Effects of Transcatheter Mitral Valve Repair Using MitraClip® Device on Sleep Disordered Breathing in Patients with Mitral Valve Regurgitation
Abstract
1. Introduction
2. Materials and Methods
- -
- Airflow decreases at least 30 percent compared with the pre-event baseline,
- -
- The diminished airflow lasts at least 10 s,
- -
- The event is associated with a 3 percent oxygen desaturation from baseline.
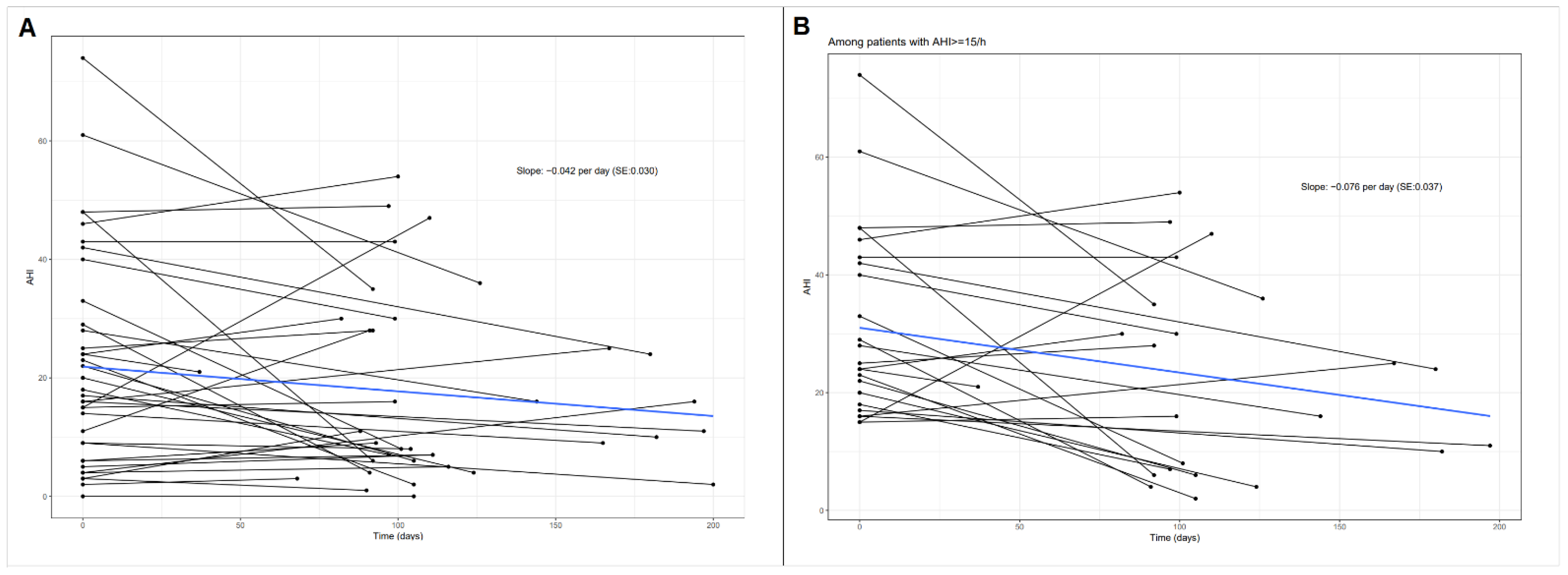
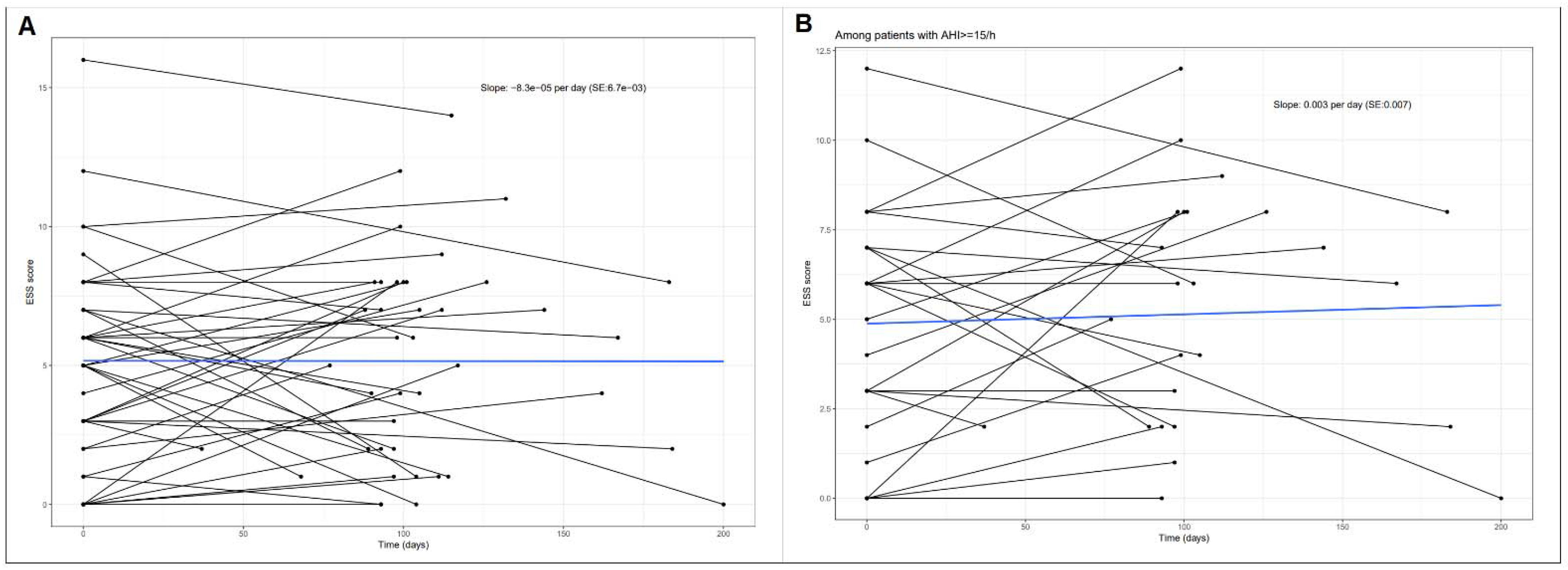
3. Results
4. Discussion
5. Conclusions
Author Contributions
Funding
Institutional Review Board Statement
Informed Consent Statement
Data Availability Statement
Acknowledgments
Conflicts of Interest
References
- Gaasch, W.H.; Otto, C.M. Pathophysiology and Natural History of Chronic Mitral Regurgitation; Post, T.W., Ed.; UpToDate: Waltham, MA, USA, 2021. [Google Scholar]
- Nishimura, R.A.; Otto, C.M.; Bonow, R.O.; Carabello, B.A.; Erwin, J.P., 3rd; Guyton, R.A.; O’Gara, P.T.; Ruiz, C.E.; Skubas, N.J.; Sorajja, P.; et al. 2014 AHA/ACC guideline for the management of patients with valvular heart disease: A report of the American College of Cardiology/American Heart Association Task Force on Practice Guidelines. J. Am. Coll. Cardiol. 2014, 63, e57–e185. [Google Scholar] [CrossRef]
- Stone, G.W.; Lindenfeld, J.; Abraham, W.T.; Kar, S.; Lim, D.S.; Mishell, J.M.; Whisenant, B.; Grayburn, P.A.; Rinaldi, M.; Kapadia, S.R.; et al. Transcatheter Mitral-Valve Repair in Patients with Heart Failure. N. Engl. J. Med. 2018, 379, 2307–2318. [Google Scholar] [CrossRef] [PubMed]
- Parati, G.; Lombardi, C.; Castagna, F.; Mattaliano, P.; Filardi, P.P.; Agostoni, P. Heart failure and sleep disorders. Nat. Rev. Cardiol. 2016, 13, 389–403. [Google Scholar] [CrossRef] [PubMed]
- Jean-Louis, G.; Zizi, F.; Clark, L.T.; Brown, C.D.; McFarlane, S.I. Obstructive sleep apnea and cardiovascular disease: Role of the metabolic syndrome and its components. J. Clin. Sleep Med. 2008, 4, 261–272. [Google Scholar] [CrossRef]
- Abe, H.; Takahashi, M.; Yaegashi, H.; Eda, S.; Kitahara, H.; Tsunemoto, H.; Kamikozawa, M.; Koyama, J.; Yamazaki, K.; Ikeda, U. Valve repair improves central sleep apnea in heart failure patients with valvular heart diseases. Circ. J. Off. J. Jpn. Circ. Soc. 2009, 73, 2148–2153. [Google Scholar] [CrossRef] [PubMed]
- Young, T.; Palta, M.; Dempsey, J.; Skatrud, J.; Weber, S.; Badr, S. The occurrence of sleep-disordered breathing among middle-aged adults. N. Engl. J. Med. 1993, 328, 1230–1235. [Google Scholar] [CrossRef]
