Long-Term Follow-Up of Spinal Stenosis Inpatients Treated with Integrative Korean Medicine Treatment
Abstract
1. Introduction
2. Materials and Methods
2.1. Study Design
2.2. Participants
2.3. Intervention
2.3.1. Herbal Medicine
2.3.2. Acupuncture
2.3.3. Pharmacopuncture
2.3.4. Bee-Venom Pharmacopuncture
2.3.5. Chuna Manipulation
2.4. Outcome Measures
2.4.1. Primary Outcome
NRS Score for Back Pain
2.4.2. Secondary Outcomes
NRS Score for Leg Pain
ODI
Five-Level EuroQol 5-Dimension (EQ-5D-5L) Questionnaire
Walking Time
Survey at Long-Term Follow-up
2.5. Statistical Analysis
3. Results
3.1. Participants
3.2. Basic Characteristics
3.3. Intervention
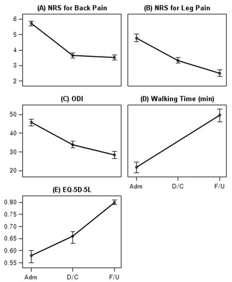
3.4. Outcome Changes
3.5. Survival Analysis
3.6. Survey at Long-Term Follow-Up
4. Discussion
5. Conclusions
Supplementary Materials
Author Contributions
Funding
Institutional Review Board Statement
Informed Consent Statement
Data Availability Statement
Conflicts of Interest
References
- Weinstein, J.N.; Tosteson, T.D.; Lurie, J.D.; Tosteson, A.N.; Blood, E.; Hanscom, B.; Herkowitz, H.; Cammisa, F.; Albert, T.; Boden, S.D.; et al. Surgical versus nonsurgical therapy for lumbar spinal stenosis. N. Engl. J. Med. 2008, 358, 794–810. [Google Scholar] [CrossRef]
- Kalichman, L.; Cole, R.; Kim, D.H.; Li, L.; Suri, P.; Guermazi, A.; Hunter, D.J. Spinal stenosis prevalence and association with symptoms: The Framingham Study. Spine J. 2009, 9, 545–550. [Google Scholar] [CrossRef] [PubMed]
- Deyo, R.A.; Mirza, S.K.; Martin, B.I. Error in trends, major medical complications, and charges associated with surgery for lumbar spinal stenosis in older adults. JAMA 2011, 306, 1088. [Google Scholar] [CrossRef] [PubMed]
- Weinstein, J.N.; Lurie, J.D.; Olson, P.; Bronner, K.K.; Fisher, E.S.; Morgan, M.T.S. United States trends and regional variations in lumbar spine surgery: 1992–2003. Spine 2006, 31, 2707. [Google Scholar] [CrossRef] [PubMed]
- Kim, C.H.; Chung, C.K.; Park, C.S.; Choi, B.; Hahn, S.; Kim, M.J.; Lee, K.S.; Park, B.J. Reoperation rate after surgery for lumbar spinal stenosis without spondylolisthesis: A nationwide cohort study. Spine J. 2013, 13, 1230–1237. [Google Scholar] [CrossRef] [PubMed]
- Deyo, R.A.; Martin, B.I.; Kreuter, W.; Jarvik, J.G.; Angier, H.; Mirza, S.K. Revision surgery following operations for lumbar stenosis. J. Bone Jt. Surg. Am. 2011, 93, 1979–1986. [Google Scholar] [CrossRef]
- Patel, J.; Osburn, I.; Wanaselja, A.; Nobles, R. Optimal treatment for lumbar spinal stenosis: An update. Curr. Opin. Anaesthesiol. 2017, 30, 598–603. [Google Scholar] [CrossRef]
- Zaina, F.; Tomkins-Lane, C.; Carragee, E.; Negrini, S. Surgical versus non-surgical treatment for lumbar spinal stenosis. Cochrane Database Syst. Rev. 2016. [Google Scholar] [CrossRef]
- Atlas, S.J.; Keller, R.B.; Wu, Y.A.; Deyo, R.A.; Singer, D.E. Long-term outcomes of surgical and nonsurgical management of lumbar spinal stenosis: 8 to 10 year results from the maine lumbar spine study. Spine 2005, 30, 936–943. [Google Scholar] [CrossRef]
