Abstract
Poly(amidoamine) (PAMAM) dendrimers were incorporated into cross-linked poly(vinyl alcohol) (PVA) matrix to improve carbon dioxide (CO2) separation performance at elevated pressures. In our previous studies, PAMAM/PVA hybrid membranes showed high CO2 separation properties from CO2/H2 mixed gases. In this study, three types of organic Ti metal compounds were selected as PVA cross-linkers that were used to prepare PAMAM/cross-linked PVA hybrid membranes. Characterization of the PAMAM/cross-linked PVA hybrid membranes was conducted using nanoindentation and thermogravimetric analyses. The effects of the cross-linker and CO2 partial pressure in the feed gas on CO2 separation performance were discussed. H2O and CO2 sorption of the PAMAM/PVA hybrid membranes were investigated to explain the obtained CO2 separation efficiencies.
1. Introduction
Carbon dioxide (CO2) capture and storage (CCS) is generally considered as an option for climate change mitigation [1]. For practical application of the CCS technology, cost-effective methods for CO2 capture are required [2]. Many studies have focused on the development of effective CO2 capture and separation technologies [3], with membrane separation being one of the promising solutions because of its energy efficiency and operation simplicity. Membrane separation affords CO2 separation from a pressurized gas stream, for example through the integrated coal gasification combined cycle (IGCC) process. The high-pressure difference between the feed and permeate sides of the membrane provides sufficient driving force to conduct membrane separation in the absence of additional compressors and vacuum pumps, thus affording reduced CO2 separation costs [4].
Sirkar et al. [5,6,7] reported that a poly(amidoamine) (PAMAM) dendrimer-immobilized liquid membrane (ILM) can achieve a high CO2/N2 selectivity under atmospheric pressure. However, the dendrimer ILM had insufficient pressure tolerance for practical use because of the flow nature of the PAMAM dendrimer at or above room temperature. To improve CO2 separation performance at pressure difference conditions, hybrid membranes have been developed by incorporating or immobilizing a PAMAM dendrimer into a polymer matrix in our research group. The immobilization of the dendrimer in a cross-linked chitosan was successfully achieved by an in situ modification method, and the resulting membrane system demonstrated remarkable enhancement in CO2/N2 separation [8,9,10]. However, the limited loading of a PAMAM dendrimer (up to 30 wt %) and complex fabrication procedure have prompted for an alternative immobilization process. Recently, effective incorporation of a PAMAM dendrimer into a cross-linked poly(ethylene glycol) (PEG) was realized by photopolymerization of PEG dimethacrylate [11,12,13], and the resulting membrane showed a high CO2/H2 separation performance. Poly(vinyl alcohol) (PVA) has been used as a matrix to facilitate CO2 transport through the membrane because of its good compatibility with both the mobile and stationary carriers, high hydrophilicity, and good film-forming ability. Ho et al. [14,15] reported cross-linked poly(vinyl alcohol) membranes containing polyallylamine, amino acid salt, and potassium hydroxide, and were claimed to contain both mobile and stationary carriers. Matsuyama et al. [16] reported a polyethylenimine/poly(vinyl alcohol) (PEI/PVA) blend membrane with stationary carriers. Cai et al. [17] reported a PAAm/PVA blend membrane with selectivities of 80 and 58 for CO2 over N2 and CO2 over CH4, respectively. In our previous studies, a novel hybrid membrane of PAMAM dendrimer/cross-linked PVA was developed [18,19,20]. A PVA network was formed with a Ti-based cross-linker in the presence of a PAMAM dendrimer in aqueous media. PAMAM was successfully immobilized in a cross-linked PVA matrix. In this paper, three types of organic Ti metal compounds were selected as PVA cross-linkers that were used to prepare corresponding PAMAM/cross-linked PVA hybrid membranes. Characterization of the PAMAM/cross-linked PVA hybrid membranes was conducted using nanoindentation tolerance tests and thermogravimetric analysis (TGA). The influence of the type of cross-linker and CO2 partial pressure in the feed gas on CO2 separation performance was investigated. H2O and CO2 sorption of the PAMAM/PVA hybrid membranes were examined to determine the effect of the cross-linker on the CO2 separation properties.
