A Bipolar Membrane Containing Core–Shell Structured Fe3O4-Chitosan Nanoparticles for Direct Seawater Electrolysis
Abstract
1. Introduction
2. Materials and Methods
2.1. Materials
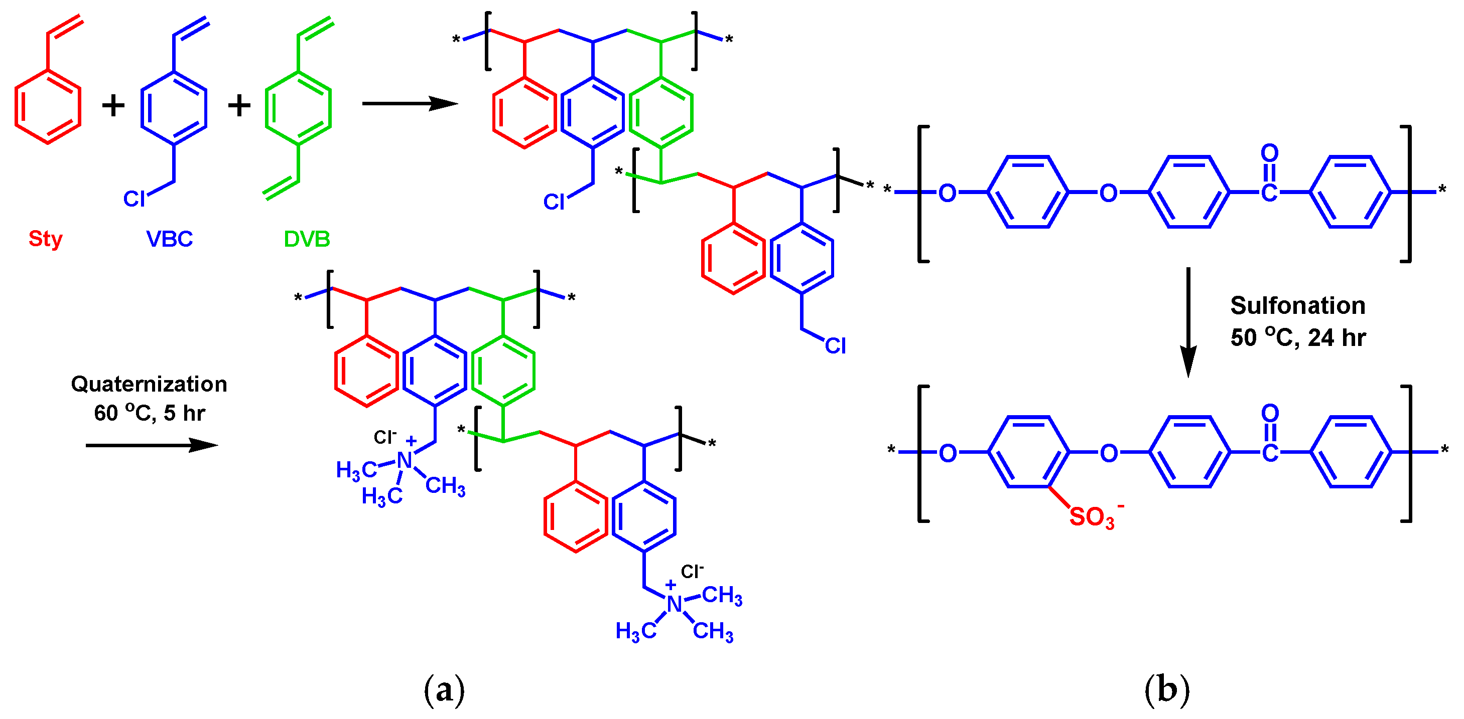
2.2. AEL and CEL Preparation
2.3. Fe(OH)3 and Fe3O4-Chitosan Core–Shell Catalysts Fabrication
2.4. BPM Fabrication
2.5. Characterizations of Catalysts and Membranes
2.6. Water-Splitting Performance Evaluation for BPMs
2.7. DSWE Performance Test
3. Results and Discussion
4. Conclusions
Supplementary Materials
Author Contributions
Funding
Data Availability Statement
Conflicts of Interest
References
- Maka, A.O.M.; Mehmood, M. Green hydrogen energy production: Current status and potential. Clean Energy 2024, 8, 1–7. [Google Scholar] [CrossRef]
- Horri, B.A.; Ozcan, H. Green hydrogen production by water electrolysis: Current status and challenges. Curr. Opin. Green Sustain. 2024, 47, 100932. [Google Scholar] [CrossRef]
- Kawaguchi, K.; Goto, K.; Konno, A.; Nohira, T. Novel High-Temperature Alkaline Water Electrolysis Using Molten KOH–H2O System. J. Electrochem. Soc. 2023, 170, 084507. [Google Scholar] [CrossRef]
- Khan, M.A.; Al-Attas, T.; Roy, S.; Rahman, M.M.; Ghaffour, N.; Thangadurai, V.; Larter, S.; Hu, J.; Ajayan, P.M.; Kibria, M.G. Seawater electrolysis for hydrogen production: Challenges and opportunities. Energy Environ. Sci. 2021, 14, 4831–4839. [Google Scholar] [CrossRef]
- Liu, J.; Duan, S.; Shi, H.; Wang, T.; Yang, X.; Huang, Y.; Wu, G.; Li, Q. Direct seawater electrolysis by suppressing chlorine evolution reaction. Angew. Chem. Int. Ed. 2022, 61, e202210753. [Google Scholar] [CrossRef]
- Wu, L.; Xu, Y.; Wang, Q.; Zou, X.; Pan, Z.; Leung, M.K.H.; An, L. Direct seawater electrolysis for green hydrogen production: Electrode designs, cell configurations, and system integrations. Energy Environ. Sci. 2025, 18, 4596–4624. [Google Scholar] [CrossRef]
- Liu, Y.; Wang, Y.; Fornasiero, P.; Tian, G.; Strasser, P.; Yang, X.-Y. Long-term durability of seawater electrolysis for hydrogen: From catalysts to systems. Angew. Chem. Int. Ed. 2024, 63, e202412087. [Google Scholar] [CrossRef]
