Impact of BCR-ABL1 Transcript Type on Response, Treatment-Free Remission Rate and Survival in Chronic Myeloid Leukemia Patients Treated with Imatinib
Abstract
1. Introduction
2. Material and Methods
2.1. Patient Samples
2.2. Cytogenetic Studies
2.3. Determination of BCR-ABL1 Transcript Type
2.4. Real-Time Quantitative PCR
2.5. Statistical Analysis
3. Results
3.1. Patients
3.2. Cytogenetics According to the Transcript Type
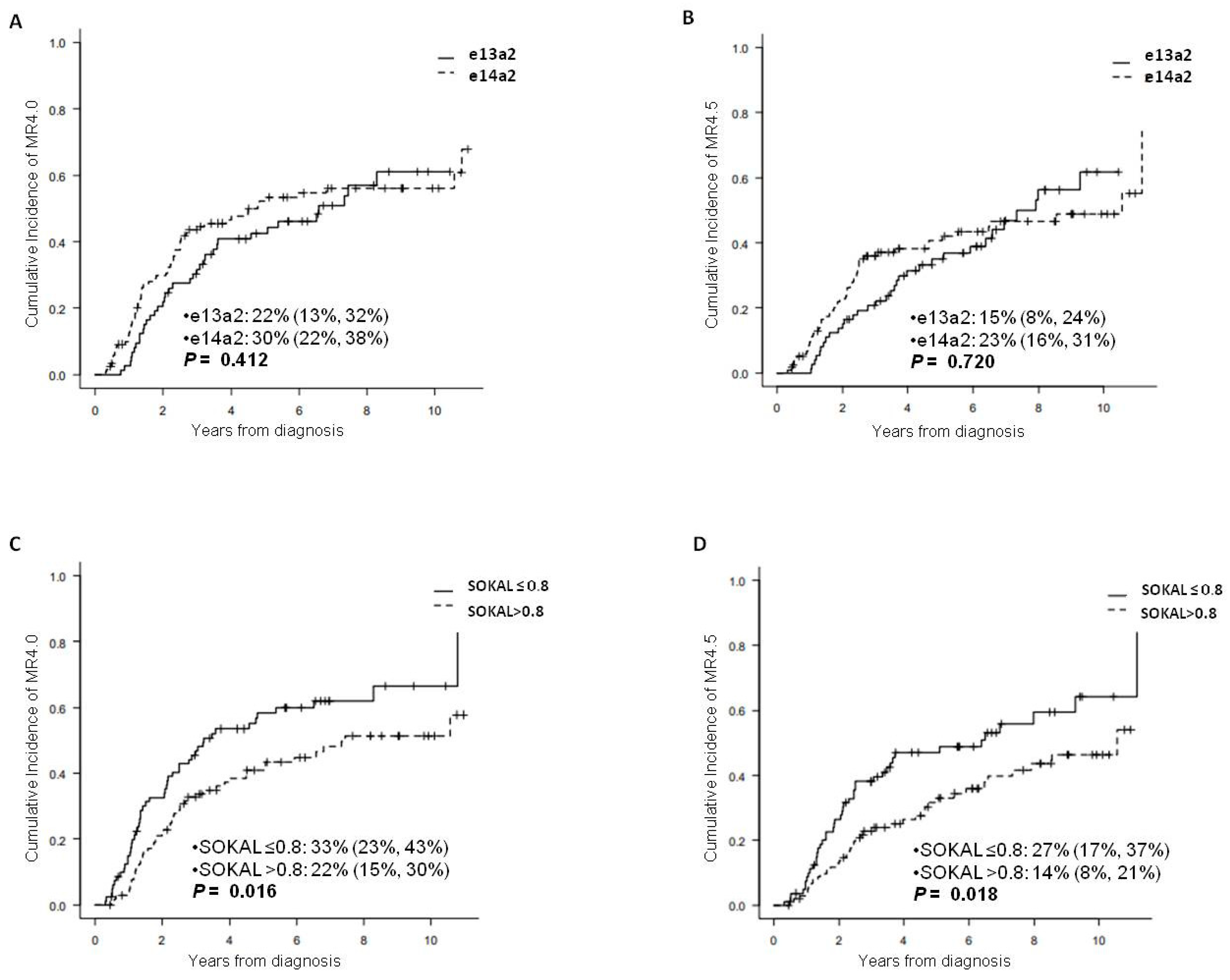
3.3. Molecular Response by Transcript Type
3.4. Effect of Transcript Type on Deep Molecular Response (DMR)
3.5. Prognostic Impact of Transcript Type on Overall Survival and CIP
3.6. Analysis of TKI Discontinuation and Treatment-Free Remission (TFR) According to the Transcript Type
4. Discussion and Conclusions
Supplementary Materials
Author Contributions
Funding
Institutional Review Board Statement
Informed Consent Statement
Data Availability Statement
Acknowledgments
Conflicts of Interest
References
- Deininger, M.W.; Goldman, J.M.; Melo, J.V. The molecular biology of chronic myeloid leukemia. Blood 2000, 96, 3343–3356. [Google Scholar] [CrossRef]
- Lucas, C.M.; Harris, R.J.; Giannoudis, A.; Davies, A.; Knight, K.; Watmough, S.J.; Wang, L.; Clark, R.E. Chronic myeloid leukemia patients with the e13a2 BCR-ABL fusion transcript have inferior responses to imatinib compared to patients with the e14a2 transcript. Haematologica 2009, 94, 1362–1367. [Google Scholar] [CrossRef]
- Baccarani, M.; Rosti, G.; Soverini, S. Chronic myeloid leukemia: The concepts of resistance and persistence and the relationship with BCR-ABL1 transcript type. Leukemia 2019, 33, 2358–2364. [Google Scholar] [CrossRef]
- Castagnetti, F.; Gugliotta, G.; Breccia, M.; Iurlo, A.; Levato, L.; Albano, F.; Vigneri, P.; Abruzzese, E.; Rossi, G.; Rupoli, S.; et al. The BCR-ABL1 transcript type influences response and outcome in Philadelphia chromosome-positive chronic myeloid leukemia patients treated frontline with imatinib. Am. J. Hematol. 2017, 92, 797–805. [Google Scholar] [CrossRef] [PubMed]
- An, X.; Tiwari, A.K.; Sun, Y.; Ding, P.R.; Ashby, C.R.; Chen, Z.S. BCR-ABL tyrosine kinase inhibitors in the treatment of Philadelphia chromosome positive chronic myeloid leukemia: A review. Leuk. Res. 2010, 34, 1255–1268. [Google Scholar] [CrossRef]
- Morris, S.W.; Daniel, L.; Ahmed, C.M.; Elias, A.; Lebowitz, P. Relationship of bcr breakpoint to chronic phase duration, survival, and blast crisis lineage in chronic myelogenous leukemia patients presenting in early chronic phase. Blood 1990, 75, 2035–2041. [Google Scholar] [CrossRef]
