Quantitative Characterization of Microfiltration Membrane Fouling Using Optical Coherence Tomography with Optimized Image Analysis
Abstract
1. Introduction
2. Materials and Methods
2.1. Optical Coherence Tomography (OCT)
2.2. Experimental Setup for Microfiltration (MF) with OCT
2.3. Image Processing Pipeline
3. Results and Discussion
3.1. MF Fouling by Humic Acid
3.2. Application of OCT Image Processing Pipeline
3.3. Effect of Image Preprocessing
3.4. Thresholds for Extracting Fouling Layers
3.5. Selection of Optimum Automatic Thresholding Algorithms
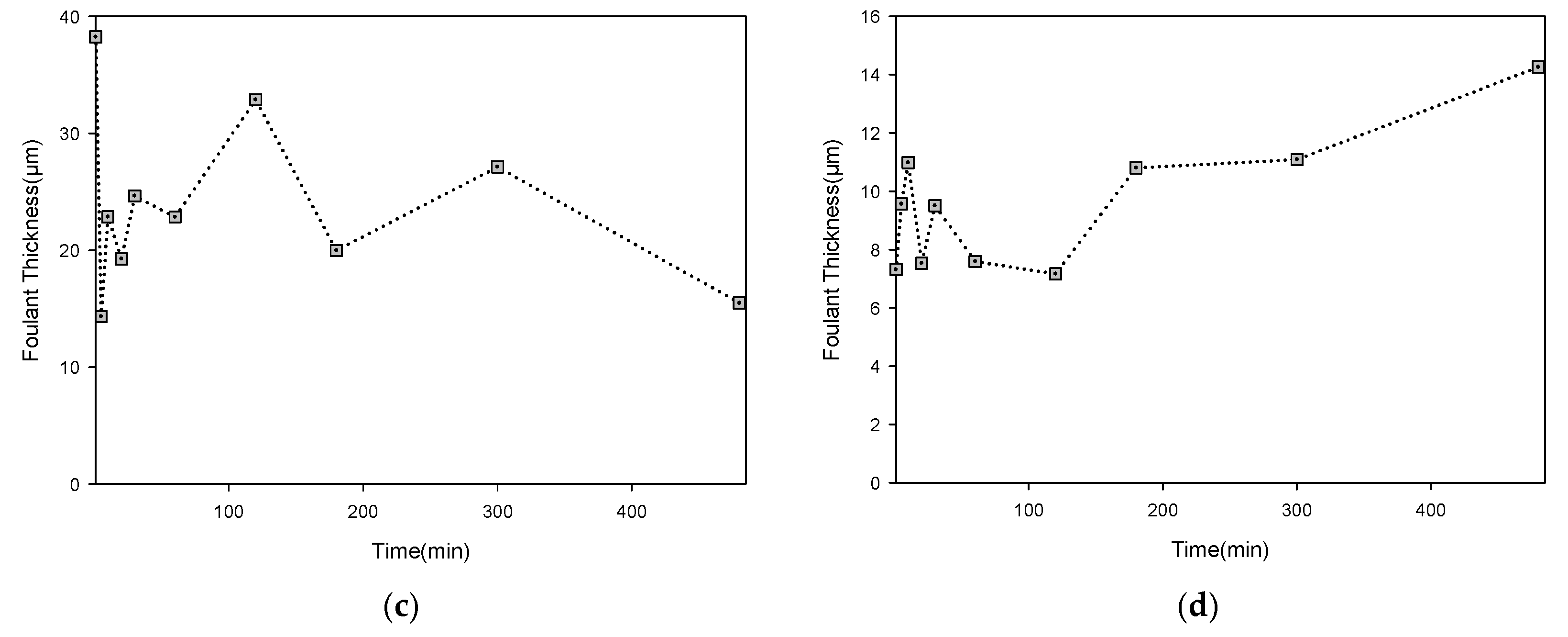
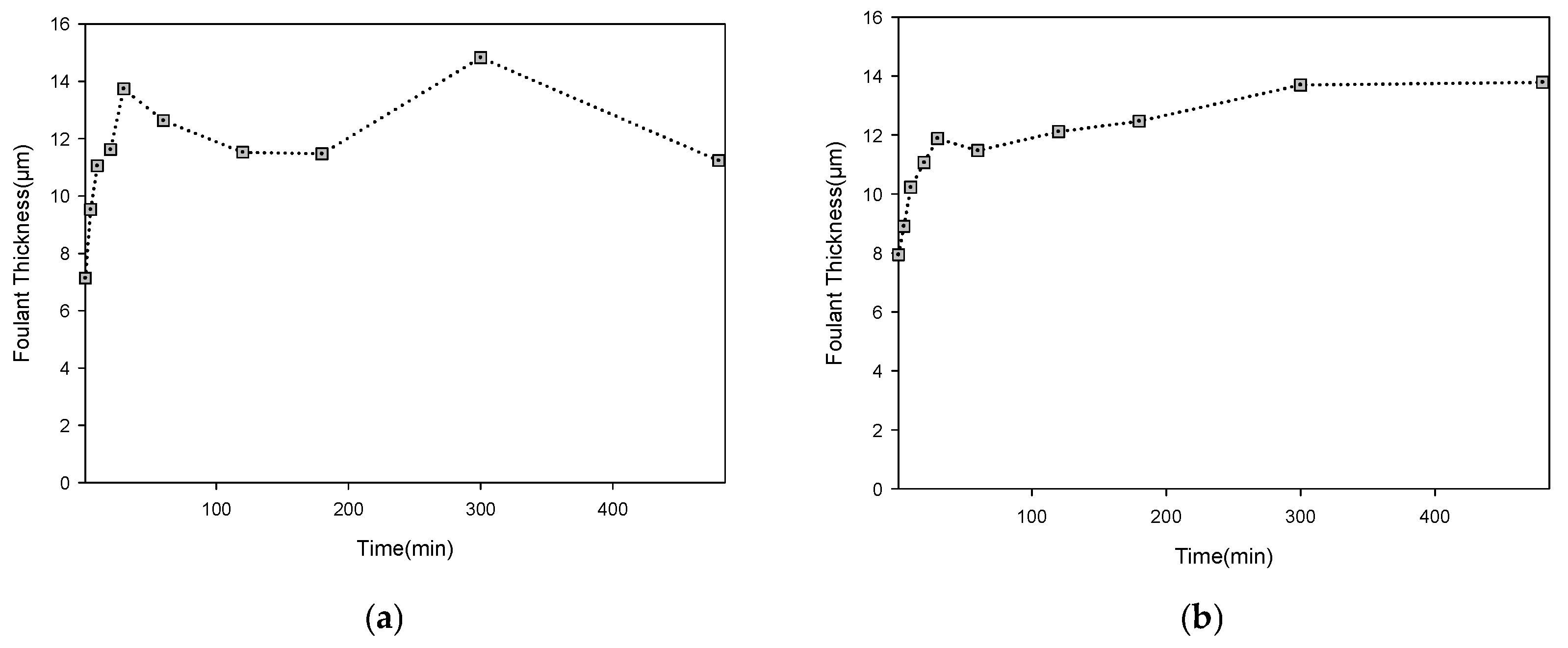
3.6. Real-Time Inorganic Fouling Analysis
3.7. Real-Time Gel Fouling Analysis
4. Conclusions
Author Contributions
Funding
Data Availability Statement
Conflicts of Interest
Abbreviations
| AFM | Atomic Force Microscopy |
| A-scan | Axial scan (depth-resolved OCT signal) |
| B-scan | Cross-sectional OCT image composed of sequential A-scans |
| CC BY | Creative Commons Attribution |
| DOTM | Direct Observation Through the Membrane |
| EIS | Electrical Impedance Spectroscopy |
| HA | Humic Acid |
| ImageJ | Image Processing and Analysis in Java |
| MD | Membrane Distillation |
| MF | Microfiltration |
| MOF | Metal–Organic Framework |
| NIR | Near-Infrared |
| NMR | Nuclear Magnetic Resonance |
| OCT | Optical Coherence Tomography |
| PSF | Point-Spread Function |
| ROI | Region of Interest |
| RO | Reverse Osmosis |
| SA | Sodium Alginate |
| SEM | Scanning Electron Microscopy |
| UF | Ultrafiltration |
| UTDR | Ultrasonic Time-Domain ReflectometryMultidisciplinary Digital Publishing Institute |
References
- Gao, W.; Wang, Z.; Duan, F.; Li, Y.; Shi, S.; Sun, Z.; Zhou, B.; Lv, L. Comprehensive assessment of membrane technology for typical water treatment processes: A critical review. Desalination 2025, 614, 119171. [Google Scholar] [CrossRef]
- Azizi, S.; Ghosh, A.; Zahedi, A.; Xie, S.; Krzmarzick, M.; Aichele, C.P. A critical review of membrane-based technologies for produced water treatment. J. Water Process Eng. 2025, 78, 108756. [Google Scholar] [CrossRef]
- Lee, J.; Lee, S. Challenges, opportunities, and technological advances in desalination brine mining: A mini review. Adv. Ind. Eng. Chem. 2025, 1, 7. [Google Scholar] [CrossRef]
- Foorginezhad, S.; Zerafat, M.M.; Ismail, A.F.; Goh, P.S. Emerging membrane technologies for sustainable water treatment: A review on recent advances††Electronic supplementary information (ESI) available. Environ. Sci. Adv. 2025, 4, 530–570. [Google Scholar] [CrossRef]
- Jahangirzadeh, M.; Azamat, J.; Erfan-Niya, H. Molecular insight into water desalination through functionalized graphenylene nanosheet membranes. Comput. Mater. Sci. 2022, 203, 111126. [Google Scholar] [CrossRef]
