; Kinan, D.; et al. Effects of the angiotensin converting enzyme inhibitor enalapril on the long-term progression of left ventricular dilatation in patients with asymptomatic systolic dysfunction. SOLVD (Studies of Left Ventricular Dysfunction) Investigators. Circulation 1993, 88 Pt 1, 2277–2283. [Google Scholar] [CrossRef] [Green Version]
- Jugdutt, B.I. Effects of amlodipine versus enalapril on left ventricular remodelling after reperfused anterior myocardial canine infarction. Can. J. Cardiol. 1997, 13, 945–954. [Google Scholar]
- Frenneaux, M.; Stewart, R.A.; Newman, C.M.; Hallidie-Smith, K.A. Enalapril for severe heart failure in infancy. Arch. Dis. Child. 1989, 64, 219–223. [Google Scholar] [CrossRef] [Green Version]
- Mason, T.; Polak, M.J.; Pyles, L.; Mullett, M.; Swanke, C. Treatment of neonatal renovascular hypertension with intravenous enalapril. Am. J. Perinatol. 1992, 9, 254–257. [Google Scholar] [CrossRef]
- Dutertre, J.P.; Billaud, E.M.; Autret, E.; Chantepie, A.; Oliver, I.; Laugier, J. Inhibition of angiotensin converting enzyme with enalapril maleate in infants with congestive heart failure. Br. J. Clin. Pharmacol. 1993, 35, 528–530. [Google Scholar] [CrossRef] [Green Version]
- Mathur, K.; Hsu, D.T.; Lamour, J.M.; Aydin, S.I. Safety of Enalapril in Infants: Data from the Pediatric Heart Network Infant Single Ventricle Trial. J. Pediatr. 2020, 227, 218–223. [Google Scholar] [CrossRef] [PubMed]
- Gubhaju, L.; Sutherland, M.R.; Black, M.J. Preterm birth and the kidney: Implications for long-term renal health. Reprod. Sci. 2011, 18, 322–333. [Google Scholar] [CrossRef] [PubMed]
- Raju, T.N.K.; Pemberton, V.L.; Saigal, S.; Blaisdell, C.J.; Moxey-Mims, M.; Buist, S. Long-Term Healthcare Outcomes of Preterm Birth: An Executive Summary of a Conference Sponsored by the National Institutes of Health. J. Pediatr. 2017, 181, 309–318.e1. [Google Scholar] [CrossRef] [Green Version]
- Telles, F.; McNamara, N.; Nanayakkara, S.; Doyle, M.P.; Williams, M.; Yaeger, L.; Marwick, T.H.; Leeson, P.; Levy, P.T.; Lewandowski, A.J. Changes in the Preterm Heart From Birth to Young Adulthood: A Meta-analysis. Pediatrics 2020, 146, e20200146. [Google Scholar] [CrossRef] [PubMed]
- Crump, C.; Howell, E.A.; Stroustrup, A.; McLaughlin, M.A.; Sundquist, J.; Sundquist, K. Association of Preterm Birth With Risk of Ischemic Heart Disease in Adulthood. JAMA Pediatr. 2019, 173, 736–743. [Google Scholar] [CrossRef] [PubMed]
