Next Article in Journal
Alkali Attack on Anion Exchange Membranes with PVC Backing and Binder: II Prediction of Electrical and Mechanical Performances from Simple Optical Analyses
Next Article in Special Issue
Modelling Mixed-Gas Sorption in Glassy Polymers for CO2 Removal: A Sensitivity Analysis of the Dual Mode Sorption Model
Previous Article in Journal
Antifouling Properties of PES Membranes by Blending with ZnO Nanoparticles and NMP–Acetone Mixture as Solvent
Previous Article in Special Issue
Study of the Effect of Inorganic Particles on the Gas Transport Properties of Glassy Polyimides for Selective CO2 and H2O Separation
 
 
Font Type:
Arial Georgia Verdana
Font Size:
Aa Aa Aa
Line Spacing:
Column Width:
Background:
Article

Temperature and Pressure Dependence of Gas Permeation in a Microporous Tröger’s Base Polymer

by
Elsa Lasseuguette
1,
Richard Malpass-Evans
2,
Mariolino Carta
3,
Neil B. McKeown
2 and
Maria-Chiara Ferrari
1,*
1
School of Engineering, University of Edinburgh, Robert Stevenson Road, Edinburgh EH9 3FB, UK
2
EastChem, School of Chemistry, University of Edinburgh, David Brewster Road, Edinburgh EH9 3FJ, UK
3
Department of Chemistry, College of Science, Grove Building, Singleton Park, Swansea University, Swansea SA2 8PP, UK
*
Author to whom correspondence should be addressed.
Membranes 2018, 8(4), 132; https://doi.org/10.3390/membranes8040132
Submission received: 31 October 2018 / Revised: 30 November 2018 / Accepted: 5 December 2018 / Published: 14 December 2018
(This article belongs to the Special Issue Gas Transport in Glassy Polymers)

Abstract

Gas transport properties of PIM-EA(H2)-TB, a microporous Tröger’s base polymer, were systematically studied over a range of pressure and temperature. Permeability coefficients of pure CO2, N2, CH4 and H2 were determined for upstream pressures up to 20 bar and temperatures up to 200 °C. PIM-EA(H2)-TB exhibited high permeability coefficients in absence of plasticization phenomena. The permeability coefficient of N2, CH4 and H2 increased with increasing temperature while CO2 permeability decreased with increasing temperature as expected for a glassy polymer. The diffusion and solubility coefficients were also analysed individually and compared with other polymers of intrinsic microporosity. From these results, the activation energies of permeation, diffusion and sorption enthalpies were calculated using an Arrhenius equation.