2. Experimental Section
2.1. Materials
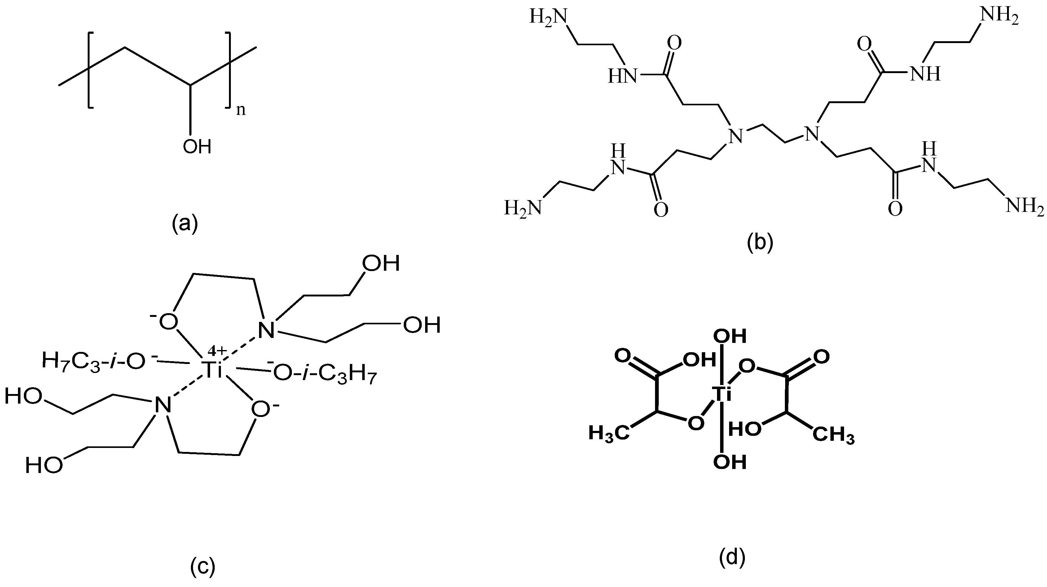
PVA (98+ mol % hydrolyzed; degree of polymerization, n: 2000) was purchased from Wako Pure Chemical (Osaka, Japan), three types of Ti-based cross-linkers (TC-400, TC-300, and T-2678) were obtained as 80 wt % isopropanol solutions from Matsumoto Fine Chemical (Chiba, Japan), and a PAMAM dendrimer (zero-generation) was purchased as a 20 wt % methanol solution from Sigma-Aldrich (St. Louis, MO, USA). The chemical structures of the materials mentioned above are shown in Figure 1. T-2678 cross-linker is not given chemical structure in detail. Other chemicals used were of analytical grade and used as received.
Figure 1.
Chemical structures of PVA, PAMAM dendrimer, and Ti cross-linkers. (a) Poly(vinyl alcohol) (PVA) (n = ~2000, MW: 88,000); (b) Polyamidoamine (PAMAM) dendrimer (G = 0, MW: 516.7); (c) TC-400 cross-linker (di-isopropoxy-bis(triethanol aminato)titanium, MW: 462.4); (d) TC-310 cross-linker (di-hydroxy-bis(hydroxypropionic acid)titanate, MW: 260.0).
Figure 1.
Chemical structures of PVA, PAMAM dendrimer, and Ti cross-linkers. (a) Poly(vinyl alcohol) (PVA) (n = ~2000, MW: 88,000); (b) Polyamidoamine (PAMAM) dendrimer (G = 0, MW: 516.7); (c) TC-400 cross-linker (di-isopropoxy-bis(triethanol aminato)titanium, MW: 462.4); (d) TC-310 cross-linker (di-hydroxy-bis(hydroxypropionic acid)titanate, MW: 260.0).

2.2. Membrane Preparation
PAMAM/PVA hybrid membranes (free-standing films) were prepared by casting a solution of PAMAM, PVA, and Ti cross-linker, at different weights, on a Teflon dish (inner diameter: 6.0 cm), as described in the reported study [6], followed by drying at room temperature for 2 days to evaporate the water.