- Parish, J.M.; Somers, V.K. Obstructive sleep apnea and cardiovascular disease. Mayo Clin. Proc. 2004, 79, 1036–1046. [Google Scholar] [CrossRef]
- Bradley, T.D.; Floras, J.S. Sleep Apnea and Heart Failure. Circulation 2003, 107, 1822–1826. [Google Scholar] [CrossRef]
- Ferrier, K.; Campbell, A.; Yee, B.; Richards, M.; O’Meeghan, T.; Weatherall, M.; Neill, A. Sleep-disordered breathing occurs frequently in stable outpatients with congestive heart failure. Chest 2005, 128, 2116–2122. [Google Scholar] [CrossRef]
- White, D.P. Pathogenesis of obstructive and central sleep apnea. Am. J. Respir. Crit. Care Med. 2005, 172, 1363–1370. [Google Scholar] [CrossRef]
- Vazir, A.; Hastings, P.C.; Dayer, M.; McIntyre, H.F.; Henein, M.Y.; Poole-Wilson, P.A.; Cowie, M.R.; Morrell, M.J.; Simonds, A.K. A high prevalence of sleep disordered breathing in men with mild symptomatic chronic heart failure due to left ventricular systolic dysfunction. Eur. J. Heart Fail. 2007, 9, 243–250. [Google Scholar] [CrossRef] [PubMed]
- Gabor, J.Y.; Newman, D.A.; Barnard-Roberts, V.; Korley, V.; Mangat, I.; Dorian, P.; Hanly, P.J. Improvement in Cheyne-Stokes respiration following cardiac resynchronisation therapy. Eur. Respir. J. 2005, 26, 95–100. [Google Scholar] [CrossRef] [PubMed]
- Sinha, A.M.; Skobel, E.C.; Breithardt, O.A.; Norra, C.; Markus, K.U.; Breuer, C.; Hanrath, P.; Stellbrink, C. Cardiac resynchronization therapy improves central sleep apnea and Cheyne-Stokes respiration in patients with chronic heart failure. J. Am. Coll. Cardiol. 2004, 44, 68–71. [Google Scholar] [CrossRef]
- Skobel, E.C.; Sinha, A.M.; Norra, C.; Randerath, W.; Breithardt, O.A.; Breuer, C.; Hanrath, P.; Stellbrink, C. Effect of cardiac resynchronization therapy on sleep quality, quality of life, and symptomatic depression in patients with chronic heart failure and Cheyne-Stokes respiration. Sleep Breath. Schlaf Atm. 2005, 9, 159–166. [Google Scholar] [CrossRef] [PubMed]
- Oldenburg, O.; Faber, L.; Vogt, J.; Dorszewski, A.; Szabados, F.; Horstkotte, D.; Lamp, B. Influence of cardiac resynchronisation therapy on different types of sleep disordered breathing. Eur. J. Heart Fail. 2007, 9, 820–826. [Google Scholar] [CrossRef]
- Kara, T.; Novak, M.; Nykodym, J.; Bybee, K.A.; Meluzin, J.; Orban, M.; Novakova, Z.; Lipoldova, J.; Hayes, D.L.; Soucek, M.; et al. Short-term effects of cardiac resynchronization therapy on sleep-disordered breathing in patients with systolic heart failure. Chest 2008, 134, 87–93. [Google Scholar] [CrossRef]