- Han, J.-H.; Jwa, E.; Lee, H.; Kim, E.J.; Nam, J.-Y.; Hwang, K.S.; Jeong, N.; Choi, J.; Kim, H.; Jeung, Y.-C.; et al. Direct seawater electrolysis via synergistic acidification by inorganic precipitation and proton flux from bipolar membrane. Chem. Eng. J. 2022, 429, 132383. [Google Scholar] [CrossRef]
- Han, J.-H. Long-Term Stability of Seawater Acidification and Its Effect on the Formation of Mg(OH)2 Films with a Hierarchical Porous Structure in Bipolar Membrane-Based Direct Seawater Electrolysis. J. Electrochem. Soc. 2023, 170, 093506. [Google Scholar] [CrossRef]
- Han, J.-H.; Bae, J.; Lim, J.; Jwa, E.; Nam, J.-Y.; Hwang, K.S.; Jeong, N.; Choi, J.; Kim, H.; Jeung, Y.-C. Acidification-based direct electrolysis of treated wastewater for hydrogen production and water reuse. Heliyon 2023, 9, e20629. [Google Scholar] [CrossRef]
- Hong, E.; Yang, Z.; Zeng, H.; Gao, L.; Yang, C. Recent Development and Challenges of Bipolar Membranes for High Performance Water Electrolysis. ACS Mater. Lett. 2024, 6, 1623–1648. [Google Scholar] [CrossRef]
- Zhao, D.; Xu, J.; Sun, Y.; Li, M.; Zhong, G.; Hu, X.; Sun, J.; Li, X.; Su, H.; Li, M.; et al. Composition and Structure Progress of the Catalytic Interface Layer for Bipolar Membrane. Nanomaterials 2022, 12, 2874. [Google Scholar] [CrossRef] [PubMed]
- Bui, J.C.; Lees, E.W.; Marin, D.H.; Stovall, T.N.; Chen, L.; Kusoglu, A.; Nielander, A.C.; Jaramillo, T.F.; Boettcher, S.W.; Bell, A.T.; et al. Multi-scale physics of bipolar membranes in electrochemical processes. Nat. Chem. Eng. 2024, 1, 45–60. [Google Scholar] [CrossRef]
- Simons, R. High Performance Bipolar Membrane. U.S. Patent US5227040, 13 July 1993. [Google Scholar]
- Meng, F.; Cheng, D.; Lin, M.; Zuo, K.; Zhang, Z.B. Review on crossover minimization and catalytic layer-promoted water dissociation in bipolar membranes. Appl. Energy 2025, 394, 126176. [Google Scholar] [CrossRef]
- Parnämäe, R.; Mareev, S.; Nikonenko, V.; Melnikov, S.; Sheldeshov, N.; Zabolotskii, V.; Tedesco, M. Bipolar membranes: A review on principles, latest developments, and applications. J. Membr. Sci. 2021, 617, 118538. [Google Scholar] [CrossRef]