- Delitto, A.; Piva, S.R.; Moore, C.G.; Welch, W.C. Surgery Versus Nonsurgical Treatment of Lumbar Spinal Stenosis. Ann. Intern. Med. 2015, 163, 397–398. [Google Scholar] [CrossRef]
- Bodeker, G. Lessons on integration from the developing world’s experience. BMJ 2001, 322, 164–167. [Google Scholar] [CrossRef] [PubMed]
- Jung, B.; Bae, S.; Kim, S. Use of Western Medicine and Traditional Korean Medicine for Joint Disorders: A Retrospective Comparative Analysis Based on Korean Nationwide Insurance Data. Evid. Based Complement. Altern. Med. 2017, 2017, 2038095. [Google Scholar] [CrossRef] [PubMed]
- Lee, Y.J.; Shin, J.-S.; Lee, J.; Kim, M.-r.; Ahn, Y.-j.; Shin, Y.-s.; Park, K.B.; Shin, B.-C.; Lee, M.S.; Kim, J.-H. Survey of integrative lumbar spinal stenosis treatment in Korean medicine doctors: Preliminary data for clinical practice guidelines. BMC Complementary Altern. Med. 2017, 17, 425. [Google Scholar] [CrossRef] [PubMed]
- Hadianfard, M.J.; Aminlari, A.; Daneshian, A.; Safarpour, A.R. Effect of Acupuncture on Pain and Quality of Life in Patients with Lumbar Spinal Stenosis: A Case Series Study. J. Acupunct. Meridian Stud. 2016, 9, 178–182. [Google Scholar] [CrossRef] [PubMed]
- Kim, K.; Jeong, Y.; Youn, Y.; Choi, J.; Kim, J.; Chung, W.; Kim, T.H. Nonoperative Korean Medicine Combination Therapy for Lumbar Spinal Stenosis: A Retrospective Case-Series Study. Evid. Based Complement. Altern. Med. 2015, 2015, 263898. [Google Scholar] [CrossRef]
- Oka, H.; Matsudaira, K.; Takano, Y.; Kasuya, D.; Niiya, M.; Tonosu, J.; Fukushima, M.; Oshima, Y.; Fujii, T.; Tanaka, S.; et al. A comparative study of three conservative treatments in patients with lumbar spinal stenosis: Lumbar spinal stenosis with acupuncture and physical therapy study (LAP study). BMC Complementary Altern. Med. 2018, 18, 19. [Google Scholar] [CrossRef]
- Qin, Z.; Ding, Y.; Xu, C.; Kwong, J.S.W.; Ji, Y.; Wu, A.; Wu, J.; Liu, Z. Acupuncture vs Noninsertive Sham Acupuncture in Ageing Patients with Degenerative Lumbar Spinal Stenosis: A Randomized Controlled Trial. Am. J. Med. 2019. [Google Scholar] [CrossRef]
- Kim, K.H.; Kim, Y.R.; Baik, S.K.; Noh, S.H.; Kim, D.H.; Lee, S.W.; Yang, G.Y. Acupuncture for patients with lumbar spinal stenosis: A randomised pilot trial. Acupunct. Med. J. Br. Med. Acupunct. Soc. 2016, 34, 267–274. [Google Scholar] [CrossRef]
- Kim, K.H.; Kim, T.H.; Lee, B.R.; Kim, J.K.; Son, D.W.; Lee, S.W.; Yang, G.Y. Acupuncture for lumbar spinal stenosis: A systematic review and meta-analysis. Complement. Ther. Med. 2013, 21, 535–556. [Google Scholar] [CrossRef][Green Version]
- Chung, H.-J.; Lee, H.-S.; Shin, J.-S.; Lee, S.-H.; Park, B.-M.; Youn, Y.-S.; Lee, S.K. Modulation of acute and chronic inflammatory processes by a traditional medicine preparation GCSB-5 both in vitro and in vivo animal models. J. Ethnopharmacol. 2010, 130, 450–459. [Google Scholar] [CrossRef]