- Sonawane, S.; Thakur, P.; Sonawane, S.H.; Bhanvase, B.A. Chapter 17—Nanomaterials for membrane synthesis: Introduction, mechanism, and challenges for wastewater treatment. In Handbook of Nanomaterials for Wastewater Treatment; Bhanvase, B., Sonawane, S., Pawade, V., Pandit, A., Eds.; Elsevier: Amsterdam, The Netherlands, 2021; pp. 537–553. [Google Scholar]
- Wen, X.; He, C.; Hai, Y.; Ma, R.; Sun, J.; Yang, X.; Qi, Y.; Wei, H.; Chen, J. Fabrication of an antifouling PES ultrafiltration membrane via blending SPSF. RSC Adv. 2022, 12, 1460–1470. [Google Scholar] [CrossRef]
- Issaoui, M.; Jellali, S.; Zorpas, A.A.; Dutournie, P. Membrane technology for sustainable water resources management: Challenges and future projections. Sustain. Chem. Pharm. 2022, 25, 100590. [Google Scholar] [CrossRef]
- Zahid, M.; Rashid, A.; Akram, S.; Rehan, Z.A.; Razzaq, W. A comprehensive review on polymeric nano-composite membranes for water treatment. J. Membr. Sci. Technol. 2018, 8, 1000179. [Google Scholar] [CrossRef]
- Yang, Z.; Ma, X.-H.; Tang, C.Y. Recent development of novel membranes for desalination. Desalination 2018, 434, 37–59. [Google Scholar] [CrossRef]
- Bodzek, M.; Konieczny, K.; Kwiecinska-Mydlak, A. Application of nanotechnology and nanomaterials in water and wastewater treatment: Membranes, photocatalysis and disinfection. Desalination Water Treat. 2020, 186, 88–106. [Google Scholar] [CrossRef]
- Zhao, X.; Long, M.; Huang, X.; Zhang, Z. Metal-organic framework membranes and their advanced oxidation processes in water treatment: From material regulation to stability evaluation. Chem. Eng. J. 2025, 503, 158523. [Google Scholar] [CrossRef]
- Abdulsalam, A.; Le, T.P.P.; Nguyen, T.S.; Ali, J.K.; Abubasha, M.Y.; Jouini, M.S.; Alhseinat, E. A review of fouling prediction techniques in membrane desalination: From empirical to intelligent models. Desalination 2025, 616, 119363. [Google Scholar] [CrossRef]
- Ahmed, S.F.; Mehejabin, F.; Momtahin, A.; Tasannum, N.; Faria, N.T.; Mofijur, M.; Hoang, A.T.; Vo, D.-V.N.; Mahlia, T.M.I. Strategies to improve membrane performance in wastewater treatment. Chemosphere 2022, 306, 135527. [Google Scholar] [CrossRef] [PubMed]
- Zhu, X.; Fan, C.; Fang, Y.; Yu, W.; Xie, Y.; Liu, H. Fouling and Chemical Cleaning Strategies for Submerged Ultrafiltration Membrane: Synchronized Bench-Scale, Full-Scale, and Engineering Tests. Membranes 2024, 14, 251. [Google Scholar] [CrossRef]
- Huisman, K.T.; Blankert, B.; Horn, H.; Wagner, M.; Vrouwenvelder, J.S.; Bucs, S.; Fortunato, L. Noninvasive monitoring of fouling in membrane processes by optical coherence tomography: A review. J. Membr. Sci. 2024, 692, 122291. [Google Scholar] [CrossRef]