- Mareev, S.A.; Evdochenko, E.; Wessling, M.; Kozaderova, O.A.; Niftaliev, S.I.; Pismenskaya, N.D.; Nikonenko, V.V. A comprehensive mathematical model of water splitting in bipolar membranes: Impact of the spatial distribution of fixed charges and catalyst at bipolar junction. J. Membr. Sci. 2020, 603, 118010. [Google Scholar] [CrossRef]
- Adisasmito, S.; Khoiruddin, K.; Sutrisna, P.D.; Wenten, I.G.; Siagian, U.W.R. Bipolar Membrane Seawater Splitting for Hydrogen Production: A Review. ACS Omega 2024, 9, 14704–14727. [Google Scholar] [CrossRef]
- Wang, Q.; Wu, B.; Jiang, C.; Wang, Y.; Xu, T. Improving the water dissociation efficiency in a bipolar membrane with amino-functionalized MIL-101. J. Membr. Sci. 2017, 524, 370–376. [Google Scholar] [CrossRef]
- Cheng, G.; Zhao, Y.; Li, W.; Zhang, J.; Wang, X.; Dong, C. Performance enhancement of bipolar membranes modified by Fe complex catalyst. J. Membr. Sci. 2019, 589, 117243. [Google Scholar] [CrossRef]
- Ge, Z.; Shehzad, M.A.; Ge, L.; Zhu, Y.; Wang, H.; Li, G.; Zhang, Z.; Ge, X.; Wu, L.; Xu, T. Beneficial Use of a Coordination Complex As the Junction Catalyst in a Bipolar Membrane. ACS Appl. Energy Mater. 2020, 3, 5765–5773. [Google Scholar] [CrossRef]
- Kim, B.S.; Park, S.C.; Kim, D.-H.; Moon, G.H.; Oh, J.G.; Jang, J.; Kang, M.-S.; Yoon, K.B.; Kang, Y.S. Bipolar membranes to promote formation of tight ice-like water for efficient and sustainable water splitting. Small 2020, 16, 2002641. [Google Scholar] [CrossRef] [PubMed]
- Hanada, F.; Hiraya, K.; Ohmura, N.; Tanaka, S. Bipolar Membrane and Method for Its Production. European Patent EP0459820B1, 30 July 1997. [Google Scholar]
- Cao, X.; Chen, Y.; Liang, X.; Li, Y.; Zhang, W.; Cai, Z.; Zhang, T. Basic Research on Selective Extraction of Iron from Titanium Dioxide Waste Acid to Prepare Iron Phosphate Precursors. Separations 2023, 10, 400. [Google Scholar] [CrossRef]
- Hartati, H.; Subaer, S.; Hasri, H.; Wibawa, T.; Hasriana, H. Microstructure and Antibacterial Properties of Chitosan-Fe3O4-AgNP Nanocomposite. Nanomaterials 2022, 12, 3652. [Google Scholar] [CrossRef]
- Mahdavi, M.; Ahmad, M.; Haron, M.J.; Namvar, F.; Nadi, B.; AbRahman, M.Z.; Amin, J. Synthesis, Surface Modification and Characterisation of Biocompatible Magnetic Iron Oxide Nanoparticles for Biomedical Applications. Molecules 2013, 18, 7533–7548. [Google Scholar] [CrossRef] [PubMed]
