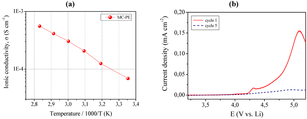
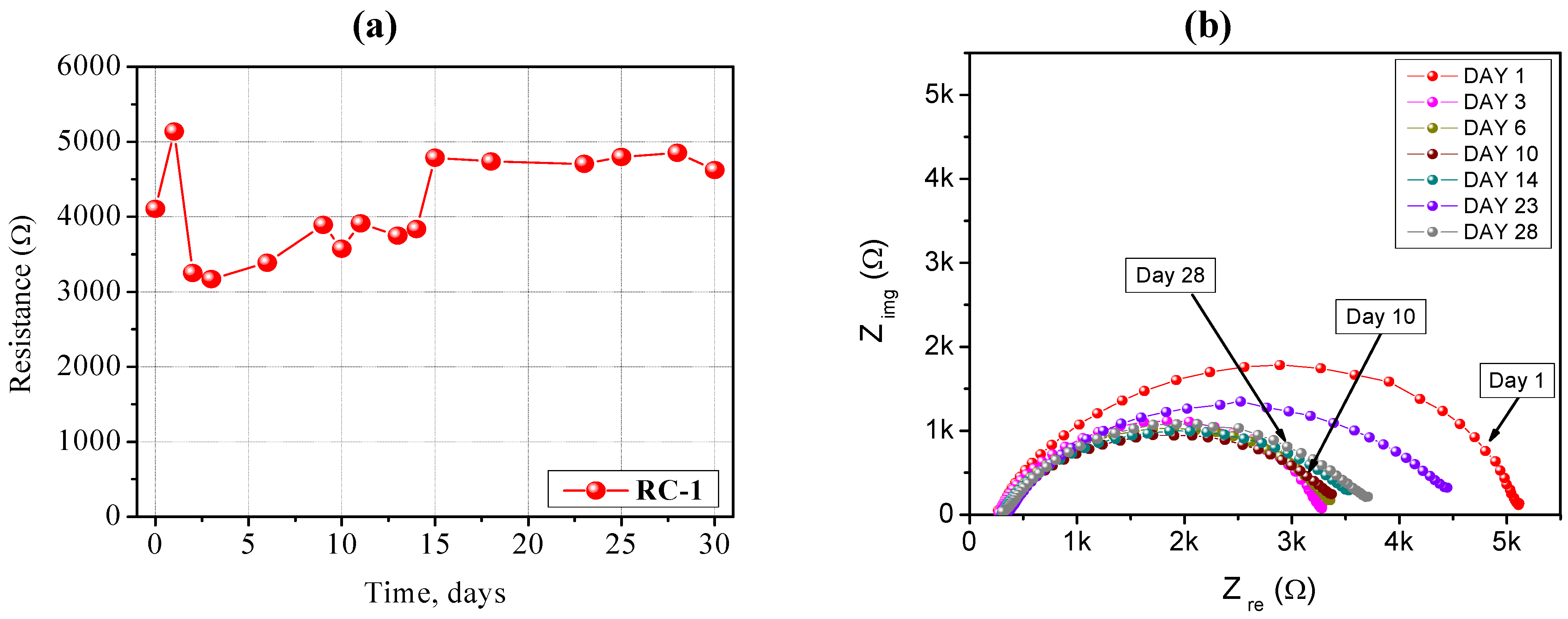
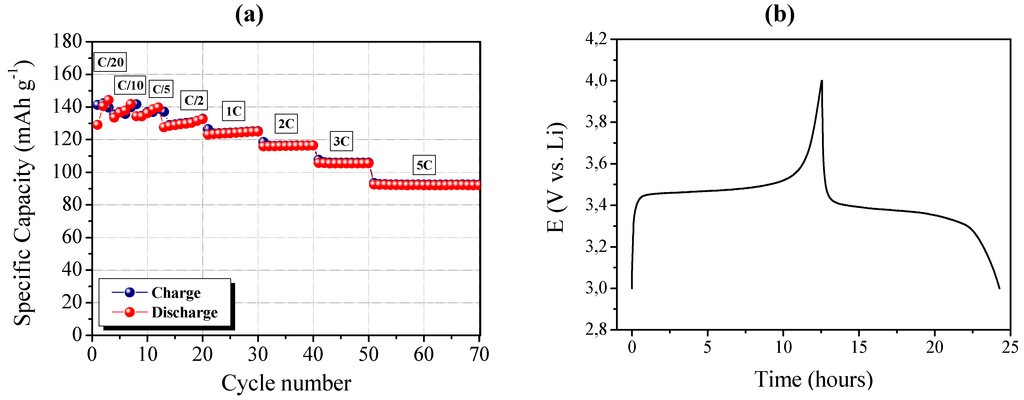
UV-Induced Radical Photo-Polymerization: A Smart Tool for Preparing Polymer Electrolyte Membranes for Energy Storage Devices
Nair, J.R.; Chiappone, A.; Destro, M.; Jabbour, L.; Meligrana, G.; Gerbaldi, C. UV-Induced Radical Photo-Polymerization: A Smart Tool for Preparing Polymer Electrolyte Membranes for Energy Storage Devices. Membranes 2012, 2, 687-704. https://doi.org/10.3390/membranes2040687
Nair JR, Chiappone A, Destro M, Jabbour L, Meligrana G, Gerbaldi C. UV-Induced Radical Photo-Polymerization: A Smart Tool for Preparing Polymer Electrolyte Membranes for Energy Storage Devices. Membranes. 2012; 2(4):687-704. https://doi.org/10.3390/membranes2040687
Chicago/Turabian StyleNair, Jijeesh R., Annalisa Chiappone, Matteo Destro, Lara Jabbour, Giuseppina Meligrana, and Claudio Gerbaldi. 2012. "UV-Induced Radical Photo-Polymerization: A Smart Tool for Preparing Polymer Electrolyte Membranes for Energy Storage Devices" Membranes 2, no. 4: 687-704. https://doi.org/10.3390/membranes2040687