- Ilyas, A.; Vankelecom, I.F.J. Designing sustainable membrane-based water treatment via fouling control through membrane interface engineering and process developments. Adv. Colloid Interface Sci. 2023, 312, 102834. [Google Scholar] [CrossRef]
- Liu, Q.; Guo, C.; Yang, Z.; Yao, H.; Hu, J.; Liu, G.; Jin, W. Enabling efficient water desalination and mitigating membrane fouling by the novel two-dimensional fullerene with unlocking its electrostatic forces. J. Membr. Sci. 2023, 687, 122074. [Google Scholar] [CrossRef]
- Tavakolmoghadam, M.; Ræbild Kjul, A.; Kallesøe, C.; Østergaard, M.B.; Johra, H.; Dimon Bendtsen, J.; Lykkegaard Christensen, M.; Koustrup Jørgensen, M. Compressibility characterization of organic and inorganic fouling by the 3ω method. Sep. Purif. Technol. 2025, 374, 133722. [Google Scholar] [CrossRef]
- Sim, L.N.; Fane, A.G. 4.4 Advanced Monitoring of Membrane Fouling and Control Strategies. In Comprehensive Membrane Science and Engineering, 2nd ed.; Drioli, E., Giorno, L., Fontananova, E., Eds.; Elsevier: Oxford, UK, 2017; pp. 72–103. [Google Scholar]
- Rudolph, G.; Virtanen, T.; Ferrando, M.; Güell, C.; Lipnizki, F.; Kallioinen, M. A review of in situ real-time monitoring techniques for membrane fouling in the biotechnology, biorefinery and food sectors. J. Membr. Sci. 2019, 588, 117221. [Google Scholar] [CrossRef]
- Wang, J.; Gao, M.; Wang, M.; Xing, J.; Lu, D.; Yao, Z.; Zhang, L. Optimizing RO membrane cleaning: A high-precision and efficient approach using electrochemical impedance spectroscopy. Desalination 2025, 616, 119361. [Google Scholar] [CrossRef]
- Chen, J.; Yang, Y.-C.; Wei, T.-Y. Application of wavelet analysis and decision tree in UTDR data for diagnosis of membrane filtration. Chemom. Intell. Lab. Syst. 2012, 116, 102–111. [Google Scholar] [CrossRef]
- Elcik, H.; Fortunato, L.; Vrouwenvelder, J.S.; Ghaffour, N. Real-time membrane fouling analysis for the assessment of reclamation potential of textile wastewater processed by membrane distillation. J. Water Process Eng. 2021, 43, 102296. [Google Scholar] [CrossRef]
- Choudhury, M.R.; Anwar, N.; Jassby, D.; Rahaman, M.S. Fouling and wetting in the membrane distillation driven wastewater reclamation process—A review. Adv. Colloid Interface Sci. 2019, 269, 370–399. [Google Scholar] [CrossRef]
- Tummons, E.; Han, Q.; Tanudjaja, H.J.; Hejase, C.A.; Chew, J.W.; Tarabara, V.V. Membrane fouling by emulsified oil: A review. Sep. Purif. Technol. 2020, 248, 116919. [Google Scholar] [CrossRef]
- Olufade, A.O.; Simonson, C.J. Detection of crystallization fouling in a liquid-to-air membrane energy exchanger. Exp. Therm. Fluid Sci. 2018, 92, 33–45. [Google Scholar] [CrossRef]