Graphical Abstract

1. Introduction

Membranes are one of the most promising technologies to compete with conventional separation processes for gas separations including post- and pre-combustion carbon capture. Studies on the use of polymeric membranes in an Integrated Gasification Combined Cycle (IGCC) power plant [1,2,3] show their viability and their competitiveness with the currently more developed solvent-based technology. Process simulations [1] have shown an advantage for hydrogen selective materials for this application and new membrane materials are currently under development [3]. The performance of the materials in the relatively harsh conditions of the separation (50 bars and 200 °C) needs to be investigated before production can be scaled up [4].
The increase of gas pressure can have a negative impact on membrane performance, due to plasticization effects. For glassy polymers, many gases, such as O2, N2 and H2, can permeate through the polymer without modifying the polymer’s properties due to their relatively low solubility in the polymer. Therefore, with the pressure’s increase, the gas permeability slightly decreases, as expected from the dual sorption—dual mobility model [5]. On the contrary, highly sorbing gases such as CO2 can induce a swelling of the polymer matrix, that is, plasticization, leading to a large increase of the gas permeability with increasing pressure. In addition, the influence of temperature on gas separation performance has been investigated for a large number of polymers. Depending on the polymer, the membrane performance can be improved by an increase of temperature as shown by the Robeson plot in Figure 1. Most polymers, including ultrahigh-free volume polymers such as PTMSP and Teflon AF, present higher hydrogen selectivity over CO2 at high temperature. For example, Merkel et al. [6] reported H2S, CO2, H2, N2 and CO permeation as a function of temperature up to 240 °C. At room temperature, PTMSP appears to be more permeable to the more condensable gases, such as CO2 and H2S than to H2. However, it becomes hydrogen selective at elevated temperatures.
For the first Polymer of Intrinsic Microporosity, PIM-1, Budd et al. [8] showed that the CO2 permeability coefficient decreased gradually as the temperature increased, whereas the H2 permeability coefficient increased. Thus, PIM-1 also becomes slightly more H2 selective at higher temperature. Recently, Fuoco et al. [12] studied the temperature dependence of gas permeation in triptycene-based ultrapermeable PIMs, such as PIM-TMN-Trip. With increasing temperature, the permeability coefficient increased for the bulkier penetrants (N2 and CH4), while for the faster penetrants (CO2 and O2) it decreased and for the very small penetrants (H2 and He) it was constant. Therefore, PIM-TMN-Trip became more selective to H2 at high temperature; these ultrapermeable polymers behave as microporous solids, in which the pore dimensions are rather large in comparison with the diffusing gas molecules. Such studies of the temperature and pressure dependence of transport properties are essential for understanding the behaviour of membranes over a wide range of conditions, in order to assist any consideration of industrial use.
Recently, a new type of PIM has been developed using a polymerization reaction based on the formation of the bridged bicyclic diamine called Tröger’s base (TB: 6H,12H-5,11-methanodibenzo[b,f][1,5]diazocine), such as PIM-EA(Me2)-TB [13] or PIM-EA(H2)-TB [14,15] (Figure 2). PIM-EA(Me2)-TB demonstrates at ambient temperature very fast gas permeability and good selectivity, surpassing the Robeson’s upper bound in the case of O2/N2, H2/N2 and H2/CH4 gas pairs [16,17]. This is due to the large diffusivity selectivity that favours transport of gas molecules of smaller kinetic diameters (H2, CO2) over that of larger molecules (N2, CH4).
PIM-EA(H2)-TB differs from PIM-EA(Me2)-TB only by the absence of methyl groups at the bridgehead (9,10) position of the ethanoanthracene (EA) unit, which modifies its chain packing in the solid state. PIM-EA(H2)-TB presents an inter-chain distance, d-space, of 7.7 Å and 32% free volume, whereas PIM-EA(Me)-TB has values of 11 Å and 30%, respectively [18]. With these differences, a higher separation performance for PIM-EA(H2)-TB is expected. However, few papers have been published on this polymer. Bernardo et al. [15] developed thin film composite based on PIM-EA(H2)-TB and they studied the impact of the residual casting solvent on the separation performance at 25 °C and 1 bar. In addition, Benito et al. [19] studied composite membranes based on a ultrathin layer of PIM-EA(H2)-TB for CO2/N2 separation at 35 °C and 3 bar.
Here we report a novel study on the permeation properties of PIM-EA(H2)-TB over a large temperature and pressure range for a series of gases (CO2, H2, N2 and CH4).

2. Experimental Section

The detailed synthetic procedure for making PIM-EA(H2)-TB and its structural characterization are reported elsewhere [15]. Robust flat films of thickness between 130 and 200 μm were cast from chloroform with their thickness determined using a digital micrometre (Mitutoyo, Kawasaki, Japan). The permeation properties were measured in a constant volume-variable pressure apparatus (Figure 3) using pure CO2, N2, CH4 and H2 (Table 1) with pressures up to 20 bar (10 bar for H2) and temperatures up to 200 °C.
For each measurement campaign (i.e., one gas and either variable T or variable P), the sample was carefully treated with methanol prior to the measurement in order to start from the same ageing history. The methanol treatment consists of soaking the sample in methanol for 2 h, drying it under ambient conditions for 20 min and under vacuum at 30 °C overnight. At the end of the campaign, the gas permeability at 30 °C and 1 bar was re-measured in order to check the absence of physical/chemical ageing. Moreover, each campaign’s duration was short, carried out over a maximum of 3 days in order to limit physical ageing. By using this procedure, the physical ageing was minimised and had no apparent impact on the results for permeability and selectivity.
The permeability was obtained from the evolution of pressure of the downstream side (MKS Baratron 615A (Andover, MA, USA)). The permeability coefficient, P, was determined from the slope of the pressure vs. time curve under steady state condition. Before each experiment, the apparatus was vacuum-degassed and a leak rate determined from the pressure increase in the downstream part. Three different downstream volumes could be selected accordingly to the permeation rate of the gas.
The time lag, θ, was used to determine the diffusivity coefficient D (Equation (1)).
D = l 2 6 θ
The solubility coefficient, S, for the gas in the polymer was evaluated indirectly, assuming the validity of the diffusion-solution mechanism (Equation (2)):
S = P D
The ideal selectivity between two gas species i and j is the ratio of the two single gas permeabilities (Equation (3)).
α i j = P ( i ) P ( j )