- Pounraj, S.; Somu, P.; Paul, S. Chitosan and graphene oxide hybrid nanocomposite film doped with silver nanoparticles efficiently prevents biofouling. Appl. Surf. Sci. 2018, 452, 487–497. [Google Scholar] [CrossRef]
- Wulandari, I.O.; Mardila, V.T.; Santjojo, D.J.D.H.; Sabarudin, A. Preparation and Characterization of Chitosan-coated Fe3O4 Nanoparticles using Ex-Situ Co-Precipitation Method and Tripolyphosphate/Sulphate as Dual Crosslinkers. IOP Conf. Ser. Mater. Sci. Eng. 2018, 299, 012064. [Google Scholar] [CrossRef]
- Kim, D.-H.; Park, J.-H.; Seo, S.-J.; Park, J.-S.; Jung, S.H.; Kang, Y.S.; Choi, J.-H.; Kang, M.-S. Development of thin anion-exchange pore-filled membranes for high diffusion dialysis performance. J. Membr. Sci. 2013, 447, 80–86. [Google Scholar] [CrossRef]
- Kim, D.-H.; Kang, M.-S. Cost-effective Bipolar Membranes for Efficient Electrochemical Water Dissociation. Chem. Lett. 2017, 46, 1459–1462. [Google Scholar] [CrossRef]
- Qu, J.; Liu, G.; Wang, Y.; Hong, R. Preparation of Fe3O4–chitosan nanoparticles used for hyperthermia. Adv. Powder Technol. 2010, 21, 461–467. [Google Scholar] [CrossRef]
- Li, G.-Y.; Jiang, Y.-R.; Huang, K.-L.; Ding, P.; Chen, J. Preparation and properties of magnetic Fe3O4–chitosan nanoparticles. J. Alloys Compd. 2008, 466, 451–456. [Google Scholar] [CrossRef]
- Choi, Y.-J.; Park, J.-M.; Yeon, K.-H.; Moon, S.-H. Electrochemical characterization of poly (vinyl alcohol)/formyl methyl pyridinium (PVA-FP) anion-exchange membranes. J. Membr. Sci. 2005, 250, 295–304. [Google Scholar] [CrossRef]
- Chen, H.; Cong, T.N.; Yang, W.; Tan, C.; Li, Y.; Ding, Y. Progress in electrical energy storage system: A critical review. Prog. Nat. Sci. 2009, 19, 291–312. [Google Scholar] [CrossRef]
- Jeevananda, T.; Yeon, K.-H.; Moon, S.-H. Synthesis and characterization of bipolar membrane using pyridine functionalized anion exchange layer. J. Membr. Sci. 2006, 283, 201–208. [Google Scholar] [CrossRef]
- ASTM D-882-79 Standard; Standard Test Method for Tensile Properties of Thin Plastic Sheeting. ASTM International: Philadelphia, PA, USA, 1979.