- Ho, J.S.; Sim, L.N.; Webster, R.D.; Viswanath, B.; Coster, H.G.L.; Fane, A.G. Monitoring fouling behavior of reverse osmosis membranes using electrical impedance spectroscopy: A field trial study. Desalination 2017, 407, 75–84. [Google Scholar] [CrossRef]
- Sim, L.N.; Chong, T.H.; Taheri, A.H.; Sim, S.T.V.; Lai, L.; Krantz, W.B.; Fane, A.G. A review of fouling indices and monitoring techniques for reverse osmosis. Desalination 2018, 434, 169–188. [Google Scholar] [CrossRef]
- Li, H.; Fane, A.G.; Coster, H.G.L.; Vigneswaran, S. Direct observation of particle deposition on the membrane surface during crossflow microfiltration. J. Membr. Sci. 1998, 149, 83–97. [Google Scholar] [CrossRef]
- Xu, X.; Li, J.; Li, H.; Cai, Y.; Cao, Y.; He, B.; Zhang, Y. Non-invasive monitoring of fouling in hollow fiber membrane via UTDR. J. Membr. Sci. 2009, 326, 103–110. [Google Scholar] [CrossRef]
- Yan, B.; Vogt, S.J.; Blankert, B.; Vrouwenvelder, J.; Johns, M.L.; Fridjonsson, E.O. Rapid monitoring of cleaning efficiency of fouled hollow fiber membrane module via non-invasive NMR diffraction technique. Chem. Eng. Sci. 2023, 278, 118925. [Google Scholar] [CrossRef]
- Trinh, T.A.; Li, W.; Han, Q.; Liu, X.; Fane, A.G.; Chew, J.W. Analyzing external and internal membrane fouling by oil emulsions via 3D optical coherence tomography. J. Membr. Sci. 2018, 548, 632–640. [Google Scholar] [CrossRef]
- Mu, S.; Zheng, R.; Ma, J.; Liu, C.; Zhang, J.; Wang, J. Dynamic analysis of ultrafiltration membrane fouling based on in-situ solid-phase fluorescence optic fiber (SPFOF): Fouling mechanism and cake layer structure. J. Membr. Sci. 2026, 738, 124739. [Google Scholar] [CrossRef]
- Jia, H.; Feng, F.; Wang, J.; Ngo, H.-H.; Guo, W.; Zhang, H. On line monitoring local fouling behavior of membrane filtration process by in situ hydrodynamic and electrical measurements. J. Membr. Sci. 2019, 589, 117245. [Google Scholar] [CrossRef]
- Aumann, S.; Donner, S.; Fischer, J.; Müller, F. Optical coherence tomography (OCT): Principle and technical realization. In High Resolution Imaging in Microscopy and Ophthalmology: New Frontiers in Biomedical Optics; Springer: Berlin/Heidelberg, Germany, 2019; pp. 59–85. [Google Scholar]
- Jeong, S.; Kim, H.-W. Chapter 3—In situ real-time monitoring technologies for fouling detection in membrane processes. In Current Developments in Biotechnology and Bioengineerin; Bui, X.-T., Guo, W., Chiemchaisri, C., Pandey, A., Eds.; Elsevier: Amsterdam, The Netherlands, 2023; pp. 43–64. [Google Scholar]
- Hee, M.R.; Izatt, J.A.; Swanson, E.A.; Huang, D.; Schuman, J.S.; Lin, C.P.; Puliafito, C.A.; Fujimoto, J.G. Optical Coherence Tomography of the Human Retina. Arch. Ophthalmol. 1995, 113, 325–332. [Google Scholar] [CrossRef] [PubMed]
- Liu, X.; Li, W.; Chong, T.H.; Fane, A.G. Effects of spacer orientations on the cake formation during membrane fouling: Quantitative analysis based on 3D OCT imaging. Water Res. 2017, 110, 1–14. [Google Scholar] [CrossRef]