- Shepherd, P.; Suffolk, R.; Halsey, J.; Allan, N. Analysis of molecular breakpoint and m-RNA transcripts in a prospective randomized trial of interferon in chronic myeloid leukaemia: No correlation with clinical features, cytogenetic response, duration of chronic phase, or survival. Br. J. Haematol. 1995, 89, 546–554. [Google Scholar] [CrossRef]
- Polampalli, S.; Choughule, A.; Negi, N.; Shinde, S.; Baisane, C.; Amre, P.; Subramanian, P.G.; Gujral, S.; Prabhash, K.; Parikh, P. Analysis and comparison of clinicohematological parameters and molecular and cytogenetic response of two Bcr/Abl fusion transcripts. Genet. Mol. Res. 2008, 7, 1138–1149. [Google Scholar] [CrossRef]
- de Lemos, J.A.; de Oliveira, C.M.; Bentes, A.Q.; Beltrão, A.C.; Bentes, I.R.; Azevedo, T.C.; Maradei-Pereira, L.M. Differential molecular response of the transcripts B2A2 and B3A2 to imatinib mesylate in chronic myeloid leukemia. Genet. Mol. Res. 2005, 4, 803–811. [Google Scholar]
- Vega-Ruiz, A.; Kantarjian, H.; Shan, J.; Wierda, W.; Burger, J.; Verstovsek, S.; Garcia-Manero, G.; Cortes, J. Better molecular response to imatinib for patients (pts) with chronic myeloid lekemia (CML) in chronic phase carrying the b3a2 transcript compared to b2a2. Blood 2007, 110, 1939. [Google Scholar] [CrossRef]
- Jain, P.; Kantarjian, H.; Patel, K.P.; Gonzalez, G.N.; Luthra, R.; Shamanna, R.K.; Sasaki, K.; Jabbour, E.; Romo, C.G.; Kadia, T.M.; et al. Impact of BCR-ABL transcript type on outcome in patients with chronic-phase CML treated with tyrosine kinase inhibitors. Blood 2016, 127, 1269–1275. [Google Scholar] [CrossRef] [PubMed]
- Ghalesardi, O.K.; Khosravi, A.; Azizi, E.; Ahmadi, S.E.; Hajifathali, A.; Bonakchi, H.; Shahidi, M. The prognostic importance of BCR-ABL transcripts in Chronic Myeloid Leukemia: A systematic review and meta-analysis. Leuk. Res. 2021, 101, 106512. [Google Scholar] [CrossRef]
- Hernández-Boluda, J.C.; Pereira, A.; Pastor-Galán, I.; Alvarez-Larrán, A.; Savchuk, A.; Puerta, J.M.; Sánchez-Pina, J.M.; Collado, R.; Díaz-González, A.; Angona, A.; et al. Feasibility of Treatment Discontinuation in Chronic Myeloid Leukemia in Clinical Practice: Results From a Nationwide Series of 236 Patients. Blood Cancer J. 2018, 8, 91–98. [Google Scholar] [CrossRef] [PubMed]
- D’adda, M.; Farina, M.; Schieppati, F.; Borlenghi, E.; Bottelli, E.; Bottelli, C.; Cerqui, E.; Ferrari, S.; Gramegna, D.; Pagani, C.; et al. The e13a2 BCR-ABL transcript negatively affects sustained deep molecular response and the achievement of treatment-free remission in patients with chronic myeloid leukemia who receive tyrosine kinase inhibitors. Cancer 2019, 125, 1674–1682. [Google Scholar] [CrossRef]