- Vengatesan, S.; Santhi, S.; Jeevanantham, S.; Sozhan, G. Quaternized poly (styrene-co-vinylbenzyl chloride) anion exchange membranes for alkaline water electrolysers. J. Power Sources 2015, 284, 361–368. [Google Scholar] [CrossRef]
- Hermán, V.; Takacs, H.; Duclairoir, F.; Renault, O.; Tortaic, J.H.; Viala, B. Core double–shell cobalt/graphene/polystyrene magnetic nanocomposites synthesized by in situ sonochemical polymerization. RSC Adv. 2015, 5, 51371. [Google Scholar] [CrossRef]
- Tang, R.; Zhang, Y.; Zhang, Y.; Yu, Z. Synthesis and characterization of chitosan based dye containing quaternary ammonium group. Carbohydr. Polym. 2016, 139, 191–196. [Google Scholar] [CrossRef]
- Lee, S.; Lee, H.; Yang, T.-H.; Bae, B.; Tran, N.A.T.; Cho, Y.; Jung, N.; Shin, D. Quaternary ammonium-bearing perfluorinated polymers for anion exchange membrane applications. Membranes 2020, 10, 306. [Google Scholar] [CrossRef]
- Ghosh, S.; Dhole, K.; Tripathy, M.K.; Kumar, R.; Sharma, R.S. FTIR spectroscopy in the characterization of the mixture of nuclear grade cation and anion exchange resins. J. Radioanal Nucl. Chem. 2015, 304, 917. [Google Scholar] [CrossRef]
- Chen, D.; Hickner, M.A. Degradation of imidazolium- and quaternary ammonium-functionalized poly(fluorenyl ether ketone sulfone) anion exchange membranes. ACS Appl. Mater. Interfaces 2012, 4, 5775. [Google Scholar] [CrossRef]
- Pham, X.N.; Nguyen, T.P.; Pham, T.N.; Tran, T.T.N.; Tran, T.V.T. Synthesis and characterization of chitosan-coated magnetite nanoparticles and their application in curcumin drug delivery. Adv. Nat. Sci. Nanosci. Nanotechnol. 2016, 7, 045010. [Google Scholar] [CrossRef]
- Li, B.; Shan, C.-L.; Zhou, Q.; Fang, Y.; Wang, Y.-L.; Xu, F.; Han, L.-R.; Ibrahim, M.; Guo, L.-B.; Xie, G.-L.; et al. Synthesis, Characterization, and Antibacterial Activity of Cross-Linked Chitosan-Glutaraldehyde. Mar. Drugs 2013, 11, 1534–1552. [Google Scholar] [CrossRef]
- Pourmortazavi, S.M.; Sahebi, H.; Zandavar, H.; Mirsadeghi, S. Fabrication of Fe3O4 nanoparticles coated by extracted shrimp peels chitosan as sustainable adsorbents for removal of chromium contaminates from wastewater: The design of experiment. Compos. B Eng. 2019, 175, 107130. [Google Scholar] [CrossRef]
- Zou, W.; Tang, G.; Peng, K.; Mo, X.; Hu, H.; Yang, Z.; Xu, T.; Ling, R.; Ma, Y.; Fang, J.; et al. Robust and ultrathin pore-filling anion exchange membranes for water electrolysis. AIChE J. 2025, 71, 18769. [Google Scholar] [CrossRef]
- Song, H.-B.; Kim, D.-H.; Kang, M.-S. Thin-Reinforced Anion-Exchange Membranes with High Ionic Contents for Electrochemical Energy Conversion Processes. Membranes 2022, 12, 196. [Google Scholar] [CrossRef]
- Zabolotskii, V.I.; Shel’deshov, N.V.; Gnusin, N.P. Dissociation of water molecules in systems with ion-exchange membranes. Russ. Chem. Rev. 1988, 57, 801–808. [Google Scholar] [CrossRef]