3. Results

3.1. Permeability

Permeation measurements on methanol treated films of PIM-EA(H2)-TB were carried out using pure N2, H2, CO2 and CH4 at several pressures (1 to 20 bar) and temperatures (30 °C to 200 °C).
Table 2 reports the results from the time lag experiment at 30 °C and 1 bar.
PIM-EA(H2)-TB presents high CO2 and H2 permeability coefficients and good ideal selectivity over N2 and CH4. The order of gas permeabilities for PIM-EA(H2)-TB is CO2 > H2 > CH4 > N2, the same as that for PIM-1. CO2, which is the most condensable gas, is the most permeable due to the predominant role of solubility in PIMs [8]. In comparison with PIM-EA(Me2)-TB, the permeability coefficients obtained for PIM-EA(H2)-TB are lower. This can be explained by the methyl groups increasing the distance between polymer chains of PIM-EA(Me2)-TB, relative to PIM-EA(H2)-TB, which ensures higher free volume and, hence, higher permeability [16] but reduces selectivity.
Figure 4 shows the Robeson plots for five gas pairs, H2/CH4, H2/N2, H2/CO2, CO2/CH4 and CO2/N2.
As shown on Figure 4, the data for PIM-EA(H2)-TB are located above the 2008 upper bound for all five gas pairs. For H2/CH4 and H2/N2, they are clearly higher than for PIM-1 and PIM-EA(Me)-TB. This demonstrates the potential of PIM-EA(H2)-TB for industrial applications, such as carbon capture (CO2/N2 mixture), natural gas sweetening and biogas treatment (CO2/CH4 mixture) or hydrogen recovery (H2/CH4 mixture).

3.2. Diffusivity and Solubility Coefficients

The gas transport in PIM-EA(H2)-TB was analysed using the solution-diffusion model (Equation (2)), to provide the diffusivity and sorption coefficients (Table 3).
The diffusivity and solubility values of PIM-EA(H2)-TB are similar to those of polymers from the same family (PIM-EA(Me)-TB) [16] with a very high value of CO2 solubility coefficient. This affinity towards CO2 may be enhanced by the presence of the amine groups in the TB moiety.
Diffusivity and solubility data are plotted in Figure 5 as correlations of log D versus d2 and log S versus Tc, respectively, where d is the kinetic diameter and Tc is the critical temperature of the gases.
Figure 5a shows that the diffusivity coefficient of PIM-EA(H2)-TB decreases with increasing molecular size of the permeate. Larger molecules interact with more segments of the polymer chains than do smaller molecules and thus the mobility selectivity always favours the passage of smaller molecules over larger ones [20]. Moreover, this decrease is large due to the glassy state of the polymer where the highly rigid polymer chains of PIM-EA(H2)-TB are essentially fixed and do not move readily to accommodate the transport of larger molecules. It is noteworthy that the value of diffusivity for CO2 is slightly lower than for N2. Generally, in polymers, the smaller molecule, that is, CO2, is expected to diffuse faster than N2, which is a larger molecule. This unusual inversion is found for polymer with high CO2 affinity [13,17,22] and is caused by the specific interaction between CO2 and amine groups slowing diffusion [23].
The sorption coefficient of the gas within PIM-EA(H2)-TB increases with its critical temperature (i.e., its condensability) as is usually observed for polymers (Figure 5b).

3.3. Effect of Pressure

The permeability coefficients of each gas were measured as a function of upstream feed pressure. The measurements were carried out with H2, CO2, CH4 and N2 at 30 °C and pressures up to 20 bar (10 bar for H2) (Figure 6).
The permeability of nitrogen is constant with increasing pressure while CO2 and CH4 permeabilities decrease with increasing pressure, which is classical behaviour for glassy polymers [24] and is due to the filling of Langmuir sorption sites. At higher pressures, the contribution of the Langmuir region to the overall permeability is weaker and gas permeability approaches a constant value associated with simple dissolution (Henry’s law) transport. In contrast to the majority of glassy polymers, PIM-EA(H2)-TB does not exhibit the typical increase in CO2 permeability associated with “plasticization” in the high pressure range for CO2. A similar behaviour has been also noted for other polymers of intrinsic microporosity, such as PIM-1 or PIM-EA(Me)-TB [17,24,25]. However, the decrease in H2 permeability is higher than expected [25].
Despite the decrease of permeability coefficients, the ideal selectivities of PIM-EA(H2)-TB stay constant with the increase of the feed pressure (Table 4). However, it should be noted that ideal selectivity is usually not representative of behaviour at high pressure in mixed gas systems due to the interactions between different gases.