- Breccia, M.; Molica, M.; Colafigli, G.; Massaro, F.; Quattrocchi, L.; Latagliata, R.; Mancini, M.; Diverio, D.; Guarini, A.; Alimena, G.; et al. Prognostic factors associated with a stable MR4.5 achievement in chronic myeloid leukemia patients treated with imatinib. Oncotarget 2018, 9, 7534–7540. [Google Scholar] [CrossRef]
- Baccarani, M.; Deininger, M.W.; Rosti, G.; Hochhaus, A.; Soverini, S.; Apperley, J.F.; Cervantes, F.; Clark, R.E.; Cortes, J.E.; Guilhot, F.; et al. European Leukemia Net recommendations for the management of chronic myeloid leukemia: 2013. Blood 2013, 122, 872–884. [Google Scholar] [CrossRef]
- Marcé, S.; Cortés, M.; Zamora, L.; Cabezón, M.; Grau, J.; Millá, F.; Feliu, E. A thirty-five nucleotides BCR-ABL1 insertion mutation of controversial significance confers resistance to imatinib in a patient with chronic myeloid leukemia (CML). Exp. Mol. Pathol. 2015, 99, 16–18. [Google Scholar] [CrossRef]
- Sokal, J.E.; Cox, E.B.; Baccarani, M.; Tura, S.; Gomez, G.A.; Robertson, J.E.; Tso, C.Y.; Braun, T.J.; Clarkson, B.D.; Cervantes, F.; et al. Prognostic discrimination in “good-risk” chronic granulocytic leukemia. Blood 1984, 63, 789–799. [Google Scholar] [CrossRef]
- Hasford, J.; Baccarani, M.; Hoffmann, V.; Guilhot, J.; Saussele, S.; Rosti, G.; Guilhot, F.; Porkka, K.; Ossenkoppele, G.; Lindoerfer, D.; et al. Predicting complete cytogenetic response and subsequent progression-free survival in 2060 patients with CML on imatinib treatment: The EUTOS score. Blood 2011, 118, 686–692. [Google Scholar] [CrossRef]
- Millot, F.; Guilhot, J.; Suttorp, M.; Güneş, A.M.; Sedlacek, P.; De Bont, E.; Li, C.K.; Kalwak, K.; Lausen, B.; Culic, S.; et al. Prognostic discrimination based on the EUTOS long-term survival score within the International Registry for Chronic Myeloid Leukemia in children and adolescents. Haematologica 2017, 102, 1704–1708. [Google Scholar] [CrossRef]
- Quintas-Cardama, A.; Kantarjian, H.; Jones, D.; Shan, J.; Borthakur, G.; Thomas, D.; Kornblau, S.; O’Brien, S.; Cortes, J. Delayed achievement of cytogenetic and molecular response is associated with increased risk of progression among patients with chronic myeloid leukemia in early chronic phase receiving high-dose or standard-dose imatinib therapy. Blood 2009, 113, 6315–6321. [Google Scholar] [CrossRef] [PubMed][Green Version]
- Meissner, R.V.; Dias, P.M.; Covas, D.T.; Job, F.; Leite, M.; Nardi, N.B. A polymorphism in exon b2 of the major breakpoint cluster region (M-bcr) identified in chronic myeloid leukaemia patients. Br. J. Haematol. 1998, 103, 224–226. [Google Scholar] [CrossRef] [PubMed]