- Markopoulou, P.; Papanikolaou, E.; Analytis, A.; Zoumakis, E.; Siahanidou, T. Preterm Birth as a Risk Factor for Metabolic Syndrome and Cardiovascular Disease in Adult Life: A Systematic Review and Meta-Analysis. J. Pediatr. 2019, 210, 69–80.e5. [Google Scholar] [CrossRef] [PubMed]
- Lorell, B.H.; Carabello, B.A. Left ventricular hypertrophy: Pathogenesis, detection, and prognosis. Circulation 2000, 102, 470–479. [Google Scholar] [CrossRef] [PubMed]


| Demographics and Baseline Illness Severity | n = 11 |
|---|---|
| Birth weight (grams) | 785 ± 239 |
| Gestational Age (weeks) | 25.3 (24, 26.1) |
| Male sex | 4 (36.4) |
| Small for gestational age | 3 (27.3) |
| Antenatal steroids | 8 (72.7) |
| Antenatal MgSO4 | 7 (63.6) |
| PPROM | |
| <18 h | 7 (63.6) |
| 18 h–7 days | 0 (0) |
| >7 days | 4 (36.4) |
| C-section delivery | 8 (72.7) |
| Maternal hypertension | 2 (18.2) |
| Maternal diabetes | 1 (9.1) |
| 5-minute APGAR score | 6.1 ± 1.9 |
| Surfactant replacement therapy | 10 (90.9) |
| Number of doses of surfactant | 1 (1, 2.2) |
| iNO in the transitional period (1st week of life) | 1 (9.1) |
| Treatment for PDA | |
| No treatment | 2 (18.2) |
| Medical treatment | 4 (36.4) |
| Interventional closure | 5 (45.5) |
| Doses of acetaminophen | 18.1 ± 16.8 |
| Doses of indomethacin | 3.9 ± 4.1 |
| Age at definitive PDA closure (days) | 31 ± 24.5 |
| Status pre-enalapril | |
| Age enalapril started (days) | 90 ± 20 |
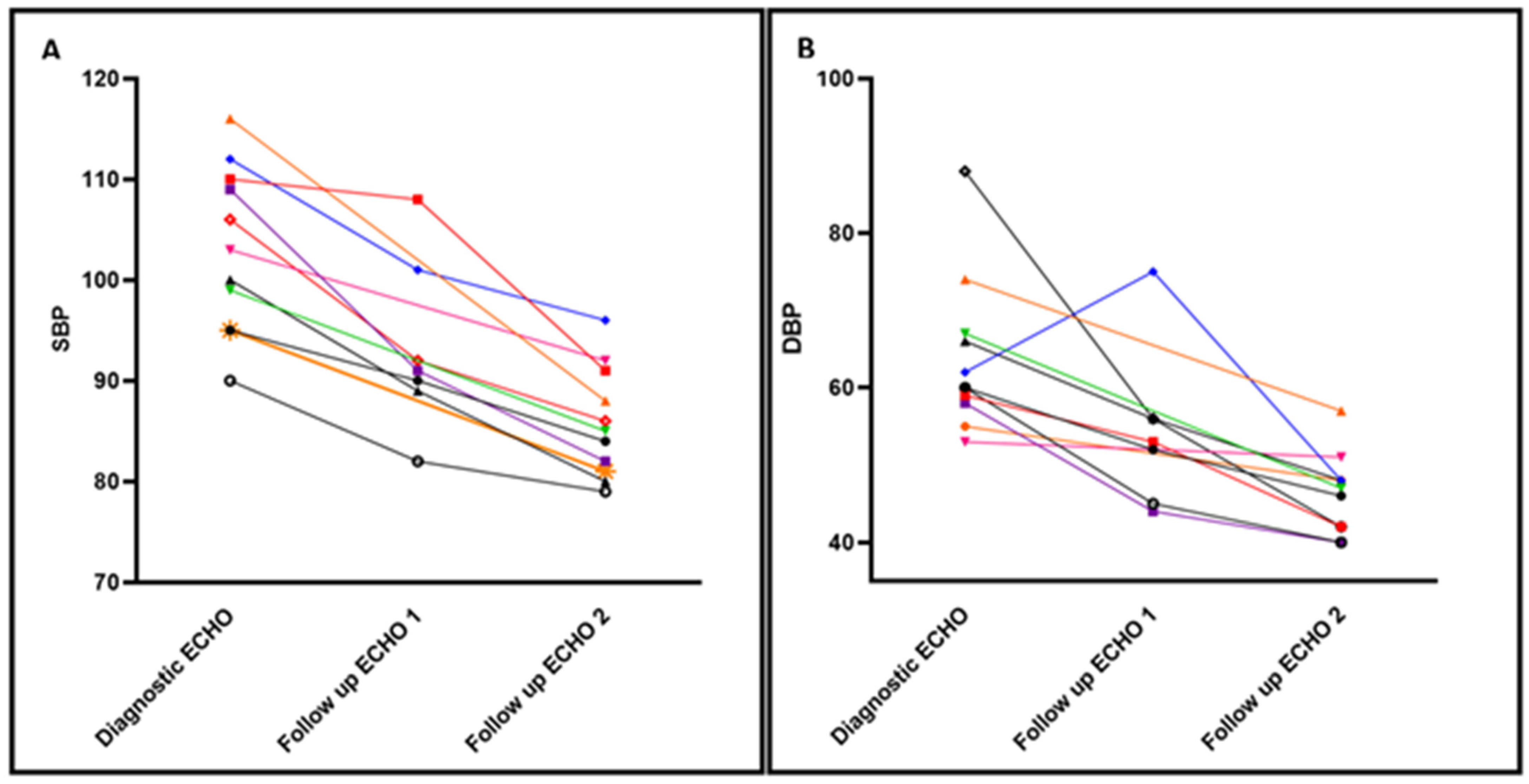
| Right arm Systolic Blood Pressure (mmHg) | 98 ± 9 |
| Right arm Diastolic Blood Pressure (mmHg) | 56 ± 6 |
| Leg Systolic Blood Pressure (mmHg) | 96 ± 9 |
| Leg Diastolic Blood Pressure (mmHg) | 55 ± 12 |
| Amlodipine therapy prior to Enalapril (n) | 4 |
| Dose (mg/kg) | 0.1 |
| Length of treatment (days) | 20.75 (13, 35) |
| Isradipine use for SBP > 110 on Enalapril (n) | 1 |
| Total dose (mg/kg) | 0.1 |
| Ventilation mode: | |
| Invasive MV | 0 (0) |
| Non-invasive respiratory support | 9 (81.8) |
| Nasal cannula | 2 (18.2) |
| PEEP (cmH2O) (n = 9) | 8 (6.5, 12) |
| Fraction of inspired oxygen (%) | 41.2 ± 12 |
| Modified respiratory severity score (n = 9) | 3.9 ± 1.7 |
| Neonatal morbidities | |
| Intraventricular hemorrhage | |
| None | 5 (45.5) |
| Grade I/II | 4 (36.4) |
| Grade III/IV | 2 (18.2) |
| NEC | 1 (9.1) |
| Culture proven sepsis | 5 (45.5) |