- Gao, Y.; Haavisto, S.; Li, W.; Tang, C.Y.; Salmela, J.; Fane, A.G. Novel Approach To Characterizing the Growth of a Fouling Layer during Membrane Filtration via Optical Coherence Tomography. Environ. Sci. Technol. 2014, 48, 14273–14281. [Google Scholar] [CrossRef]
- Park, S.; Nam, T.; Park, J.; Kim, S.; Ahn, Y.; Lee, S.; Kim, Y.M.; Jung, W.; Cho, K.H. Investigating the influence of organic matter composition on biofilm volumes in reverse osmosis using optical coherence tomography. Desalination 2017, 419, 125–132. [Google Scholar] [CrossRef]
- Fortunato, L.; Jang, Y.; Lee, J.-G.; Jeong, S.; Lee, S.; Leiknes, T.; Ghaffour, N. Fouling development in direct contact membrane distillation: Non-invasive monitoring and destructive analysis. Water Res. 2018, 132, 34–41. [Google Scholar] [CrossRef]
- Li, W.; Liu, X.; Wang, Y.-N.; Chong, T.H.; Tang, C.Y.; Fane, A.G. Analyzing the Evolution of Membrane Fouling via a Novel Method Based on 3D Optical Coherence Tomography Imaging. Environ. Sci. Technol. 2016, 50, 6930–6939. [Google Scholar] [CrossRef]
- Han, Q.; Li, W.; Trinh, T.A.; Fane, A.G.; Chew, J.W. Effect of the surface charge of monodisperse particulate foulants on cake formation. J. Membr. Sci. 2018, 548, 108–116. [Google Scholar] [CrossRef]
- Han, Q.; Trinh, T.A.; Tanis-Kanbur, M.B.; Li, W.; Chew, J.W. Assessing internal fouling during microfiltration using optical coherence tomography and evapoporometry. J. Membr. Sci. 2020, 595, 117588. [Google Scholar] [CrossRef]
- Lee, S.; Cho, H.; Choi, Y.; Lee, S. Application of Optical Coherence Tomography (OCT) to Analyze Membrane Fouling under Intermittent Operation. Membranes 2023, 13, 392. [Google Scholar] [CrossRef]
- Fortunato, L.; Bucs, S.; Linares, R.V.; Cali, C.; Vrouwenvelder, J.S.; Leiknes, T. Spatially-resolved in-situ quantification of biofouling using optical coherence tomography (OCT) and 3D image analysis in a spacer filled channel. J. Membr. Sci. 2017, 524, 673–681. [Google Scholar] [CrossRef]
- Liang, S.; Fu, K.; Li, X.; Wang, Z. Unveiling the spatiotemporal dynamics of membrane fouling: A focused review on dynamic fouling characterization techniques and future perspectives. Adv. Colloid Interface Sci. 2024, 328, 103179. [Google Scholar] [CrossRef] [PubMed]
- Peters, T.; Schumann, J.; Kämpf, K.; Meyer-Plath, A. AI-assisted recognition of fibre instances in scanning electron microscope images for aerosol characterization and exposure assessment. Powder Technol. 2026, 469, 121909. [Google Scholar] [CrossRef]
- Drexler, W.; Fujimoto, J.G. Optical Coherence Tomography: Technology and Applications; Springer Science & Business Media: Berlin/Heidelberg, Germany, 2008. [Google Scholar]