Figure 2 shows a schematic diagram of the cross-linking process. PVA cross-linking was carried out with a Ti cross-linker in the presence of a PAMAM dendrimer in aqueous solution. The dendrimer was incorporated into the cross-linked PVA matrix to form a self-standing membrane. The representative resulting PAMAM/PVA hybrid membrane (PAMAM/PVA/TC-400 = 63.3/32.6/4.1 wt %) was transparent as seen in Figure 2.
To enhance gas permeance, thin composite membranes were prepared by casting the precursor solution of hybrid membrane onto a polyvinylidene difluoride (PVDF) support membrane. The PVDF porous support membrane (hydrophobic surface, average pore size of 0.1 µm, thickness of 120 µm, and porosity of 80%) was purchased from Millipore Com (Tokyo, Japan). The cast membrane was then dried overnight and heated at 120 °C for 10 min.
Figure 2.
Schematic diagram of a PAMAM-immobilized Ti cross-linked PVA matrix.
Figure 2.
Schematic diagram of a PAMAM-immobilized Ti cross-linked PVA matrix.

2.3. Permeation Experiments
The schematic diagram of the gas separation experiment setup used herein was provided in reference [8]. A CO2/H2 (80/20 v/v) gas mixture was humidified at 80% relative humidity (RH) and then fed into a flat-sheet membrane cell at a flow rate of 100 mL/min. As reported in our previous studies, our membranes require humidity levels as high as 80% RH to achieve a high separation performance. The CO2 partial pressures at the feed side were 80 and 560 kPa. Dry He was supplied at a flow rate of 10 mL/min to the permeate side of the cell as a sweep gas. The operating temperature was set at 40 °C. CO2 and H2 concentrations in both the feed and permeate gas were measured by gas chromatography. The permeance, Q, and selectivity, αCO2/H2, were calculated as expressed in references [8,9].
2.4. Membrane Characterization
Nanoindentation measurements of the composite membrane were performed on a Triboindenter TI-950 (Hysitron Inc., Minneapolis, MN, USA) using a Berkovich indenter (three-sided pyramidal), a quasistatic mode, and an indentation depth of ~200 nm.
TGA was carried out using a PerkinElmer Pyris 1 TGA system (PerkinELmer Japan Co., Ltd., Yokohama, Japan). Measurements were made by heating the samples from 30 °C to 300 °C under nitrogen atmosphere at a heating rate of 5 °C/min.
H2O sorption was performed on a BELSORP-aqua3 (BEL Japan, Inc., Osaka, Japan) at 40 °C. CO2 sorption was conducted on a BELSORP-BG (BEL Japan, Inc., Osaka, Japan) at 40 °C, 80% RH, and a pressure range of 0–800 kPa; Gas 1 was H2O and Gas 2 was CO2.
3. Results and Discussion
3.1. Nanoindentation Analysis
Figure 3 shows the nanoindentation tolerance evaluation of the membranes prepared in the absence (w/o) and presence of a cross-linking agent. PAMAM/PVA/TV-400 hybrid membrane had the highest elastic modulus. PAMAM/PVA/TC-310 hybrid membrane displayed the highest hardness. PAMAM/PVA/T-2678 hybrid membrane had the lowest elastic modulus and hardness. However, the PAMAM/PVA hybrid membranes prepared in the presence of a cross-linking agent exhibited higher elastic modulus and hardness than those prepared in the absence of a cross-linking agent. The nanoindentation measurements suggest that cross-linking was effective to improve the mechanical strength of the PAMAM/PVA hybrid membranes.
Figure 3.
Nanoindentation tolerance evaluation of the hybrid membranes prepared in the absence (w/o) and presence of a cross-linking agent (TC-400, TC-310, or TC-2678).
Figure 3.
Nanoindentation tolerance evaluation of the hybrid membranes prepared in the absence (w/o) and presence of a cross-linking agent (TC-400, TC-310, or TC-2678).

3.2. TG Analysis
Thermal gravimetric analysis curves of the PAMAM dendrimer and PAMAM/PVA hybrid membrane (PAMAM/PVA/TC-400 = 63.3/32.6/4.1 wt %) are shown in Figure 4. The thermograph of PAMAM shows a mass loss of ~62.2% at 110 °C. The PAMAM/PVA hybrid membrane displays mass losses of ~17.6% at 110 °C and ~33.2% at 221 °C. The PAMAM-immobilized cross-linked PVA matrix shows considerably enhanced thermal stability when compared with the pure PAMAM dendrimer. The TG analysis suggests that cross-linking was effective to improve the thermal stability of the PAMAM/PVA hybrid membranes.