| Duration of invasive ventilation (days) | 42.6 ± 33 |
| Duration of non-invasive ventilation (days) | 59 (52, 81) |
| Duration of iNO (total during hospitalization) (days) | 0 (0, 0) |
| Medications at the time of enalapril initiation | |
| Diuretics | 8 (72.7) |
| Systemic steroids * | 3 (27.3) |
| Pulmonary vasodilators | 0 (0) |
| Creatinine baseline (mg/dL) | 0.2 (0.1, 0.3) |
| Troponin T baseline (ng/mL) | 0.03 (0.02, 0.03) |
| Pre-Enalapril | Post-Enalapril | p | |
|---|---|---|---|
| Primary outcomes: | |||
| LV diastolic function | |||
| Mitral E/A | 0.95 ± 0.2 | 1 ± 0.1 | NS |
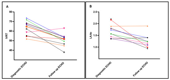
| IVRT (msec) | 63.1 ± 7.2 | 50.9 ± 7.4 | 0.002 |
| E/e′ septum | 13.9 ± 7.6 | 13.9 ± 5.7 | NS |
| E/e′ inferior | 15.1 (8.1, 17) | 10.2 (8.2, 17.8) | NS |
| Secondary outcomes: | |||
| LV diastolic function | |||
| Septum e′ (cm/s) | 7.8 ± 3.3 | 6.9 ± 2.4 | |
| Septum a′ (cm/s) | 7.7 ± 3.13 | 6.8 ± 2 | |
| Systolic: diastolic ratio (septum) | 1.26 (1.16, 1.4) | 1.25 (1.1, 1.44) | |
| Inferior e′ (cm/s) | 8.7 ± 3.6 | 7.6 ± 2.6 | |
| Inferior a′ (cm/s) | 9.1 ± 2.5 | 9 ± 3 | |
| Systolic: diastolic ratio (inferior) | 1.29 ± 0.24 | 1.22 ± 0.21 | |
| Left Heart Volume Loading/Systolic Performance | |||
| Pulmonary vein S (cm/s) | 50.9 ± 9 | 55.5 ± 8.6 | |
| Pulmonary vein D (cm/s) | 42.6 ± 6.9 | 43.5 ± 9 | |
| Pulmonary S:D ratio | 1.21 ± 0.23 | 1.31 ± 0.26 | |
| Mitral inflow E (cm/s) | 89.6 ± 17.5 | 87 ± 15.6 | |
| Mitral inflow A (cm/s) | 94.6 ± 11.5 | 87.6 ± 14.1 | |
| LA:Ao | 1.73 (1.43, 1.88) | 1.23 (1.07, 1.29) | |
| LVIDd (mm) | 1.9 ± 0.2 | 1.9 ± 0.1 | |
| LVIDs (mm) | 1.3 ± 0.3 | 1.3 ± 0.1 | |
| LVPWD systole (mm) | 0.63 ± 0.09 | 0.68 ± 0.13 | |
| LVPWD diastole (mm) | 0.42 ± 0.11 | 0.46 ± 0.09 | |
| LVO (mL/min/kg) | 207 ± 25 | 192 ± 27 | |
| FS (%) | 31.7 ± 12.9 | 32.4 ± 3.2 | |
| EF (Simpsons Biplane) (%) | 66.9 ± 4.9 | 68.7 ± 4.5 | |
| SV (Simpsons Biplane) (mL/kg) | 1.5 ± 0.29 | 1.43 ± 0.33 | |
| Septum s′ (cm/s) | 5.7 ± 1.3 | 4.8 ± 0.8 | |
| Inferior s′ (cm/s) | 5.8 ± 1.2 | 6 ± 1.7 | |
| Peak longitudinal strain (LV 4Ch) (%) | −16.3 ± 3.2 | −15.6 ± 2.8 | |
| Peak systolic strain rate (1/s) | −1.36 ± 0.15 | −1.37 ± 0.23 | |
| RV systolic function | |||
| TAPSE (mm) | 11.3 ± 1.3 | 11.5 ± 1.7 | |
| FAC (%) | 47.8 ± 8.1 | 48.5 ± 11 | |
| RV s’ (cm/s) | 8.5 ± 0.77 | 7.7 ± 1 | |
| Peak longitudinal strain (RV 3Ch) (%) | −21.8 ± 1.9 | −23.3 ± 4.9 | |