- Pircher, M. Optical Coherence Tomography and Its Application to Imaging of Skin and Retina. In Encyclopedia of Modern Optics, 2nd ed.; Guenther, B.D., Steel, D.G., Eds.; Elsevier: Oxford, UK, 2018; pp. 155–167. [Google Scholar]
- Fang, Y.; Shao, X.; Liu, B.; Lv, H. Optical coherence tomography image despeckling based on tensor singular value decomposition and fractional edge detection. Heliyon 2023, 9, e17735. [Google Scholar] [CrossRef]
- Schneider, C.A.; Rasband, W.S.; Eliceiri, K.W. NIH Image to ImageJ: 25 years of image analysis. Nat. Methods 2012, 9, 671–675. [Google Scholar] [CrossRef]
- Abràmoff, M.D.; Magalhães, P.J.; Ram, S.J. Image processing with ImageJ. Biophotonics Int. 2004, 11, 36–42. [Google Scholar]
- Pontié, M.; Thekkedath, A.; Kecili, K.; Dach, H.; De Nardi, F.; Castaing, J.B. Clay filter-aid in ultrafiltration (UF) of humic acid solution. Desalination 2012, 292, 73–86. [Google Scholar] [CrossRef]
- Kan, C.-C.; Genuino, D.A.D.; Rivera, K.K.P.; de Luna, M.D.G. Ultrasonic cleaning of polytetrafluoroethylene membrane fouled by natural organic matter. J. Membr. Sci. 2016, 497, 450–457. [Google Scholar] [CrossRef]
- Goldstein, J.I.; Newbury, D.E.; Michael, J.R.; Ritchie, N.W.; Scott, J.H.J.; Joy, D.C. ImageJ and Fiji. In Scanning Electron Microscopy and X-Ray Microanalysis; Springer: Berlin/Heidelberg, Germany, 2017; pp. 187–193. [Google Scholar]
- Young, K.; Morrison, H. Quantifying microglia morphology from photomicrographs of immunohistochemistry prepared tissue using ImageJ. J. Vis. Exp. JoVE 2018, 136, 57648. [Google Scholar]
- Bankhead, P. Analyzing fluorescence microscopy images with ImageJ. ImageJ 2014, 1, 10-1109. [Google Scholar]
- Nichele, L.; Persichetti, V.; Lucidi, M.; Cincotti, G. Quantitative evaluation of ImageJ thresholding algorithms for microbial cell counting. Osa Contin. 2020, 3, 1417–1427. [Google Scholar] [CrossRef]
- Xu, X.; Brooks, G.; Yang, W.; Curic, S. Rapid image analysis of ladle eye area using threshold technique. Ironmak. Steelmak. 2010, 37, 620–623. [Google Scholar] [CrossRef]
- Tajima, R.; Kato, Y. Comparison of threshold algorithms for automatic image processing of rice roots using freeware ImageJ. Field Crops Res. 2011, 121, 460–463. [Google Scholar] [CrossRef]
- Doyle, W. Operations useful for similarity-invariant pattern recognition. J. ACM 1962, 9, 259–267. [Google Scholar] [CrossRef]
- Yang, Y.; Jin, J.; Yu, L.; Zeng, W.; Chen, Y.; Zhao, C.; Zhang, J.; Xing, Z.; Jin, Q.; Liu, X. Sensory features of partially hydrogenated oil and their connection with melting and crystalline characteristics. J. Oleo Sci. 2023, 72, 745–754. [Google Scholar] [CrossRef]
- Huang, L.-K.; Wang, M.-J.J. Image thresholding by minimizing the measures of fuzziness. Pattern Recognit. 1995, 28, 41–51. [Google Scholar] [CrossRef]