- Hsueh, C.-L.; Peng, Y.-J.; Wang, C.-C.; Chen, C.-Y. Bipolar membrane prepared by grafting and plasma polymerization. J. Membr. Sci. 2003, 219, 1–13. [Google Scholar] [CrossRef]
- Liu, Y.; Wang, J. Performance enhancement of catalytic bipolar membrane based on polysulfone single base membrane for electrodialysis. J. Membr. Sci. 2020, 606, 118151. [Google Scholar] [CrossRef]
- Oener, S.Z.; Foster, M.J.; Boettcher, S.W. Accelerating water dissociation in bipolar membranes and for electrocatalysis. Science 2020, 369, 1099–1103. [Google Scholar] [CrossRef]
- Al-Dhubhani, E.; Swart, H.; Borneman, Z.; Nijmeijer, K.; Tedesco, M.; Post, J.W.; Saakes, M. Entanglement-enhanced water dissociation in bipolar membranes with 3D electrospun junction and polymeric catalyst. ACS Appl. Energy Mater. 2021, 4, 3724–3736. [Google Scholar] [CrossRef]
- Kole, S.; Venugopalan, G.; Bhattacharya, D.; Zhang, L.; Cheng, J.; Pivovar, B.; Arges, C.G. Bipolar membrane polarization behavior with systematically varied interfacial areas in the junction region. J. Mater. Chem. A 2021, 9, 2223–2238. [Google Scholar] [CrossRef]
- Shehzad, M.S.; Yasmin, A.; Ge, X.; Ge, Z.; Zhang, K.; Liang, X.; Zhang, J.; Li, G.; Xiao, X.; Jiang, B.; et al. Shielded goethite catalyst that enables fast water dissociation in bipolar membranes. Nat. Commun. 2021, 12, 9. [Google Scholar] [CrossRef]
- Chen, L.; Xu, Q.; Oener, S.Z.; Fabrizio, K.; Boettcher, S.W. Design principles for water dissociation catalysts in high-performance bipolar membranes. Nat. Commun. 2022, 13, 3846. [Google Scholar] [CrossRef]
- Eswaraswamy, B.; Suhag, A.; Goel, P.; Mandal, P.; Chattopadhyay, S. Potential of montmorillonite nanoclay as water dissociation catalyst at the interface of bipolar membrane. Sep. Purif. Technol. 2022, 295, 121257. [Google Scholar] [CrossRef]
- Xu, Z.; Wan, L.; Liao, Y.; Pang, M.; Xu, Q.; Wang, P.; Wang, B. Continuous ammonia electrosynthesis using physically interlocked bipolar membrane at 1000 mA cm−2. Nat. Commun. 2023, 14, 1619. [Google Scholar] [CrossRef] [PubMed]
- Al-Dhubhani, E.; Tedesco, M.; de Vos, W.M.; Saakes, M. Combined electrospinning–electrospraying for high-performance bipolar membranes with incorporated MCM-41 as water dissociation catalysts. ACS Appl. Mater. Interfaces 2023, 15, 45745–45755. [Google Scholar] [CrossRef]
- Bhowmick, S.; Qureshi, M. Vanadium oxide nanosheet-infused functionalized polysulfone bipolar membrane for an efficient water dissociation reaction. ACS Appl. Mater. Interfaces 2023, 15, 5466–5477. [Google Scholar] [CrossRef]
- Yu, W.; Zhang, Z.; Luo, F.; Li, X.; Duan, F.; Xu, Y.; Liu, Z.; Liang, X.; Wang, Y.; Wu, L.; et al. Tailoring high-performance bipolar membrane for durable pure water electrolysis. Nat. Commun. 2024, 15, 10220. [Google Scholar] [CrossRef] [PubMed]
- Zhang, X.; Li, Y.; Yuan, Y.; Wu, C.; Wang, X.; Liu, Y.; Han, X. Efficient bipolar membranes with Ti3C2Tx nanosheets as advanced catalysts in the interfacial layers for water splitting. Chem. Eng. Res. Des. 2024, 205, 39–46. [Google Scholar] [CrossRef]