- Kim, T.-H.; Yoon, S.-J.; Lee, W.-C.; Kim, J.-K.; Shin, J.; Lee, S.; Lee, S.-M. Protective effect of GCSB-5, an herbal preparation, against peripheral nerve injury in rats. J. Ethnopharmacol. 2011, 136, 297–304. [Google Scholar] [CrossRef] [PubMed]
- Kim, J.-K.; Park, S.-W.; Kang, J.-W.; Kim, Y.-J.; Lee, S.Y.; Shin, J.; Lee, S.; Lee, S.-M. Effect of GCSB-5, a herbal formulation, on monosodium iodoacetate-induced osteoarthritis in rats. Evid. Based Complement. Altern. Med. 2012, 2012, 730907. [Google Scholar] [CrossRef] [PubMed]
- Hawker, G.A.; Mian, S.; Kendzerska, T.; French, M. Measures of adult pain: Visual analog scale for pain (vas pain), numeric rating scale for pain (nrs pain), mcgill pain questionnaire (mpq), short-form mcgill pain questionnaire (sf-mpq), chronic pain grade scale (cpgs), short form-36 bodily pain scale (sf-36 bps), and measure of intermittent and constant osteoarthritis pain (icoap). Arthritis Care Res. 2011, 63, S240–S252. [Google Scholar]
- Solodiuk, J.C.; Scott-Sutherland, J.; Meyers, M.; Myette, B.; Shusterman, C.; Karian, V.E.; Harris, S.K.; Curley, M.A. Validation of the Individualized Numeric Rating Scale (INRS): A pain assessment tool for nonverbal children with intellectual disability. Pain 2010, 150, 231–236. [Google Scholar] [CrossRef] [PubMed]
- Fairbank, J.C.; Pynsent, P.B. The Oswestry disability index. Spine 2000, 25, 2940–2953. [Google Scholar] [CrossRef] [PubMed]
- Jeon, C.-H.; Kim, D.-J.; Kim, S.-K.; Kim, D.-J.; Lee, H.-M.; Park, H.-J. Validation in the cross-cultural adaptation of the Korean version of the Oswestry Disability Index. J. Korean Med. Sci. 2006, 21, 1092–1097. [Google Scholar] [CrossRef] [PubMed]
- Kim, S.-H.; Ahn, J.; Ock, M.; Shin, S.; Park, J.; Luo, N.; Jo, M.-W. The EQ-5D-5L valuation study in Korea. Qual. Life Res. 2016, 25, 1845–1852. [Google Scholar] [CrossRef]
- Conway, J.; Tomkins, C.C.; Haig, A.J. Walking assessment in people with lumbar spinal stenosis: Capacity, performance, and self-report measures. Spine J. 2011, 11, 816–823. [Google Scholar] [CrossRef]
- Ammendolia, C.; Stuber, K.; Tomkins-Lane, C.; Schneider, M.; Rampersaud, Y.R.; Furlan, A.D.; Kennedy, C.A. What interventions improve walking ability in neurogenic claudication with lumbar spinal stenosis? A systematic review. Eur. Spine J. 2014, 23, 1282–1301. [Google Scholar] [CrossRef]
- Jespersen, A.B. Correlation between the Oswestry Disability Index and objective measurements of walking capacity and performance in patients with lumbar spinal stenosis: A systematic literature review. Eur. Spine J. 2018, 27, 1604–1613. [Google Scholar] [CrossRef]
- Dworkin, R.H.; Turk, D.C.; Farrar, J.T.; Haythornthwaite, J.A.; Jensen, M.P.; Katz, N.P.; Kerns, R.D.; Stucki, G.; Allen, R.R.; Bellamy, N. Core outcome measures for chronic pain clinical trials: IMMPACT recommendations. Pain 2005, 113, 9–19. [Google Scholar] [CrossRef] [PubMed]
- Cleland, J.A.; Whitman, J.M.; Houser, J.L.; Wainner, R.S.; Childs, J.D. Psychometric properties of selected tests in patients with lumbar spinal stenosis. Spine J. 2012, 12, 921–931. [Google Scholar] [CrossRef] [PubMed]