- Wan, B.; Rahnavardi, M.; Tian, D.H.; Phan, K.; Munkholm-Larsen, S.; Bannon, P.G.; Yan, T.D. A meta-analysis of MitraClip system versus surgery for treatment of severe mitral regurgitation. Ann. Cardiothorac. Surg. 2013, 2, 683–692. [Google Scholar] [CrossRef] [PubMed]
- Ray, R.; Chambers, J. Mitral valve disease. Int. J. Clin. Pract. 2014, 68, 1216–1220. [Google Scholar] [CrossRef]
- Condado, J.A.; Vélez-Gimón, M. Catheter-based approach to mitral regurgitation. J. Interv. Cardiol. 2003, 16, 523–534. [Google Scholar] [CrossRef]
- Takahashi, M.; Kasai, T.; Dohi, T.; Maeno, K.-i.; Kasagi, S.; Kawana, F.; Ishiwata, S.; Narui, K. Conversion from predominant central sleep apnea to obstructive sleep apnea following valvuloplasty in a patient with mitral regurgitation. J. Clin. Sleep Med. 2011, 7, 523–525. [Google Scholar] [CrossRef]
- Rubin, A.E.; Gottlieb, S.H.; Gold, A.R.; Schwartz, A.R.; Smith, P.L. Elimination of central sleep apnoea by mitral valvuloplasty: The role of feedback delay in periodic breathing. Thorax 2004, 59, 174–176. [Google Scholar] [CrossRef][Green Version]
- Spiesshoefer, J.; Spieker, M.; Klose, S.; Keymel, S.; Boentert, M.; Krüger, S.; Horn, P.; Kelm, M.; Westenfeld, R. Reduction of sleep-disordered breathing following effective percutaneous mitral valve repair with the MitraClip system. Sleep Breath. Schlaf Atm. 2019, 23, 815–824. [Google Scholar] [CrossRef]
- Kelley, C.; Lazkani, M.; Farah, J.; Pershad, A. Percutaneous mitral valve repair: A new treatment for mitral regurgitation. Indian Heart J. 2016, 68, 399–404. [Google Scholar] [CrossRef][Green Version]
- Nashef, S.A.; Roques, F.; Michel, P.; Gauducheau, E.; Lemeshow, S.; Salamon, R. European system for cardiac operative risk evaluation (EuroSCORE). Eur. J. Cardio-Thorac. Surg. 1999, 16, 9–13. [Google Scholar] [CrossRef]
- Nashef, S.A.; Roques, F.; Sharples, L.D.; Nilsson, J.; Smith, C.; Goldstone, A.R.; Lockowandt, U. EuroSCORE II. Eur. J. Cardio-Thorac. Surg. 2012, 41, 734–744; discussion 744–745. [Google Scholar] [CrossRef] [PubMed]
- Johns, M.W. A new method for measuring daytime sleepiness: The Epworth sleepiness scale. Sleep 1991, 14, 540–545. [Google Scholar] [CrossRef]
- Johns, M.W. Sensitivity and specificity of the multiple sleep latency test (MSLT), the maintenance of wakefulness test and the epworth sleepiness scale: Failure of the MSLT as a gold standard. J. Sleep Res. 2000, 9, 5–11. [Google Scholar] [CrossRef]
- Doneh, B. Epworth Sleepiness Scale. Occup. Med. 2015, 65, 508. [Google Scholar] [CrossRef] [PubMed]
- Buysse, D.J.; Reynolds, C.F., 3rd; Monk, T.H.; Berman, S.R.; Kupfer, D.J. The Pittsburgh Sleep Quality Index: A new instrument for psychiatric practice and research. Psychiatry Res. 1989, 28, 193–213. [Google Scholar] [CrossRef]