- Smith, T., Jr.; Marks, W.; Lange, G.; Sheriff, W., Jr.; Neale, E. A fractal analysis of cell images. J. Neurosci. Methods 1989, 27, 173–180. [Google Scholar] [CrossRef]
- Yang, X.; Beyenal, H.; Harkin, G.; Lewandowski, Z. Evaluation of biofilm image thresholding methods. Water Res. 2001, 35, 1149–1158. [Google Scholar] [CrossRef]
- Li, C.H.; Lee, C. Minimum cross entropy thresholding. Pattern Recognit. 1993, 26, 617–625. [Google Scholar] [CrossRef]
- Pun, T. A new method for grey-level picture thresholding using the entropy of the histogram. Signal Process. 1980, 2, 223–237. [Google Scholar] [CrossRef]
- Kittler, J.; Illingworth, J. Minimum error thresholding. Pattern Recognit. 1986, 19, 41–47. [Google Scholar] [CrossRef]
- Tsai, W.-H. Moment-preserving thresolding: A new approach. Comput. Vis. Graph. Image Process. 1985, 29, 377–393. [Google Scholar] [CrossRef]
- Otsu, N. A threshold selection method from gray-level histograms. Automatica 1975, 11, 23–27. [Google Scholar] [CrossRef]
- Shanbhag, A.G. Utilization of information measure as a means of image thresholding. CVGIP Graph. Models Image Process. 1994, 56, 414–419. [Google Scholar] [CrossRef]
- Zack, G.W.; Rogers, W.E.; Latt, S.A. Automatic measurement of sister chromatid exchange frequency. J. Histochem. Cytochem. 1977, 25, 741–753. [Google Scholar] [CrossRef]
- Yen, J.-C.; Chang, F.-J.; Chang, S. A new criterion for automatic multilevel thresholding. IEEE Trans. Image Process. 1995, 4, 370–378. [Google Scholar] [CrossRef]
- Yu, Z.; Chu, H.; Zhang, W.; Gao, K.; Yang, L.; Zhang, Y.; Zhou, X. Multi-dimensional in-depth dissection the algae-related membrane fouling in heterotrophic microalgae harvesting: Deposition dynamics, algae cake formation, and interaction force analysis. J. Membr. Sci. 2021, 635, 119501. [Google Scholar] [CrossRef]
- Narciso, D.A.; Pereira, A.; Dias, N.O.; Melo, L.F.; Martins, F.G. Characterization of biofilm structure and properties via processing of 2D optical coherence tomography images in BISCAP. Bioinformatics 2022, 38, 1708–1715. [Google Scholar] [CrossRef]
- Terheyden, J.H.; Wintergerst, M.W.; Falahat, P.; Berger, M.; Holz, F.G.; Finger, R.P. Automated thresholding algorithms outperform manual thresholding in macular optical coherence tomography angiography image analysis. PLoS ONE 2020, 15, e0230260. [Google Scholar] [CrossRef]
- Alresheedi, M.T.; Basu, O.D. Support media impacts on humic acid, cellulose, and kaolin clay in reducing fouling in a submerged hollow fiber membrane system. J. Membr. Sci. 2014, 450, 282–290. [Google Scholar] [CrossRef]

















| Sample Name | Auto Threshold | Area Measure 1 (µm2) | Area Measure 2 (µm2) | Area Measure 3 (µm2) |