3.4. Effect of Temperature

The temperature effect on gas permeability through PIM-EA(H2)-TB was studied over a temperature range of 30–200 °C for pure gas at different pressures. The values of the permeability coefficients are summarised in the Table S1. Figure 7 shows the permeability coefficient of N2, CO2, H2 and CH4 as a function of the inverse absolute temperature at 1 bar.
The permeability coefficient of N2, CH4 and H2 increases with increasing temperature while for CO2 it decreases with increasing temperature. In order to explore the temperature dependence of the gas permeability, the data were correlated with the Arrhenius equation.
P = P 0 e x p ( E p R T )
where P0 is the pre-exponential factor ((cm3(STP)·cm)/(cm2·s·cmHg)), Ep is the activation energy of permeation (J/mol), T is the temperature (K) and R is the ideal gas constant (8.314 kJ/(mol·K)). Ep for the transport of each gas through PIM-EA(H2)-TB were determined from the slopes (−EP/R) of the best curve-fits through the permeation data in Figure 7. The Ep values at 1 bar are summarized in Table 5.
PIM-EA(H2)-TB presents high values for the activation energy of permeation for N2 and CH4, which means that the permeability coefficients depend strongly on the temperature. On the contrary, for the smaller gases, such as H2, EP is close to zero as the dependence on temperature is much weaker. For CO2, the activation energy of permeation is negative. This behaviour is routinely observed for microporous solids, such as PIM-1, PIM-TMN-Trip and PTMSP, in which the pore dimensions are relatively large in comparison with the diffusing gas molecules [11].
Since the gas transport in a microporous membrane is based on a solution-diffusion mechanism, the impact of temperature on the permeation can be better understood when looking at diffusion and solubility individually. The activation energy of permeation can be represented as the sum of the activation energies of diffusion, ED and sorption ΔHs. Table 6 lists the activation energies of gas permeation and diffusion as well as the enthalpy of sorption of all the gases in PIM-EA(H2)-TB. For all the gases at 1 bar, the activation energy of diffusion, ED, is positive, which means that the diffusivity increases with the temperature, which is expected as the main effect of increasing the temperature is an increase of molecular vibrations which facilitates diffusion. In contrary, the sorption enthalpy, ΔHs, is negative as expected since the sorption is an exothermic process.
For CH4, N2 and H2, the absolute value of ED is greater than ΔHs and so the energy of activation Ep is positive, which means that diffusion rather than sorption dominates the response of permeation to temperature. For CO2, the absolute value of ED is smaller than ΔHs, which induces a negative activation energy EP. The CO2 transport is mainly influenced by the gas solubility, which is characteristic of microporous polymer, with similar results being found for PIM-1 and PTMSP [5,8,11].
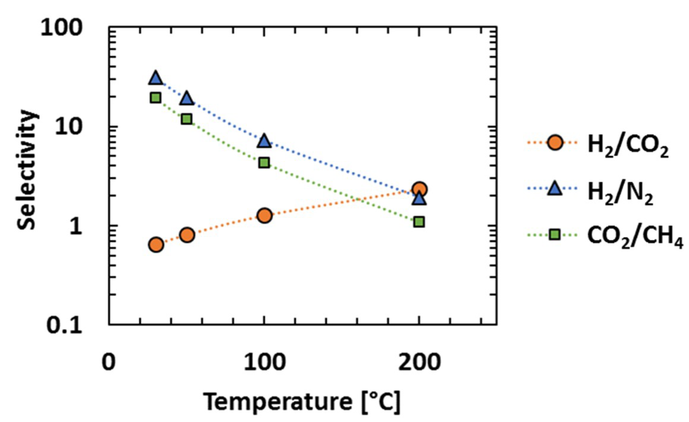
Based upon these effects, the increase of temperature improves H2/CO2 selectivity modestly moving the data for PIM-EA(H2)-TB close to the 200 °C upper bound (Figure 8, however, even its enhanced high temperature selectivity (~2) is insufficient for viable pre-combustion application. In contrast, the selectivity for CO2 or H2 over N2 or CH4 decreases dramatically at higher temperatures suggesting that optimal performance is obtained at lower temperatures (Figure 9).

4. Conclusions

Transport properties of permeability, diffusivity and solubility of PIM-EA(H2)-TB have been determined for H2, N2, CH4 and CO2 over a range of pressures and temperatures. This PIM presents high CO2 and H2 permeability coefficients, which allows it to have good ideal selectivity over N2. PIM-EA(H2)-TB exhibits the classical behaviour of a glassy polymer, with the decrease of diffusivity coefficient with increasing penetrant molecular size and the increase of sorption coefficient gas with increasing condensability of the permeant. However, no increase in CO2 permeability due to plasticization is noted over the range of pressure tested. The permeability coefficient of N2, CH4 and H2 increase with increasing temperature while for CO2 the permeability decreases with increasing temperature, which is classically observed for microporous materials. Therefore, the separation performance of PIM-EA(H2)-TB for H2/CO2 is reversed at high temperature and maintained also at high pressure. This suggests that, after further development to enhance absolute selectivity of H2 over CO2, PIMs could become good candidates for membrane materials for use in pre-combustion CO2 capture. For other gas separations, better performance is obtained at lower temperatures.