- Grandner, M.A.; Kripke, D.F.; Yoon, I.-Y.; Youngstedt, S.D. Criterion validity of the Pittsburgh Sleep Quality Index: Investigation in a non-clinical sample. Sleep Biol. Rhythm. 2006, 4, 129–139. [Google Scholar] [CrossRef] [PubMed]
- Cho, J.H.; Kim, H.J. Validation of ApneaLink™ Plus for the diagnosis of sleep apnea. Sleep Breath. Schlaf Atm. 2017, 21, 799–807. [Google Scholar] [CrossRef]
- Nigro, C.A.; Serrano, F.; Aimaretti, S.; González, S.; Codinardo, C.; Rhodius, E. Utility of ApneaLink for the diagnosis of sleep apnea-hypopnea syndrome. Medicina 2010, 70, 53–59. [Google Scholar]
- Iber, C.; Ancoli-Israel, S.; Chesson, A.L., Jr.; Quan, S.F. The AASM Manual for the Scoring of Sleep and Associated Events: Rules, Terminology and Technical Specifications, 1st ed.; American Academy Sleep Medicine: Westchester, IL, USA, 2007. [Google Scholar]
- Berry, R.B.; Budhiraja, R.; Gottlieb, D.J.; Gozal, D.; Iber, C.; Kapur, V.K.; Marcus, C.L.; Mehra, R.; Parthasarathy, S.; Quan, S.F.; et al. Rules for scoring respiratory events in sleep: Update of the 2007 AASM Manual for the Scoring of Sleep and Associated Events. Deliberations of the Sleep Apnea Definitions Task Force of the American Academy of Sleep Medicine. J. Clin. Sleep Med. 2012, 8, 597–619. [Google Scholar] [CrossRef]
- Quan, S.F.; Gillin, J.C.; Littner, M.R.; Shepard, J.W. Sleep-related breathing disorders in adults: Recommendations for syndrome definition and measurement techniques in clinical research. The Report of an American Academy of Sleep Medicine Task Force. Sleep 1999, 22, 667–689. [Google Scholar]
- Gerlach, M.; Sanner, B. Guidelines in Practice: The New S3 Guideline “Sleeping Disorders—Sleep-Related Abnormal Breathing”. Pneumologie 2017, 71, 508–513. [Google Scholar] [CrossRef] [PubMed]
- Riemann, D.; Baum, E.; Cohrs, S.; Crönlein, T.; Hajak, G.; Hertenstein, E.; Klose, P.; Langhorst, J.; Mayer, G.; Nissen, C.; et al. S3-Leitlinie Nicht erholsamer Schlaf/Schlafstörungen—Kapitel Schlafbezogene Atmungsstörungen. Somnologie 2017, 20 (Suppl. S2), 97–180. [Google Scholar] [CrossRef]
- Collop, N.A.; Tracy, S.L.; Kapur, V.; Mehra, R.; Kuhlmann, D.; Fleishman, S.A.; Ojile, J.M. Obstructive sleep apnea devices for out-of-center (OOC) testing: Technology evaluation. J. Clin. Sleep Med. 2011, 7, 531–548. [Google Scholar] [CrossRef]
- Young, T.; Peppard, P.E.; Gottlieb, D.J. Epidemiology of obstructive sleep apnea: A population health perspective. Am. Respir. Crit. Care Med. 2002, 165, 1217–1239. [Google Scholar] [CrossRef] [PubMed]