- Copay, A.G.; Glassman, S.D.; Subach, B.R.; Berven, S.; Schuler, T.C.; Carreon, L.Y. Minimum clinically important difference in lumbar spine surgery patients: A choice of methods using the Oswestry Disability Index, Medical Outcomes Study questionnaire Short Form 36, and pain scales. Spine J. 2008, 8, 968–974. [Google Scholar] [CrossRef] [PubMed]
- Srinivas, S.; Paquet, J.; Bailey, C.; Nataraj, A.; Stratton, A.; Johnson, M.; Salo, P.; Christie, S.; Fisher, C.; Hall, H. Effect of spinal decompression on back pain in lumbar spinal stenosis: A Canadian Spine Outcomes Research Network (CSORN) study. Spine J. 2019, 19, 1001–1008. [Google Scholar] [CrossRef] [PubMed]
- Guo, C.; So, Y.; Johnston, G. Analyzing Interval-Censored Data with the ICLIFETEST Procedure; Paper SAS279-2014; SAS Institute: Cary, NC, USA, 2014. [Google Scholar]
- Wellner, J.A.; Zhan, Y. A hybrid algorithm for computation of the nonparametric maximum likelihood estimator from censored data. J. Am. Stat. Assoc. 1997, 92, 945–959. [Google Scholar] [CrossRef]
- Dworkin, R.H.; Turk, D.C.; Wyrwich, K.W.; Beaton, D.; Cleeland, C.S.; Farrar, J.T.; Haythornthwaite, J.A.; Jensen, M.P.; Kerns, R.D.; Ader, D.N. Interpreting the clinical importance of treatment outcomes in chronic pain clinical trials: IMMPACT recommendations. J. Pain 2008, 9, 105–121. [Google Scholar] [CrossRef] [PubMed]
- Yong-Ik, K.; Seung-Taek, K. 2018 National Health Insurance Statistical Yearbook; Health Insurance Review & Assessment Service, National Health Insurance Service: Gangwon-do, Korea, 2018; pp. 638–680. [Google Scholar]
- Mannion, A.F.; Junge, A.; Elfering, A.; Dvorak, J.; Porchet, F.; Grob, D. Great expectations: Really the novel predictor of outcome after spinal surgery? Spine 2009, 34, 1590–1599. [Google Scholar] [CrossRef]
- Lattig, F.; Fekete, T.F.; O’Riordan, D.; Kleinstück, F.S.; Jeszenszky, D.; Porchet, F.; Mutter, U.; Mannion, A.F. A comparison of patient and surgeon preoperative expectations of spinal surgery. Spine 2013, 38, 1040–1048. [Google Scholar] [CrossRef]
- Tuomainen, I.; Pesonen, J.; Rade, M.; Pakarinen, M.; Leinonen, V.; Kröger, H.; Airaksinen, O.; Aalto, T. Preoperative Predictors of Better Long-term Functional Ability and Decreased Pain Following LSS Surgery: A Prospective Observational Study with a 10-year Follow-Up Period. Spine 2020, 45, 776–783. [Google Scholar] [CrossRef]
- Altinel, F.; Yerli, H. Clinical and Radiological Analysis of Dural Sac Diameter in Lumbar Spinal Stenosis. EJMI 2020, 4, 149–154. [Google Scholar] [CrossRef]
- Iwahashi, H.; Yoshimura, N.; Hashizume, H.; Yamada, H.; Oka, H.; Matsudaira, K.; Shinto, K.; Ishimoto, Y.; Nagata, K.; Teraguchi, M. The association between the cross-sectional area of the dural sac and low back pain in a large population: The Wakayama Spine Study. PLoS ONE 2016, 11, e0160002. [Google Scholar] [CrossRef] [PubMed]
- Paulsen, R.T.; Bouknaitir, J.B.; Fruensgaard, S.; Carreon, L.; Andersen, M. Prognostic factors for satisfaction after decompression surgery for lumbar spinal stenosis. Neurosurgery 2018, 82, 645–651. [Google Scholar] [CrossRef] [PubMed]