- Baccarani, M.; Castagnetti, F.; Gugliotta, G.; Rosti, G.; Soverini, S.; Albeer, A.; Pfirrmann, M. The proportion of different BCR-ABL1 transcript types in chronic myeloid leukemia. An international overview. Leukemia 2019, 33, 1173–1183. [Google Scholar] [CrossRef]
- Perego, R.A.; Costantini, M.; Cornacchini, G.; Gargantini, L.; Bianchi, C.; Pungolino, E.; Rovida, E.; Morra, E. The possible influences of B2A2 and B3A2 BCR/ABL protein structure on thrombopoiesis in chronic myeloid leukaemia. Eur. J. Cancer 2000, 36, 1395–1401. [Google Scholar] [CrossRef]
- Hanfstein, B.; Lauseker, M.; Hehlmann, R.; Saussele, S.; Erben, P.; Dietz, C.; Fabarius, A.; Proetel, U.; Schnittger, S.; Haferlach, C.; et al. Distinct characteristics of e13a2 versus e14a2 BCR-ABL1 driven chronic myeloid leukemia under first-line therapy with imatinib. Haematologica 2014, 99, 1441–1447. [Google Scholar] [CrossRef]
- Prejzner, W. Relationship of the BCR gene breakpoint and the type of BCR/ABL transcript to clinical course, prognostic indexes and survival in patients with chronic myeloid leukemia. Med. Sci. Monit. 2002, 8, BR193–BR197. [Google Scholar]
- Jaubert, J.; Martiat, P.; Dowding, C.; Ifrah, N.; Goldman, J.M. The position of the M-BCR breakpoint does not predict the duration of chronic phase or survival in chronic myeloid leukemia. Br. J. Haematol. 1990, 74, 30–35. [Google Scholar] [CrossRef] [PubMed]
- Tefferi, A.; Bren, G.D.; Wagner, K.V.; Schaid, D.J.; Ash, R.C.; Thibodeau, S.N. The location of the Philadelphia chromosomal breakpoint site and prognosis in chronic granulocytic leukemia. Leukemia 1990, 4, 839–842. [Google Scholar]
- Mills, K.I.; Benn, P.; Birnie, G.D. Does the breakpoint within the major breakpoint cluster region (M-bcr) influence the duration of the chronic phase in chronic myeloid leukemia? An analytical comparison of current literature. Blood 1991, 78, 1155–1161. [Google Scholar] [CrossRef] [PubMed]
- Hanfstein, B.; Shlyakhto, V.; Lauseker, M.; Hehlmann, R.; Saussele, S.; Dietz, C.; Erben, P.; Fabarius, A.; Proetel, U.; Schnittger, S.; et al. Velocity of early BCR-ABL transcript elimination as an optimized predictor of outcome in chronic myeloid leukemia (CML) patients in chronic phase on treatment with imatinib. Leukemia 2014, 28, 1988–1992. [Google Scholar] [CrossRef]
- Lin, H.X.; Sjaarda, J.; Dyck, J.; Stringer, R.; Hillis, C.; Harvey, M.; Carter, R.; Ainsworth, P.; Leber, B.; Pare, G.; et al. Gender and BCR-ABL transcript type are correlated with molecular response to imatinib treatment in patients with chronic myeloid leukemia. Eur. J. Haematol. 2016, 96, 360–366. [Google Scholar] [CrossRef]