- Chan, J.; Sanderson, J.; Chan, W.; Lai, C.; Choy, D.; Ho, A.; Leung, R. Prevalence of sleep-disordered breathing in diastolic heart failure. Chest 1997, 111, 1488–1493. [Google Scholar] [CrossRef]
- Herrscher, T.E.; Akre, H.; Øverland, B.; Sandvik, L.; Westheim, A.S. High prevalence of sleep apnea in heart failure outpatients: Even in patients with preserved systolic function. J. Card. Fail. 2011, 17, 420–425. [Google Scholar] [CrossRef] [PubMed]
- Sekizuka, H.; Osada, N.; Miyake, F. Sleep disordered breathing in heart failure patients with reduced versus preserved ejection fraction. Heart Lung Circ. 2013, 22, 104–109. [Google Scholar] [CrossRef] [PubMed]
- Javaheri, S.; Shukla, R.; Zeigler, H.; Wexler, L. Central sleep apnea, right ventricular dysfunction, and low diastolic blood pressure are predictors of mortality in systolic heart failure. J. Am. Coll. Cardiol. 2007, 49, 2028–2034. [Google Scholar] [CrossRef] [PubMed]
- Lanfranchi, P.A.; Braghiroli, A.; Bosimini, E.; Mazzuero, G.; Colombo, R.; Donner, C.F.; Giannuzzi, P. Prognostic value of nocturnal Cheyne-Stokes respiration in chronic heart failure. Circulation 1999, 99, 1435–1440. [Google Scholar] [CrossRef]
- Vasu, T.S.; Grewal, R.; Doghramji, K. Obstructive sleep apnea syndrome and perioperative complications: A systematic review of the literature. J. Clin. Sleep Med. 2012, 8, 199–207. [Google Scholar] [CrossRef]
- Kim, J.A.; Lee, J.J. Preoperative predictors of difficult intubation in patients with obstructive sleep apnea syndrome. Can. J. Anesth. 2006, 53, 393–397. [Google Scholar] [CrossRef] [PubMed]
- Siyam, M.A.; Benhamou, D. Difficult endotracheal intubation in patients with sleep apnea syndrome. Anesth. Analg. 2002, 95, 1098–1102. [Google Scholar] [CrossRef] [PubMed]
- Stierer, T.L.; Wright, C.; George, A.; Thompson, R.E.; Wu, C.L.; Collop, N. Risk assessment of obstructive sleep apnea in a population of patients undergoing ambulatory surgery. J. Clin. Sleep Med. 2010, 6, 467–472. [Google Scholar] [CrossRef]
- Kaw, R.; Pasupuleti, V.; Walker, E.; Ramaswamy, A.; Foldvary-Schafer, N. Postoperative complications in patients with obstructive sleep apnea. Chest 2012, 141, 436–441. [Google Scholar] [CrossRef]
- Finkel, K.J.; Searleman, A.C.; Tymkew, H.; Tanaka, C.Y.; Saager, L.; Safer-Zadeh, E.; Bottros, M.; Selvidge, J.A.; Jacobsohn, E.; Pulley, D.; et al. Prevalence of undiagnosed obstructive sleep apnea among adult surgical patients in an academic medical center. Sleep Med. 2009, 10, 753–758. [Google Scholar] [CrossRef]