| Vascular resistance | |||
| LV ejection time (msec) | 190 ± 24.1 | 195.3 ± 11.1 | |
| Aortic acceleration time (msec) | 38.1 ± 8.1 | 42.3 ± 7.9 | |
| LVET:AoAT | 5.1 ± 1.2 | 4.7 ± 0.8 | |
| RV ejection time (msec) | 196.6 ± 16.5 | 202.8 ± 16.6 | |
| PA acceleration time (msec) | 48.4 ± 8.5 | 54.2 ± 14.7 | |
| RVET:PAAT | 4.1 ± 0.8 | 3.9 ± 0.8 | |
| LV exposed vascular resistance (dynes/s/cm5) | 0.31 ± 0.05 | 0.34 ± 0.08 | |
| ESWS (g/cm2) | 83.7 ± 22.6 | 70.8 ± 21.4 | |
Publisher’s Note: MDPI stays neutral with regard to jurisdictional claims in published maps and institutional affiliations. |
© 2021 by the authors. Licensee MDPI, Basel, Switzerland. This article is an open access article distributed under the terms and conditions of the Creative Commons Attribution (CC BY) license (https://creativecommons.org/licenses/by/4.0/).
Share and Cite
Stanford, A.H.; Reyes, M.; Rios, D.R.; Giesinger, R.E.; Jetton, J.G.; Bischoff, A.R.; McNamara, P.J. Safety, Feasibility, and Impact of Enalapril on Cardiorespiratory Physiology and Health in Preterm Infants with Systemic Hypertension and Left Ventricular Diastolic Dysfunction. J. Clin. Med. 2021, 10, 4519. https://doi.org/10.3390/jcm10194519
Stanford AH, Reyes M, Rios DR, Giesinger RE, Jetton JG, Bischoff AR, McNamara PJ. Safety, Feasibility, and Impact of Enalapril on Cardiorespiratory Physiology and Health in Preterm Infants with Systemic Hypertension and Left Ventricular Diastolic Dysfunction. Journal of Clinical Medicine. 2021; 10(19):4519. https://doi.org/10.3390/jcm10194519
Chicago/Turabian StyleStanford, Amy H., Melanie Reyes, Danielle R. Rios, Regan E. Giesinger, Jennifer G. Jetton, Adrianne R. Bischoff, and Patrick J. McNamara. 2021. "Safety, Feasibility, and Impact of Enalapril on Cardiorespiratory Physiology and Health in Preterm Infants with Systemic Hypertension and Left Ventricular Diastolic Dysfunction" Journal of Clinical Medicine 10, no. 19: 4519. https://doi.org/10.3390/jcm10194519
APA StyleStanford, A. H., Reyes, M., Rios, D. R., Giesinger, R. E., Jetton, J. G., Bischoff, A. R., & McNamara, P. J. (2021). Safety, Feasibility, and Impact of Enalapril on Cardiorespiratory Physiology and Health in Preterm Infants with Systemic Hypertension and Left Ventricular Diastolic Dysfunction. Journal of Clinical Medicine, 10(19), 4519. https://doi.org/10.3390/jcm10194519