|---|---|---|---|---|
| A | Default | 51,752.96 | 66,539.52 | 43,854.28 |
| B | Huang | 29,457.6 | 66,539.52 | 51,781.84 |
| C | Intermodes | 50,222.32 | 59,435.04 | 36,966.4 |
| D | IsoData | 51,752.96 | 66,539.52 | 43,464.4 |
| E | IJ_IsoData | 29,457.6 | 66,539.52 | 43,854.28 |
| F | Li | 66,467.32 | 44,561.84 | 51,781.84 |
| G | MaxEntropy | 45,254.96 | 66,785 | 39,334.56 |
| H | Mean | 56,994.68 | 66,539.52 | 51,781.84 |
| I | MinError | 95,072.96 | 36,735.36 | 98,740.72 |
| J | Minimum | 51,651.88 | 59,146.24 | 27,573.12 |
| K | Moments | 50,222.32 | 62,597.4 | 39,334.56 |
| L | Otsu | 51,752.96 | 66,539.52 | 43,464.4 |
| M | Percentile | 63,333.84 | 73,932.8 | 77,672.76 |
| N | RenyEntropy | 46,280.2 | 66,539.52 | 44,403 |
| O | Shanbhag | 37,024.16 | 58,900.76 | 24,143.68 |
| P | Triangle | 81,152.8 | 88,719.36 | 65,312.12 |
| Q | Yen | 46,814.48 | 68,878.8 | 46,857.8 |
| Sample Name | Auto Threshold | Thickness |
|---|---|---|
| P-O | Triangle–Shanbhag | 19.72 (±3.17) |
| P-J | Triangle–Minimum | 16.59 (±1.99) |
| P-K | Triangle–Moments | 14.23 (±1.18) |
| P-N | Triangle–RenyEntropy | 13.36 (±3.24) |
Disclaimer/Publisher’s Note: The statements, opinions and data contained in all publications are solely those of the individual author(s) and contributor(s) and not of MDPI and/or the editor(s). MDPI and/or the editor(s) disclaim responsibility for any injury to people or property resulting from any ideas, methods, instructions or products referred to in the content. |
© 2026 by the authors. Licensee MDPI, Basel, Switzerland. This article is an open access article distributed under the terms and conditions of the Creative Commons Attribution (CC BY) license.
Share and Cite
Lee, S.; Cho, H.; Choi, Y.; Lee, J.A.; Lee, S. Quantitative Characterization of Microfiltration Membrane Fouling Using Optical Coherence Tomography with Optimized Image Analysis. Membranes 2026, 16, 50. https://doi.org/10.3390/membranes16020050
Lee S, Cho H, Choi Y, Lee JA, Lee S. Quantitative Characterization of Microfiltration Membrane Fouling Using Optical Coherence Tomography with Optimized Image Analysis. Membranes. 2026; 16(2):50. https://doi.org/10.3390/membranes16020050
Chicago/Turabian StyleLee, Song, Hyongrak Cho, Yongjun Choi, Juyoung Andrea Lee, and Sangho Lee. 2026. "Quantitative Characterization of Microfiltration Membrane Fouling Using Optical Coherence Tomography with Optimized Image Analysis" Membranes 16, no. 2: 50. https://doi.org/10.3390/membranes16020050
APA StyleLee, S., Cho, H., Choi, Y., Lee, J. A., & Lee, S. (2026). Quantitative Characterization of Microfiltration Membrane Fouling Using Optical Coherence Tomography with Optimized Image Analysis. Membranes, 16(2), 50. https://doi.org/10.3390/membranes16020050