Supplementary Materials

The following are available online at https://www.mdpi.com/2077-0375/8/4/132/s1, Table S1: Gas permeability coefficients of N2, CO2, H2 and CH4 for temperatures between 30 °C and 200 °C and pressure between 1 bar and 20 bar.

Author Contributions

Funding acquisition, N.B.M. and M.-C.F.; Investigation, E.L., R.M.-E. and M.C.; Resources, R.M.-E. and M.C.; Supervision, M.-C.F.; Writing—original draft, E.L.; Writing—review & editing, R.M.-E., M.C., N.B.M. and M.-C.F.

Funding

This work was financially supported by Programme Grant EP/M01486X/1 (SynFabFun) and Grant EP/R000468/1 funded by the Engineering and Physical Sciences Research Council (EPSRC).

Conflicts of Interest

The authors declare no conflict of interest.

References

  1. Merkel, T.; Zhou, M.; Baker, R. Carbon dioxide capture with membranes at an IGCC power plant. J. Membr. Sci. 2012, 389, 441–450. [Google Scholar] [CrossRef]
  2. Franz, J.; Scherer, V. An evaluation of CO2 and H2 selective polymeric membranes for CO2 separation in IGCC processes. J. Membr. Sci. 2010, 359, 173–183. [Google Scholar] [CrossRef]
  3. Singh, R.; Berchtold, K. H2 Selective Membranes for Precombustion Carbon Capture. In Novel Materials for Carbon Dioxide Mitigation Technology; Elsevier: Amsterdam, The Netherlands, 2015; pp. 177–206. [Google Scholar]
  4. Abanades, J.; Arias, B.; Lyngfelt, A.; Mattisson, T.; Wiley, D.; Li, H.; Hoc, M.; Mangano, E.; Brandani, S. Emerging CO2 capture systems. Int. J. Greenh. Gas Control 2015, 40, 126–166. [Google Scholar] [CrossRef]
  5. Li, P.; Chung, T.; Paul, D. Temperature dependence of gas sorption and permeation in PIM-1. J. Membr. Sci. 2014, 450, 380–388. [Google Scholar] [CrossRef]
  6. Merkel, T.; Gupta, R.; Turk, B.; Freeman, B. Mixed gas permeation of syngas components in poly(dimethylsiloxane) and poly(1-trimethysilyl-1-propyne) at elevated temperatures. J. Membr. Sci. 2001, 191, 85–94. [Google Scholar] [CrossRef]
  7. Rowe, B.W.; Robeson, L.M.; Freeman, B.D.; Paul, D.R. Influence of temperature on the upper bound: Theoretical considerations and comparison with experimental results. J. Membr. Sci. 2010, 360, 58–69. [Google Scholar] [CrossRef]
  8. Budd, P.M.; McKeown, N.B.; Ghanem, B.S.; Msayib, K.J.; Fritsch, D.; Starannikova, L.; Belov, N.; Sanfirova, O.; Yampolskii, Y.; Shantarovich, V. Gas permeation parameters and other physicochemical properties of a polymer of intrinsic microporosity: Polybenzodioxane PIM-1. J. Membr. Sci. 2008, 325, 851–860. [Google Scholar] [CrossRef]
  9. David, O.C.; Gorri, D.; Urtiaga, A.; Ortiz, I. Mixed gas separation study for the hydrogen recovery from H2/CO/N2/CO2 post combustion mixtures using a Matrimid membrane. J. Membr. Sci. 2011, 378, 359–368. [Google Scholar] [CrossRef]
  10. Pesiri, D.R.; Jorgensen, B.; Dye, R.C. Thermal optimization of polybenzimidazole meniscus membranes for the separation of hydrogen, methane, and carbon dioxide. J. Membr. Sci. 2003, 218, 11–18. [Google Scholar] [CrossRef]
  11. Pinnau, I.; Toy, L.G. Gas and vapor transport properties of amorphous perfluorinated copolymer membranes based on 2,2-bistrifluoromethyl-4,5-difluoro-1,3-dioxole/tetrafluoroethylene. J. Membr. Sci. 1996, 109, 125–133. [Google Scholar] [CrossRef]
  12. Fuoco, A.; Comesaña-Gándara, B.; Longo, M.; Esposito, E.; Monteleone, M.; Rose, I.; Bezzu, C.; Carta, M.; McKeown, N.; Jansen, J. Temperature Dependence of Gas Permeation and Diffusion in Triptycene-Based Ultrapermeable Polymers of Intrinsic Microporosity. ACS Appl. Mater. Interfaces 2018, 10, 36475–36482. [Google Scholar] [CrossRef] [PubMed]
  13. Carta, M.; Malpass-Evans, R.; Croad, M.; Rogan, Y.; Jansen, J.C.; Bernardo, P.; Bazzarelli, F.; McKeown, N.B. An Efficient Polymer Molecular Sieve for Membrane Gas Separations. Science 2013, 339, 303–307. [Google Scholar] [CrossRef] [PubMed]
  14. Hernandez, N.; Iniesta, J.; Leguey, V.M.; Armstrong, R.; Taylor, S.; Madrid, E.; Rong, Y.; Castaing, R.; Malpass-Evans, R.; Carta, M.; et al. Carbonization of polymers of intrinsic porosity to microporous heterocarbon: Capacitive pH measurements. Appl. Mater. Today 2017, 9, 136–144. [Google Scholar] [CrossRef]