- Gupta, R.M.; Parvizi, J.; Hanssen, A.D.; Gay, P.C. Postoperative complications in patients with obstructive sleep apnea syndrome undergoing hip or knee replacement: A case-control study. Mayo Clin. Proc. 2001, 76, 897–905. [Google Scholar] [CrossRef]
- Mutter, T.C.; Chateau, D.; Moffatt, M.; Ramsey, C.; Roos, L.L.; Kryger, M. A matched cohort study of postoperative outcomes in obstructive sleep apnea: Could preoperative diagnosis and treatment prevent complications? Anesthesiology 2014, 121, 707–718. [Google Scholar] [CrossRef]
- Chen, A.A.; Wood, M.J.; Krauser, D.G.; Baggish, A.L.; Tung, R.; Anwaruddin, S.; Picard, M.H.; Januzzi, J.L. NT-proBNP levels, echocardiographic findings, and outcomes in breathless patients: Results from the ProBNP Investigation of Dyspnoea in the Emergency Department (PRIDE) echocardiographic substudy. Eur. Heart J. 2006, 27, 839–845. [Google Scholar] [CrossRef]
- Drager, L.F.; McEvoy, R.D.; Barbe, F.; Lorenzi-Filho, G.; Redline, S. Sleep Apnea and Cardiovascular Disease: Lessons From Recent Trials and Need for Team Science. Circulation 2017, 136, 1840–1850. [Google Scholar] [CrossRef]
- Lévy, P.; Kohler, M.; McNicholas, W.T.; Barbé, F.; McEvoy, R.D.; Somers, V.K.; Lavie, L.; Pépin, J.L. Obstructive sleep apnoea syndrome. Nature reviews. Dis. Primers 2015, 1, 15015. [Google Scholar] [CrossRef] [PubMed]
- Sun, H.; Shi, J.; Li, M.; Chen, X. Impact of continuous positive airway pressure treatment on left ventricular ejection fraction in patients with obstructive sleep apnea: A meta-analysis of randomized controlled trials. PLoS ONE 2013, 8, e62298. [Google Scholar] [CrossRef] [PubMed]
- Ayas, N.T.; FitzGerald, J.M.; Fleetham, J.A.; White, D.P.; Schulzer, M.; Ryan, C.F.; Ghaeli, R.; Mercer, G.W.; Cooper, P.; Tan, M.C.Y.; et al. Cost-effectiveness of Continuous Positive Airway Pressure Therapy for Moderate to Severe Obstructive Sleep Apnea/Hypopnea. Arch. Intern. Med. 2006, 166, 977–984. [Google Scholar] [CrossRef]
- Mansfield, D.R.; Solin, P.; Roebuck, T.; Bergin, P.; Kaye, D.M.; Naughton, M.T. The effect of successful heart transplant treatment of heart failure on central sleep apnea. Chest 2003, 124, 1675–1681. [Google Scholar] [CrossRef]
- Solin, P.; Bergin, P.; Richardson, M.; Kaye, D.M.; Walters, E.H.; Naughton, M.T. Influence of pulmonary capillary wedge pressure on central apnea in heart failure. Circulation 1999, 99, 1574–1579. [Google Scholar] [CrossRef]