- Nerland, U.S.; Jakola, A.S.; Giannadakis, C.; Solheim, O.; Weber, C.; Nygaard, Ø.P.; Solberg, T.K.; Gulati, S. The risk of getting worse: Predictors of deterioration after decompressive surgery for lumbar spinal stenosis: A multicenter observational study. World Neurosurg. 2015, 84, 1095–1102. [Google Scholar] [CrossRef] [PubMed]
- Ekelund, S. ROC curves—What are they and how are they used? Point Care 2012, 11, 16–21. [Google Scholar] [CrossRef]
- Ogink, P.T.; van Wulfften Palthe, O.; Teunis, T.; Bono, C.M.; Harris, M.B.; Schwab, J.H.; Cha, T.D. Practice variation among surgeons treating lumbar spinal stenosis in a single institution. Spine 2019, 44, 510–516. [Google Scholar] [CrossRef]



| Values | |
|---|---|
| Age (years) | 62.21 ± 12.54 |
| Sex | |
| Male | 127 (33.6) |
| Female | 251 (66.4) |
| Smoking | |
| No | 318 (84.1) |
| Yes | 57 (15.1) |
| Drinking | |
| No | 287 (75.9) |
| Yes | 84 (22.2) |
| Body mass index (kg/m2) | 24.96 ± 7.96 |
| Pain radiating to the leg | |
| None | 69 (18.3) |
| Unilateral (right) | 88 (23.3) |
| Unilateral (left) | 101 (26.7) |
| Bilateral | 120 (31.7) |
| Walking time (min) | 19.14 ± 19.05 |
| Neurogenic claudication | |
| Yes | 65 (17.2) |
| No | 184 (48.7) |
| Muscle weakness | |
| Big toe extension | |
| Normal | 350 (92.6) |
| Weakness | 28 (7.4) |
| Dorsiflexion | |
| Normal | 352 (93.1) |
| Weakness | 25 (6.6) |
| Plantar flexion | |
| Normal | 363 (96.0) |
| Weakness | 15 (4.0) |
| Previous spine surgery | |
| Yes | 50 (13.2) |
| No | 311 (82.3) |
| NRS score for back pain | 5.73 ± 1.45 |
| NRS score for leg pain | 5.85 ± 1.30 |
| ODI | 45.72 ± 17.86 |
| DSCA (mm2) | 58.26 ± 26.37 |
| Accompanying HIVD | 115.0 (30.4) |
| Admission | Discharge | Long-Term Follow-Up | |
|---|---|---|---|
| NRS score for back pain | |||
| Outcome | 5.73 (5.58, 5.87) | 3.66 (3.51, 3.82) | 3.53 (3.35, 3.70) |
| Change from admission | −2.06 (−2.23, −1.9) | −2.20 (−2.41, −1.99) | |
| p-value | <0.001 | <0.001 | |
| NRS score for leg pain | |||
| Outcome | 4.78 (4.53, 5.04) | 3.33 (3.14, 3.51) | 2.51 (2.30, 2.72) |
| Change from admission | −1.46 (−1.69, −1.22) | −2.28 (−2.59, −1.96) | |
| p-value | <0.001 | <0.001 | |
| ODI | |||
| Outcome | 45.72 (43.91, 47.52) | 33.94 (32.15, 35.73) | 28.41 (26.46, 30.36) |
| Change from admission | −11.78 (−13.49, −10.07) | −17.31 (−19.6, −15.02) | |
| p-value | <0.001 | <0.001 | |
| Walking time (min) | |||
| Outcome | 20.72 (17.63, 23.81) | 49.55 (46.12, 52.98) | |
| Change from admission | 28.83 (24.65, 33.01) | ||
| p-value | <0.001 | ||
| EQ-5D-5L | |||
| Outcome | 0.58 (0.55, 0.60) | 0.66 (0.63, 0.68) | 0.80 (0.79, 0.81) |
| Change from admission | 0.08 (0.05, 0.11) | 0.22 (0.19, 0.25) | |
| p-value | <0.001 | <0.001 |
| Outcome | Time (Days, 95% CI) | N (%) of Improvement | |
|---|---|---|---|
| Discharge | Long-Term Follow-Up | ||
| NRS score for back pain | 9 (8, 10) | 216 (57.1) | 232 (61.4) |