Figure 4.
Thermogravimetric analysis (TGA) evaluation of the hybrid membrane and PAMAM dendrimer. TGA curves of (a) the PAMAM dendrimer; and (b) the PAMAM/cross-linked PVA hybrid membrane.
Figure 4.
Thermogravimetric analysis (TGA) evaluation of the hybrid membrane and PAMAM dendrimer. TGA curves of (a) the PAMAM dendrimer; and (b) the PAMAM/cross-linked PVA hybrid membrane.

3.3. Effect of Cross-Linker on CO2 Separation Properties
CO2 gas separation properties of the PAMAM/PVA hybrid membranes at 40 °C and 80% RH are shown in Figure 5. The PAMAM/PVA hybrid membrane prepared in the absence of a cross-linker had a relatively low αCO2/H2 (CO2/H2 gas selectivity). Conversely, the PAMAM/PVA/TC-400 hybrid membrane showed the highest CO2 permeance (QCO2) and αCO2/H2. The PAMAM/PVA hybrid membranes prepared in the presence of cross-linking agents TC-310 and T-2678 had lower QCO2 values when compared with that of membranes prepared in the absence of a cross-linking agent; however, the former hybrid membranes displayed higher αCO2/H2 values. Three types of cross-linkers were used to improve the mechanical strength and thermal stability of the PAMAM/PVA hybrid membranes. Furthermore, although the cross-linking structure did not improve CO2 permeance (e.g., PAMAM/PVA/TC-310 and PAMAM/PVA/T-2678 hybrid membranes. Figure 5), the cross-linking structure efficiently reduced H2 permeance, thus resulting in improved CO2/H2 selectivity. Regarding the PAMAM/PVA/TC-400 hybrid membrane, the cross-linking structure was more effective in improving CO2 permeance, owing to the presence of the ethanol amino groups in TC-400 that would promote CO2 sorption.
Figure 5.
Effect of cross-linker on CO2 separation properties of PAMAM/cross-linked PVA membranes (thickness: 50 µm) at 80 kPa CO2 partial pressure and 80% relative humidity (RH).
Figure 5.
Effect of cross-linker on CO2 separation properties of PAMAM/cross-linked PVA membranes (thickness: 50 µm) at 80 kPa CO2 partial pressure and 80% relative humidity (RH).

To further investigate the effect of the ethanol amino groups on facilitating CO2 sorption, H2O and CO2 sorption onto the membranes were examined and the results are shown in Figure 6 and Figure 7. The PAMAM/PVA/TC-400 hybrid membrane showed higher H2O and CO2 sorption when compared with the hybrid membranes prepared with the other two Ti cross-linkers. Consequently, the PAMAM/PVA/TC-400 hybrid membrane showed higher CO2 permeance and selectivity.
Figure 6.
Effect of cross-linker on water sorption properties of the PAMAM/cross-linked PVA membranes at 40 °C.
Figure 6.
Effect of cross-linker on water sorption properties of the PAMAM/cross-linked PVA membranes at 40 °C.

Figure 7.
Effect of cross-linker on CO2 sorption properties of the PAMAM/cross-linked PVA membranes at 40 °C.
Figure 7.
Effect of cross-linker on CO2 sorption properties of the PAMAM/cross-linked PVA membranes at 40 °C.

3.4. Effect of CO2 Partial Pressure on CO2 Separation Properties
The effect of CO2 partial pressures on CO2 separation properties using the composite membrane of smaller thickness prepared by casting precursor solution of PAMAM/PVA/TC-400 onto a PVDF support membrane is shown in Figure 8. In general, as observed, CO2 permeance decreased with increasing CO2 partial pressures in the feed gas. Conversely, H2 permeance was relatively constant and only decreased slightly as CO2 partial pressure increased. As a result, the membrane showed high QCO2 (1.1 × 10−10 m3 (STP)/(m2·s·Pa)) and αCO2/H2 (39) even at a high CO2 partial pressure (i.e., 560 kPa).