- Pagnano, K.B.B.; Miranda, E.C.; Delamain, M.T.; Duarte, G.O.; de Paula, E.V.; Lorand-Metze, I.; de Souza, C.A. Influence of BCR-ABL transcript type on outcome in patients with chronic-phase chronic myeloid leukemia treated with imatinib. Clin. Lymphoma Myeloma Leuk. 2017, 17, 728–733. [Google Scholar] [CrossRef]
- Kjaer, L.; Skov, V.; Andersen, M.T.; Aggerholm, A.; Clair, P.; Gniot, M.; Soeby, K.; Udby, L.; Dorff, M.H.; Hasselbalch, H.; et al. Variant-specific discrepancy when quantitating BCR-ABL1 e13a2 and e14a2 transcripts using the Europe Against Cancer qPCR assay. Eur. J. Haematol. 2019, 103, 26–34. [Google Scholar] [CrossRef] [PubMed]
- Bernardi, S.; Bonifacio, M.; Iurlo, A.; Zanaglio, C.; Tiribelli, M.; Binotto, G.; Abruzzese, E.; Russo, D. Variant-specific discrepancy when quantitating BCR-ABL1 e13a2 and e14a2 transcripts using the Europe Against Cancer qPCR assay. Is dPCR the key? Eur. J. Haematol. 2019, 103, 272–273. [Google Scholar] [CrossRef] [PubMed]
- Hughes, A.; Clarson, J.; Tang, C.; Vidovic, L.; White, D.L.; Hughes, T.P.; Yong, A.S.M. CML patients with deep molecular response to TKI have restored immune effectors and decreased PD-1 and immune suppressors. Blood 2017, 129, 1166–1176. [Google Scholar] [CrossRef] [PubMed]
- Pagani, I.S.; Dang, P.; Saunders, V.A.; Grose, R.; Shanmuganathan, N.; Kok, C.H.; Carne, L.; Rwodzi, Z.; Watts, S.; McLean, J.; et al. Lineage of measurable residual disease in patients with chronic myeloid leukemia in treatment-free remission. Leukemia 2020, 34, 1052–1061. [Google Scholar] [CrossRef]




| e13a2 (n = 76) | e14a2 (n = 126) | Total (n = 202) | p Value | ||
|---|---|---|---|---|---|
| Sex (male/total) (%) | 37/76 (49) | 67/127 (53) | 104/202 (52) | 0.536 | |
| Age, median (min, max) | 54 (15, 83) | 57 (12, 84) | 56 (12, 84) | 0.828 | |
| Splenomegaly, n (%) Median cm (min, max) | 23/75 (31) 4 (2, 20) | 39/120 (33) 5 (1, 30) | 62/195 (32) 5 (1, 30) | 0.789 0.542 | |
| Platelets (x10e9/L), median (min, max) | 314 (37, 2236) | 386 (21, 1872) | 364 (21, 2236) | 0.241 | |
| Blasts PB (%), median (min, max) | 0 (0, 11) | 0 (0, 11) | 0 (0, 11) | 0.918 | |
| Cytogenetics, n (%) | t(9;22) | 61/68 (90) | 99/116 (85) | 160/184 (87) | 0.397 |
| t(9;22) + others | 7/68 (10) | 17/116 (15) | 24/184 (13) | ||
| EUTOS, median (min, max) | 28 (0, 143) | 28 (0, 148) | 28 (0, 148) | 0.358 | |
| EUTOS > 87, n (%) | 3/75 (4) | 13/120 (11) | 16/195 (8) | 0.091 | |
| Sokal, n (%) | Low risk | 39/75 (52) | 46/120 (38) | 85/195 (44) | 0.173 |
| Int risk | 26/75 (35) | 54/120 (45) | 80/195 (41) | ||