- Shepard, J.W., Jr.; Pevernagie, D.A.; Stanson, A.W.; Daniels, B.K.; Sheedy, P.F. Effects of changes in central venous pressure on upper airway size in patients with obstructive sleep apnea. Am. J. Respir. Crit. Care Med. 1996, 153, 250–254. [Google Scholar] [CrossRef]
- Bradley, T.D.; Floras, J.S. Sleep apnea and heart failure: Part I: Obstructive sleep apnea. Circulation 2003, 107, 1671–1678. [Google Scholar] [CrossRef] [PubMed]
- Collop, N.A.; Anderson, W.M.; Boehlecke, B.; Claman, D.; Goldberg, R.; Gottlieb, D.J.; Hudgel, D.; Sateia, M.; Schwab, R. Clinical guidelines for the use of unattended portable monitors in the diagnosis of obstructive sleep apnea in adult patients. Portable Monitoring Task Force of the American Academy of Sleep Medicine. J. Clin. Sleep Med. 2007, 3, 737–747. [Google Scholar] [PubMed]




| Reference Values | Patients (n = 67) | |
|---|---|---|
| Age, years | 77 ± 8 | |
| Male | 39 (58%) | |
| BMI (kg/m2) | 25.6 ± 4.7 | |
| Smoking history | ||
| 5 (7%) | |
| 21 (31%) | |
| 40 (60%) | |
| Comorbidities at admission | ||
| 44 (66%) | |
| 16 (24%) | |
| 12 (18%) | |
| 5 (7%) | |
| 37 (55%) | |
| 7 (10%) | |
| 42 (63%) | |
| 18 (27%) | |
| 27 (40%) | |
| 24 (36%) | |
| 48 (72%) | |
| 21 (31%) | |
| 34 (51%) | |
| 9 (13%) | |
| 39 (58%) | |
| 15 (22%) | |
| 22 (33%) | |
| 4 (6%) | |
| Medications | ||
| 36 (54%) | |
| 42 (63%) | |
| 20 (30%) | |
| 49 (73%) | |
| Laboratory tests | ||
| <220 | 3056 [1571;5395] |
| <5 | 6 [2;12] |
| 0.5–1.2 | 1.5 ± 0.63 |
| ≥60 | 48 ± 20.2 |
| Patients (n = 67) | |
|---|---|
| Preprocedural scores and measurements | |
| 7 ± 4.1 |
| 5 [2;7] |
| 8 ± 4.1 |
| Characteristics of mitral valve regurgitation | |
| Etiology of the MR | |
| 18 (27%) |
| 44 (66%) |
| 5 (7%) |
| MR grade | 4+ [3+;4+] |
| Echocardiography | |
| 39 ± 14 |
| 33 ± 13 |
| 53 ± 18 |
| 8.8 ± 1.98 |
| 47 ± 14 |
| Procedural and postprocedural data of MitraClip | |
| 2 [1;2] |
| −2.5 [−3.0;−1.5] |
| 13 [7;21] |
| 3.0 [3;5] |
| 0 (0%) |
| Patients (n = 67) | |
|---|---|
| AHI, /h | 18 [6;37] |
| Risk indicator (RI) | 21 [8;38] |
| Patients with SDB (AHI ≥ 15) | 41 (62%) |
| 4 (6%) |
| 37 (55%) |
| Proportion Cheyne–Stokes epochs, % of the whole CSA epochs | 2 [0;14] |
| Reference Values | AHI < 15/h (n = 26) | AHI ≥ 15/h (n = 41) | p-Value | |
|---|---|---|---|---|
| Age, years | 74 ± 8 | 79 ± 7 | 0.005 | |
| Male | 12 (46%) | 27 (66%) | 0.181 | |
| BMI, kg/m2 | 25 ± 5 | 26 ± 5 | 0.126 | |
| Laboratory tests | ||||
| <220 | 1520 [437;2955] | 4325 [2823;7368] | <0.001 |
| <5 | 6 [3;7] | 6 [2;15] | 0.661 |
| 0.5–1.2 | 1.4 ± 0.55 | 1.5 ± 0.68 | 0.639 |
| ≥60 | 50 ± 21 | 47 ± 20 | 0.629 |
| Scores and measurements | ||||