- Luo, F.; Yu, W.; Li, X.; Liang, X.; Li, W.; Duan, F.; Wang, Y.; Ge, X.; Wu, L.; Xu, T. Enhanced bipolar membranes for durable ampere-level water electrolysis. Energy Environ. Sci. 2025, 18, 728–737. [Google Scholar] [CrossRef]
- Fu, R.Q.; Xu, T.W.; Yang, W.H.; Pan, Z.X. Fundamental studies on the intermediate layer of a bipolar membrane Part II. Effect of bovine serum albumin (BSA) on water dissociation at the interface of a bipolar membrane. J. Colloid Interface Sci. 2004, 278, 318–324. [Google Scholar] [CrossRef]













| Membrane | WU (%) | IEC (meq g−1) | Thickness (μm) | Conductivity (mS cm−1) | MER (Ω cm2) | TN (-) |
|---|---|---|---|---|---|---|
| CMX (Astom corp.) | 26.2 ± 1.40 | 1.60 ± 0.02 | 165.3 ± 0.47 | 5.862 | 2.82 ± 0.01 | 0.966 |
| SPEEK CEM | 30.4 ± 0.88 | 1.68 ± 0.03 | 35.0 ± 1.41 | 9.120 | 0.38 ± 0.04 | 0.977 |
| AMX (Astom corp.) | 21.1 ± 2.10 | 1.51 ± 0.05 | 134.7 ± 1.25 | 4.157 | 3.24 ± 0.03 | 0.970 |
| PFAEM | 28.5 ± 2.10 | 2.04 ± 0.02 | 30.2 ± 0.43 | 9.437 | 0.32 ± 0.01 | 0.972 |
| Membrane | BP-1E | BPM-Fe3O4-Chitosan | ||
|---|---|---|---|---|
| Tensile Strength (MPa) | Elongation at Break (%) | Tensile Strength (MPa) | Elongation at Break (%) | |
| Wet state | 30.9 ± 0.54 | 10.4 ± 0.34 | 28.0 ± 0.61 | 17.5 ± 0.98 |
Disclaimer/Publisher’s Note: The statements, opinions and data contained in all publications are solely those of the individual author(s) and contributor(s) and not of MDPI and/or the editor(s). MDPI and/or the editor(s) disclaim responsibility for any injury to people or property resulting from any ideas, methods, instructions or products referred to in the content. |
© 2026 by the authors. Licensee MDPI, Basel, Switzerland. This article is an open access article distributed under the terms and conditions of the Creative Commons Attribution (CC BY) license.
Share and Cite
Song, H.-B.; Jang, E.-H.; Kang, M.-S. A Bipolar Membrane Containing Core–Shell Structured Fe3O4-Chitosan Nanoparticles for Direct Seawater Electrolysis. Membranes 2026, 16, 23. https://doi.org/10.3390/membranes16010023
Song H-B, Jang E-H, Kang M-S. A Bipolar Membrane Containing Core–Shell Structured Fe3O4-Chitosan Nanoparticles for Direct Seawater Electrolysis. Membranes. 2026; 16(1):23. https://doi.org/10.3390/membranes16010023
Chicago/Turabian StyleSong, Hyeon-Bee, Eun-Hye Jang, and Moon-Sung Kang. 2026. "A Bipolar Membrane Containing Core–Shell Structured Fe3O4-Chitosan Nanoparticles for Direct Seawater Electrolysis" Membranes 16, no. 1: 23. https://doi.org/10.3390/membranes16010023
APA StyleSong, H.-B., Jang, E.-H., & Kang, M.-S. (2026). A Bipolar Membrane Containing Core–Shell Structured Fe3O4-Chitosan Nanoparticles for Direct Seawater Electrolysis. Membranes, 16(1), 23. https://doi.org/10.3390/membranes16010023