| High risk | 10/75 (13) | 20/120 (17) | 30/195 (15) | ||
| ELTS, n (%) | Low risk | 43/75 (57) | 61/120 (51) | 104/195 (53) | 0.376 |
| Int/High risk | 32/75 (43) | 59/120 (49) | 91/195 (47) | ||
| e13a2 (n = 76) | e14a2 (n = 126) | Total (n = 202) | p Value | |
|---|---|---|---|---|
| Intolerance, n (%) | 12/76 (16) | 22/126 (18) | 34/202 (17) | 0.758 |
| Suboptimal Response, n (%) | 13/76 (17) | 19/126 (15) | 32/202 (16) | 0.702 |
| Failure, n (%) | 19/76 (25) | 28/126 (22) | 47/202 (23) | 0.651 |
Publisher’s Note: MDPI stays neutral with regard to jurisdictional claims in published maps and institutional affiliations. |
© 2021 by the authors. Licensee MDPI, Basel, Switzerland. This article is an open access article distributed under the terms and conditions of the Creative Commons Attribution (CC BY) license (https://creativecommons.org/licenses/by/4.0/).
Share and Cite
Marcé, S.; Xicoy, B.; García, O.; Cabezón, M.; Estrada, N.; Vélez, P.; Boqué, C.; Sagüés, M.; Angona, A.; Teruel-Montoya, R.; et al. Impact of BCR-ABL1 Transcript Type on Response, Treatment-Free Remission Rate and Survival in Chronic Myeloid Leukemia Patients Treated with Imatinib. J. Clin. Med. 2021, 10, 3146. https://doi.org/10.3390/jcm10143146
Marcé S, Xicoy B, García O, Cabezón M, Estrada N, Vélez P, Boqué C, Sagüés M, Angona A, Teruel-Montoya R, et al. Impact of BCR-ABL1 Transcript Type on Response, Treatment-Free Remission Rate and Survival in Chronic Myeloid Leukemia Patients Treated with Imatinib. Journal of Clinical Medicine. 2021; 10(14):3146. https://doi.org/10.3390/jcm10143146
Chicago/Turabian StyleMarcé, Sílvia, Blanca Xicoy, Olga García, Marta Cabezón, Natalia Estrada, Patricia Vélez, Concepción Boqué, Miguel Sagüés, Anna Angona, Raúl Teruel-Montoya, and et al. 2021. "Impact of BCR-ABL1 Transcript Type on Response, Treatment-Free Remission Rate and Survival in Chronic Myeloid Leukemia Patients Treated with Imatinib" Journal of Clinical Medicine 10, no. 14: 3146. https://doi.org/10.3390/jcm10143146
APA StyleMarcé, S., Xicoy, B., García, O., Cabezón, M., Estrada, N., Vélez, P., Boqué, C., Sagüés, M., Angona, A., Teruel-Montoya, R., Ferrer-Marín, F., Amat, P., Hernández-Boluda, J. C., Ibarra, M. M., Anguita, E., Cortés, M., Fernández-Ruiz, A., Fontanals, S., Zamora, L., & on behalf of the Grupo Español de Leucemia Mieloide Crónica (GELMC). (2021). Impact of BCR-ABL1 Transcript Type on Response, Treatment-Free Remission Rate and Survival in Chronic Myeloid Leukemia Patients Treated with Imatinib. Journal of Clinical Medicine, 10(14), 3146. https://doi.org/10.3390/jcm10143146