A decrease in the permeance of CO2 as pressure increases is typically observed when gas separation takes place via an improved transport mechanism process [14,16], as indicated by the CO2 sorption behaviors. CO2 sorption values increased from 0 to 0.075 g/g-membrane with increasing CO2 partial pressures from 0 to 100 kPa, followed by a further increase from 0.075 to 0.094 g/g-membrane with increasing CO2 partial pressures from 100 to 600 kPa. CO2 sorption was facilitated by interactions between PAMAM dendrimer and CO2 molecules. CO2 sorption rates decreased as pressure increased. Moreover, CO2 sorption sites in the membrane do not increase. As mentioned above, permeance of CO2 decreased with increasing gas partial pressures. Conversely, H2 sorption was hindered by the PAMAM dendrimers because of the absence of CO2 chemical affinities. H2 transport in the membrane was independent of the gas pressure and H2 permeance remained unchanged.
Figure 8.
Effect of CO2 partial pressure in the feed gas on the CO2 separation properties of the PAMAM/cross-linked PVA composite membrane at 90% RH and 40 °C.
Figure 8.
Effect of CO2 partial pressure in the feed gas on the CO2 separation properties of the PAMAM/cross-linked PVA composite membrane at 90% RH and 40 °C.

4. Conclusions
PAMAM was successfully immobilized in a cross-linked PVA matrix using three types of Ti cross-linkers to form PAMAM/cross-linked PVA hybrid membranes. The nanoindentation and TG analyses demonstrated that cross-linking was effective to improve the mechanical strength and thermal stability of the PAMAM/PVA hybrid membrane. CO2 permeance and selectivity were different depending on the type of Ti cross-linker. PAMAM/PVA/TC-400 hybrid membrane showed higher H2O and CO2 sorption than other hybrid membranes prepared with the other Ti cross-linkers, and the highest CO2 separation capabilities. Moreover, the PAMAM/PVA/TC-400 hybrid membrane (thickness: 1.5 µm) showed CO2/H2 selectivity over 30 and CO2 permeance over 1.0 × 10−10 m3 (STP)/(m2·s·Pa) at 560 kPa CO2 partial pressure. The PAMAM dendrimer/cross-linked PVA membrane shows great potential for CO2 separation from H2 in high-pressure applications such as the IGCC process.
Acknowledgments
This work was supported by the Ministry of Economy, Trade and Industry (METI) Japan.
Author Contributions
Teruhiko Kai participated in its design and helped to draft the manuscript. Takashi Saito carried out the study of the effects of CO2 partial pressure in the feed gas on CO2 separation performance. Kota Yamazaki carried out the study of CO2 sorption of the PAMAM/PVA hybrid membranes. Kenichi Ikeda carried out the study of the nanoindentation of the PAMAM/cross-linked PVA hybrid membranes. All authors read and approved the final manuscript.
Conflicts of Interest
The authors declare no conflict of interest.
References
- Liu, H.; Liang, X. Strategy for promoting low-carbon technology transfer to developing countries: The case of CCS. Energy Policy 2011, 39, 3106–3116. [Google Scholar] [CrossRef]
- Meisen, A.; Shuai, X. Research and development issues in CO2 capture. Energy Convers. Manag. 1997, 38, S37–S42. [Google Scholar] [CrossRef]
- Feron, P.H.M. CO2 Capture: The Characterisation of Gas Separation/Removal Membrane Systems Applied to the Treatment of Flue Gases Arising from Power Generation Using Fossil Fuel; IEA greenhouse gas R & D programme: Cheltenham, UK, 1992. [Google Scholar]
- Nagumo, R.; Kazama, S.; Fujioka, Y. Techno-economic evaluation of the coal-based integrated gasification combined cycle with CO2 capture and storage technology. Energy Proced. 2009, 1, 4089–4093. [Google Scholar] [CrossRef]