| 20 ± 11 | 23 ± 11 | 0.338 | |
| 6 ± 3.8 | 8 ± 4.3 | 0.254 | |
| 5 [2;8] | 5 [2;7] | 0.856 | |
| 8 ± 4.5 | 9 ± 4.0 | 0.745 | |
| Characteristics of MR | ||||
| Etiology of the MR | ||||
| 8 (31%) | 10 (24%) | 0.760 | |
| 17 (65%) | 27 (68%) | 0.760 | |
| 1 (4%) | 3 (8%) | 0.760 | |
| MR grade | 4+ [3+;4+] | 4+ [3+;4+] | 0.612 | |
| Mitraclip® procedure | ||||
| 1 (1,2) | 2 (1,2) | 0.061 | |
| −2.5 [−3.0;−1.5] | −2.5 [−2.6;−1.5] | 0.888 | |
| 13 [7;20] | 14 [9;21] | 0.437 | |
| 3 [3;5] | 3 [2;5] | 0.305 | |
| 0 (0%) | 0 (0%) | - | |
| Respiratory polygraphy (Apnea Link) | ||||
| 5 [3;8] | 22 [33;46] | <0.001 | |
| 8 [6;10] | 33 [23;47] | <0.001 |
| Before MitraClip | After MitraClip | |
|---|---|---|
| AHI, /h | 18 [7;33] | 11 [6;29] |
| ESS | 5 [2;8] | 5 [2;8] |
| PSQI | 7 [5;11] | 7 [4;11] |
| NT-proBNP, pg/mL | 2990 [1503;7236] | 3348 [1723;5099] |
Publisher’s Note: MDPI stays neutral with regard to jurisdictional claims in published maps and institutional affiliations. |
© 2021 by the authors. Licensee MDPI, Basel, Switzerland. This article is an open access article distributed under the terms and conditions of the Creative Commons Attribution (CC BY) license (https://creativecommons.org/licenses/by/4.0/).
Share and Cite
Daher, A.; Müller, T.; Marx, N.; Schröder, J.; Almalla, M.; Keszei, A.P.; Reith, S.; Dreher, M. Effects of Transcatheter Mitral Valve Repair Using MitraClip® Device on Sleep Disordered Breathing in Patients with Mitral Valve Regurgitation. J. Clin. Med. 2021, 10, 3332. https://doi.org/10.3390/jcm10153332
Daher A, Müller T, Marx N, Schröder J, Almalla M, Keszei AP, Reith S, Dreher M. Effects of Transcatheter Mitral Valve Repair Using MitraClip® Device on Sleep Disordered Breathing in Patients with Mitral Valve Regurgitation. Journal of Clinical Medicine. 2021; 10(15):3332. https://doi.org/10.3390/jcm10153332
Chicago/Turabian StyleDaher, Ayham, Tobias Müller, Nikolaus Marx, Jörg Schröder, Mohammad Almalla, András P. Keszei, Sebastian Reith, and Michael Dreher. 2021. "Effects of Transcatheter Mitral Valve Repair Using MitraClip® Device on Sleep Disordered Breathing in Patients with Mitral Valve Regurgitation" Journal of Clinical Medicine 10, no. 15: 3332. https://doi.org/10.3390/jcm10153332
APA StyleDaher, A., Müller, T., Marx, N., Schröder, J., Almalla, M., Keszei, A. P., Reith, S., & Dreher, M. (2021). Effects of Transcatheter Mitral Valve Repair Using MitraClip® Device on Sleep Disordered Breathing in Patients with Mitral Valve Regurgitation. Journal of Clinical Medicine, 10(15), 3332. https://doi.org/10.3390/jcm10153332