  15. Bernardo, P.; Scorzafave, V.; Clarizia, G.; Tocci, E.; Jansen, J.; Borgogno, A.; Malpass-Evans, R.; McKeown, N.; Carta, M.; Tasselli, F. Thin film composite membranes based on a polymer of intrinsic microporosity derived from Tröger’s base: A combined experimental and computational investigation of the role of residual casting solvent. J. Membr. Sci. 2019, 569, 17–31. [Google Scholar] [CrossRef]
  16. Carta, M.; Croad, M.; Malpass-Evans, R.; Jansen, J.C.; Bernardo, P.; Clarizia, G.; Friess, K.; Lanč, M.; McKeown, N. Triptycene Induced Enhancement of Membrane Gas Selectivity for Microporous Tröger’s Base Polymers. Adv. Mater. 2014, 26, 3526–3531. [Google Scholar] [CrossRef] [PubMed]
  17. Tocci, E.; Lorenzo, L.D.; Bernardo, P.; Clarizia, G.; Bazzarelli, F.; Mckeown, N.B.; Carta, M.; Malpass-Evans, R.; Friess, K.; Pilnáček, K.; et al. Molecular Modeling and Gas Permeation Properties of a Polymer of Intrinsic Microporosity Composed of Ethanoanthracene and Tröger’s Base Units. Macromolecules 2014, 47, 7900–7916. [Google Scholar] [CrossRef]
  18. Lau, C.; Konstas, K.; Doherty, C.; Carta, M.; Lasseuguette, E.; Ferrari, M.; McKeown, N.; Hill, M. Tailoring compatibility to deplasticize ageless, ultrapermeable blends for molecular sieving. In Proceedings of the ICOM 2017, San Francisco, CA, USA, 29 July–4 August 2017. [Google Scholar]
  19. Benito, J.; Sánchez-Laínez, J.; Zornoza, B.; Martín, S.; Carta, M.; Malpass-Evans, R.; Téllez, C.; McKeown, N.B.; Coronas, J.; Gascón, I. Ultrathin Composite Polymeric Membranes for CO2/N2 separation with Minimum Thickness and High CO2 permeance. ChemSusChem 2017, 10, 4014–4017. [Google Scholar] [CrossRef]
  20. Baker, R. Membrane and Technology and Applications; John Wiley & Sons: London, UK, 2004. [Google Scholar]
  21. Robeson, L. The upper bound revisited. J. Membr. Sci. 2008, 320, 390–400. [Google Scholar] [CrossRef]
  22. Mason, C.R.; Maynard-Atem, L.; Heard, K.W.J.; Satilmis, B.; Budd, P.M.; Friess, K.; Lanč, M.; Bernardo, P.; Clarizia, G.; Jansen, J.C. Polymer of Intrinsic Microporosity Incorporating Thioamide Functionality: Preparation and Gas Transport Properties. Macromolecules 2014, 47, 1021–1029. [Google Scholar] [CrossRef]
  23. Ghosal, K.; Chern, R.T.; Freeman, B.D.; Daly, W.H.; Negulescu, I.I. Effect of Basic Substituents on Gas Sorption and Permeation in Polysulfone. Macromolecules 1996, 29, 4360–4369. [Google Scholar] [CrossRef]
  24. Li, P.; Chung, T.; Paul, D. Gas sorption and permeation in PIM-1. J. Membr. Sci. 2013, 432, 50–57. [Google Scholar] [CrossRef]
  25. Swaidan, R.; Ghanem, B.; Litwiller, E.; Pinnau, I. Physical Aging, Plasticization and Their Effects on Gas Permeation in “Rigid” Polymers of Intrinsic Microporosity. Macromolecules 2015, 48, 6553–6561. [Google Scholar] [CrossRef]
  26. Thomas, S.; Pinnau, I.; Du, N.; Guiver, M.D. Pure- and mixed-gas permeation properties of a microporous spirobisindane-based ladder polymer (PIM-1). J. Membr. Sci. 2009, 333, 125–131. [Google Scholar] [CrossRef]
Figure 1. Influence of temperature on membrane performance (calculated from [7]) [6,8,9,10,11].
Figure 1. Influence of temperature on membrane performance (calculated from [7]) [6,8,9,10,11].
Membranes 08 00132 g001
Figure 2. The chemical structure of PIM-EA(Me2)-TB and PIM-EA(H2)-TB.
Figure 2. The chemical structure of PIM-EA(Me2)-TB and PIM-EA(H2)-TB.
Membranes 08 00132 g002
Figure 3. Constant volume-variable pressure apparatus.
Figure 3. Constant volume-variable pressure apparatus.
Membranes 08 00132 g003
Figure 4. Robeson plots for H2/CH4, H2/N2, H2/CO2, CO2/CH4 and CO2/N2 for PIM-1 [8] (Membranes 08 00132 i001), PIM-EA(Me2)-TB [16] (Membranes 08 00132 i002) and PIM-EA(H2)-TB [our study] (Membranes 08 00132 i003) at 30 °C and 1 bar. The lines represents the 2008 upper bound for each gas pair [21].
Figure 4. Robeson plots for H2/CH4, H2/N2, H2/CO2, CO2/CH4 and CO2/N2 for PIM-1 [8] (Membranes 08 00132 i001), PIM-EA(Me2)-TB [16] (Membranes 08 00132 i002) and PIM-EA(H2)-TB [our study] (Membranes 08 00132 i003) at 30 °C and 1 bar. The lines represents the 2008 upper bound for each gas pair [21].
Membranes 08 00132 g004
Figure 5. Diffusivity (a) and solubility (b) coefficients of PIM-EA(H2)-TB for H2, CO2, CH4 and N2 at 30 °C and 1 bar.