- Kovvali, A.S.; Chen, H.; Sirkar, K.K. Dendrimer membranes: A CO2-selective molecular gate. J. Am. Chem. Soc. 2000, 122, 7594–7595. [Google Scholar] [CrossRef]
- Kovvali, A.S.; Sirkar, K.K. Dendrimer liquid membranes: CO2 separation from gas mixtures. Ind. Eng. Chem. Res. 2001, 40, 2502–2511. [Google Scholar] [CrossRef]
- Kovvali, A.S.; Sirkar, K.K. Carbon dioxide separation with novel solvents as liquid membranes. Ind. Eng. Chem. Res. 2002, 41, 2287–2295. [Google Scholar] [CrossRef]
- Duan, S.; Kouketsu, T.; Kazama, S.; Yamada, K. Development of PAMAM dendrimer composite membranes for CO2 separation. J. Membr. Sci. 2006, 283, 2–6. [Google Scholar] [CrossRef]
- Kouketsu, T.; Duan, S.; Kai, T.; Kazama, S.; Yamada, K. PAMAM dendrimer composite membrane for CO2 separation: Formation of a chitosan gutter layer. J. Membr. Sci. 2007, 287, 51–59. [Google Scholar] [CrossRef]
- Kai, T.; Kouketsu, T.; Duan, S.; Kazama, S.; Yamada, K. Development of commercial-sized dendrimer composite membrane modules for CO2 removal from flue gas. Sep. Purif. Technol. 2008, 63, 524–530. [Google Scholar] [CrossRef]
- Taniguchi, I.; Duan, S.; Kazama, S.; Fujioka, Y. Facile fabrication of a novel high performance CO2 separation membrane: immobilization of poly(amidoamine) dendrimers in poly(ethyleneglycol) networks. J. Membr. Sci. 2008, 322, 277–280. [Google Scholar] [CrossRef]
- Taniguchi, I.; Kai, T.; Duan, S.; Kazama, S. PAMAM Dendrimer Containing Polymeric Membrane for Preferential CO2 Separation Over H2—Interplay between CO2 Separation Properties and Morphology. Energy Proced. 2013, 37, 1067–1075. [Google Scholar] [CrossRef]
- Taniguchi, I.; Urai, H.; Kai, T.; Duan, S.; Kazama, S. A CO2-selective molecular gate of poly(amidoamine) dendrimer immobilized in a poly(ethylene glycol) network. J. Membr. Sci. 2013, 444, 96–100. [Google Scholar] [CrossRef]
- Zou, J.; Ho, W.S. CO2-selective polymeric membranes containing amines in crosslinked poly(vinyl alcohol). J. Membr. Sci. 2006, 286, 310–321. [Google Scholar] [CrossRef]
- Huang, J.; Zou, J.; Ho, W.S. Carbon Dioxide Capture Using a CO2-Selective Facilitated Transport Membrane. Ind. Eng. Chem. Res. 2008, 47, 1261–1267. [Google Scholar] [CrossRef]
- Matsuyama, H.; Terada, A.; Nakagawara, T.; Kitamura, Y.; Teramoto, M. Facilitated transport of CO2 through polyethylenimine/poly(vinyl alcohol) blend membrane. J. Membr. Sci. 1999, 163, 221–227. [Google Scholar] [CrossRef]
- Cai, Y.; Wang, Z.; Yi, C.; Bai, Y.; Wang, J.; Wang, S. Gas transport property of polyallylamine-poly(vinyl alcohol)/polysulfone composite membranes. J. Membr. Sci. 2008, 310, 184–196. [Google Scholar] [CrossRef]
- Duan, S.; Taniguchi, I.; Kai, T.; Kazama, S. Poly(amidoamine) dendrimer/poly(vinyl alcohol) hybrid membranes for CO2 capture. J. Membr. Sci. 2012, 423, 107–112. [Google Scholar]
- Duan, S.; Kai, T.; Taniguchi, I.; Kazama, S. Development of Poly(amidoamine) Dendrimer/Poly(vinyl alcohol) Hybrid Membranes for CO2 Separation. Desalin. Water Treat. 2013, 51, 5337–5342. [Google Scholar] [CrossRef]
- Duan, S.; Taniguchi, I.; Kai, T.; Kazama, S. Development of poly(amidoamine) dendrimer/polyvinyl alcohol hybrid membranes for CO2 capture at elevated pressures. Energy Proced. 2013, 37, 924–931. [Google Scholar] [CrossRef]
© 2014 by the authors; licensee MDPI, Basel, Switzerland. This article is an open access article distributed under the terms and conditions of the Creative Commons Attribution license (http://creativecommons.org/licenses/by/3.0/).