| NRS score for leg pain | 12 (10, 12) | 186 (49.2) | 230 (60.8) |
| ODI | 8 (6, 8) | 176 (46.6) | 215 (56.9) |
| Values | |
|---|---|
| Period from discharge to long-term follow-up (days) | |
| Average | 1199.21 ± 392.75 |
| Median | 1193 (839, 1488) |
| Recommendation for surgery prior to admission | 210 (55.6) |
| Experience of surgery after discharge | |
| No | 339 (89.9) |
| Yes | 38 (10.1) |
| Current treatment | |
| None | 198 (52.4) |
| KM | 65 (17.2) |
| WM | 73 (19.3) |
| KM + WM | 42 (11.1) |
| Preference | |
| Preferred treatment | |
| KM | 264 (69.8) |
| WM | 19 (5.0) |
| Similar | 95 (25.1) |
| Degree of preference | |
| KM | 7.78 ± 1.72 |
| WM | 4.90 ± 2.45 |
| PGIC | |
| Very much improved | 92 (24.3) |
| Much improved | 161 (42.6) |
| A little improved | 107 (28.3) |
| No change | 12 (3.2) |
| A little worse | 6 (1.6) |
| Much worse | 0 (0.0) |
| Very much worse | 0 (0.0) |
| Level of satisfaction with the KM treatment received during hospital stay | |
| Very satisfied | 155 (41.0) |
| Satisfied | 183 (48.4) |
| Neutral | 37 (9.8) |
| Dissatisfied | 3 (0.8) |
| Very dissatisfied | 0 (0.0) |
| Degree of helpfulness of inpatient treatment in returning to activities of daily living and work | |
| Very helpful | 137 (36.3) |
| Helpful | 186 (49.3) |
| Average | 49 (13.0) |
| Not helpful | 5 (1.3) |
| Not helpful at all | 0 (0.0) |
Publisher’s Note: MDPI stays neutral with regard to jurisdictional claims in published maps and institutional affiliations. |
© 2020 by the authors. Licensee MDPI, Basel, Switzerland. This article is an open access article distributed under the terms and conditions of the Creative Commons Attribution (CC BY) license (http://creativecommons.org/licenses/by/4.0/).
Share and Cite
Kim, D.; Shin, J.-S.; Moon, Y.-J.; Ryu, G.; Shin, W.; Lee, J.; Lim, S.; Jeon, H.A.; Seo, J.-Y.; Wang, W.H.; et al. Long-Term Follow-Up of Spinal Stenosis Inpatients Treated with Integrative Korean Medicine Treatment. J. Clin. Med. 2021, 10, 74. https://doi.org/10.3390/jcm10010074
Kim D, Shin J-S, Moon Y-J, Ryu G, Shin W, Lee J, Lim S, Jeon HA, Seo J-Y, Wang WH, et al. Long-Term Follow-Up of Spinal Stenosis Inpatients Treated with Integrative Korean Medicine Treatment. Journal of Clinical Medicine. 2021; 10(1):74. https://doi.org/10.3390/jcm10010074
Chicago/Turabian StyleKim, Doori, Joon-Shik Shin, Young-Joo Moon, Gwanghyun Ryu, Wonbin Shin, Jiyun Lee, Suyeon Lim, Hyun A Jeon, Ji-Yeon Seo, Wu Hao Wang, and et al. 2021. "Long-Term Follow-Up of Spinal Stenosis Inpatients Treated with Integrative Korean Medicine Treatment" Journal of Clinical Medicine 10, no. 1: 74. https://doi.org/10.3390/jcm10010074
APA StyleKim, D., Shin, J.-S., Moon, Y.-J., Ryu, G., Shin, W., Lee, J., Lim, S., Jeon, H. A., Seo, J.-Y., Wang, W. H., Lee, J.-H., Park, K. S., Lee, Y. J., & Ha, I.-H. (2021). Long-Term Follow-Up of Spinal Stenosis Inpatients Treated with Integrative Korean Medicine Treatment. Journal of Clinical Medicine, 10(1), 74. https://doi.org/10.3390/jcm10010074