Figure 5. Diffusivity (a) and solubility (b) coefficients of PIM-EA(H2)-TB for H2, CO2, CH4 and N2 at 30 °C and 1 bar.
Membranes 08 00132 g005
Figure 6. Permeability coefficients of PIM-EA(H2)-TB for CH4, N2(a) and H2, CO2 (b) at 30 °C.
Figure 6. Permeability coefficients of PIM-EA(H2)-TB for CH4, N2(a) and H2, CO2 (b) at 30 °C.
Membranes 08 00132 g006
Figure 7. Permeability coefficients of N2, CO2, H2 and CH4 as a function of the inverse absolute temperature (at 1 bar) (The dotted lines represent the best curve-fits of the experimental data with Arrhenius equation).
Figure 7. Permeability coefficients of N2, CO2, H2 and CH4 as a function of the inverse absolute temperature (at 1 bar) (The dotted lines represent the best curve-fits of the experimental data with Arrhenius equation).
Membranes 08 00132 g007
Figure 8. H2/CO2 separation performances of PBI (Cross), Matrimid (Square) and PIM-EA(H2)-TB (circle) at 1 bar/30 °C (Black dot) and at 10 bar/200 °C (Red dot). Upper bound at 200 °C recalculated from [7].
Figure 8. H2/CO2 separation performances of PBI (Cross), Matrimid (Square) and PIM-EA(H2)-TB (circle) at 1 bar/30 °C (Black dot) and at 10 bar/200 °C (Red dot). Upper bound at 200 °C recalculated from [7].
Membranes 08 00132 g008
Figure 9. Selectivity of PIM-EA(H2)-TB as the function of temperature at 10 bar.
Figure 9. Selectivity of PIM-EA(H2)-TB as the function of temperature at 10 bar.
Membranes 08 00132 g009
Table 1. Kinetic diameter and critical temperature [20].
Table 1. Kinetic diameter and critical temperature [20].
GasKinetic Diameter (d) (Å)Critical Temperature (Tc) (K)
H22.8933.2
N23.64126.2
CH43.8190.6
CO23.3304.2
Table 2. Gas permeabilities and ideal selectivities (CO2/Gas, H2/Gas) for MeOH treated film PIM-EA(H2)-TB at 30 °C, 1 bar (Errors calculated by statistical analysis of repeated measurements from separately prepared films (between 3 and 5)).
Table 2. Gas permeabilities and ideal selectivities (CO2/Gas, H2/Gas) for MeOH treated film PIM-EA(H2)-TB at 30 °C, 1 bar (Errors calculated by statistical analysis of repeated measurements from separately prepared films (between 3 and 5)).
30 °C, 1 barN2H2CO2CH4
PIM-1 [8]Permeability (Barrer)25229365303440
Selectivity CO2/Gas211.8-12
Selectivity H2/Gas12-0.56.7
PIM-EA(Me2)-TB [16]Permeability (Barrer)52577607140699
Selectivity CO2/Gas13.60.9-10
Selectivity H2/Gas14.8-1.111
PIM-EA(H2)-TB
(This study)
Permeability (Barrer)
(± Error)
238
(± 3%)
5188
(± 1%)
5990
(± 1%)
372
(± 3%)
Selectivity CO2/Gas251-16
Selectivity H2/Gas22-114
Table 3. Diffusivity and solubility coefficients for MeOH treated film PIM-EA(H2)-TB, at 30 °C, 1 bar (Errors calculated by statistical analysis of repeated measurements from separately prepared films).
Table 3. Diffusivity and solubility coefficients for MeOH treated film PIM-EA(H2)-TB, at 30 °C, 1 bar (Errors calculated by statistical analysis of repeated measurements from separately prepared films).
30 °C, 1 barN2H2CO2CH4
D (10−7 cm2/s)
(± Error)
9.7
(± 12%)
500.0
(± 9%)
8.2
(± 3%)
1.3
(± 11%)
S (cm3(STP)/(cm3·cmHg))
(± Error)
3 × 10−2
(± 15%)
9 × 10−3
(± 10%)
9 × 10−1
(± 4%)
3 × 10−1
(± 14%)
Table 4. Selectivity of PIM-EA(H2)-TB for CH4, N2, H2, CO2 at 30 °C for different pressures.
Table 4. Selectivity of PIM-EA(H2)-TB for CH4, N2, H2, CO2 at 30 °C for different pressures.
Selectivity, 30 °CH2/CO2H2/N2H2/CH4CO2/N2CO2/CH4CH4/N2
1 bar1221425162
5 bar120-24--
10 bar1201425162
20 bar---23142
Table 5. Activation energy of gas permeation for PIM-EA(H2)-TB, PIM-1, PIM-TMN-Trip and PTMSP.
Table 5. Activation energy of gas permeation for PIM-EA(H2)-TB, PIM-1, PIM-TMN-Trip and PTMSP.
GasEP (kJ/mol)
PIM-EA(H2)-TB (This Study)PIM-1 [26]PIM-TMN-Trip [12]PTMSP [26]
H20.5−0.4−2.8−2.1
N28.614.34.4−3.5
CH413.119.49.5−5.3
CO2−8.6−1−7.7−11.7
Table 6. Activation energies for gas permeation (Ep), for diffusion (Ed) and for sorption (ΔHs) of PIM-EA(H2)-TB for N2, CO2, H2 and CH4 at 1 bar.
Table 6. Activation energies for gas permeation (Ep), for diffusion (Ed) and for sorption (ΔHs) of PIM-EA(H2)-TB for N2, CO2, H2 and CH4 at 1 bar.
1 barEP (kJ/mol)ED (kJ/mol)ΔHs (kJ/mol)
CO2−8.68.1−16.7
N28.618.5−9.9
H20.55.2−4.6
CH413.117.9−4.8

Share and Cite

MDPI and ACS Style

Lasseuguette, E.; Malpass-Evans, R.; Carta, M.; McKeown, N.B.; Ferrari, M.-C. Temperature and Pressure Dependence of Gas Permeation in a Microporous Tröger’s Base Polymer. Membranes 2018, 8, 132. https://doi.org/10.3390/membranes8040132

AMA Style

Lasseuguette E, Malpass-Evans R, Carta M, McKeown NB, Ferrari M-C. Temperature and Pressure Dependence of Gas Permeation in a Microporous Tröger’s Base Polymer. Membranes. 2018; 8(4):132. https://doi.org/10.3390/membranes8040132

Chicago/Turabian Style

Lasseuguette, Elsa, Richard Malpass-Evans, Mariolino Carta, Neil B. McKeown, and Maria-Chiara Ferrari. 2018. "Temperature and Pressure Dependence of Gas Permeation in a Microporous Tröger’s Base Polymer" Membranes 8, no. 4: 132. https://doi.org/10.3390/membranes8040132

APA Style

Lasseuguette, E., Malpass-Evans, R., Carta, M., McKeown, N. B., & Ferrari, M.-C. (2018). Temperature and Pressure Dependence of Gas Permeation in a Microporous Tröger’s Base Polymer. Membranes, 8(4), 132. https://doi.org/10.3390/membranes8040132

Note that from the first issue of 2016, this journal uses article numbers instead of page numbers. See further details here.

Article Metrics

Back to TopTop