Next Article in Journal
Bacterial Nanocellulose Functionalized with Graphite and Niobium Pentoxide: Limited Antimicrobial Effects and Preserved Cytocompatibility
Previous Article in Journal
Dewatering Hypersaline Na2SO4 and NaCl via Commercial Forward Osmosis Module
 
 
Font Type:
Arial Georgia Verdana
Font Size:
Aa Aa Aa
Line Spacing:
Column Width:
Background:
Article

Ammonia Recovery from Animal Manure via Hollow Fibre Membrane Contactors: Impact of Filtration Pre-Treatment and Organic Foulants on Mass Transfer and Performance

1
School of Chemical and Bioprocess Engineering, University College Dublin, D04 V1W8 Dublin, Ireland
2
Environment, Soils and Land Use Department, Teagasc, Johnstown Castle, Y35 TC97 Wexford, Ireland
*
Author to whom correspondence should be addressed.
Membranes 2026, 16(1), 15; https://doi.org/10.3390/membranes16010015
Submission received: 3 December 2025 / Revised: 23 December 2025 / Accepted: 23 December 2025 / Published: 31 December 2025
(This article belongs to the Topic Separation Techniques and Circular Economy)

Abstract

Ammonia (NH3) recovery from animal manure offers both environmental and economic benefits by reducing nitrogen emissions and producing valuable fertilisers. Hollow fibre membrane contactors (HFMCs) are a promising technology for this purpose, yet their performance is strongly influenced by the complex composition of manure. In this study, the effects of solids concentration and organic foulants concentration on the mass transfer coefficients governing NH3 recovery were systematically investigated. Total suspended solids (TSS) were reduced through graded filtration, and protein concentrations in the ammonium solutions were quantified to assess their role in limiting mass transfer. Results showed that TSS concentration primarily affected the shell-side film resistance. After extensive filtration, residual proteins attached to the membrane surface induced partial wetting, thereby reducing the effective membrane mass transfer coefficient. Using a penalty function approach, it was possible to separately describe TSS- and protein-related resistances, enabling improved prediction of effective model coefficients under real world conditions. These findings highlight the dual importance of solid–liquid separation and protein management in optimising HFMC operation for NH3 recovery and provide a framework for up-scaling the technology in agricultural nutrient management systems.

1. Introduction

Organic waste is responsible for 70% of anthropogenic ammonia (NH3) emissions [1], with agriculture contributing over 81% of global NH3 emissions [2]. The intensive production of livestock generates large quantities of livestock manure, which produces greenhouse gases and NH3, while inadequate treatment and poor management leads to increased emissions into the atmosphere and pollution of water bodies [3]. Animal manure contains high levels of organic matter, nutrients, and residual emerging contaminants, threatening both human health and the environment if improperly managed. Total Ammoniacal Nitrogen (TAN) concentrations in animal manure range from 500 to 6000 mg L−1 [4]. Currently, most nitrogen fertilisers are produced via the Haber–Bosch process. This process is known to be energy-intensive and environmentally damaging. Therefore, nitrogen recovery from waste streams can help address the global need for fertiliser and reduce emissions to the atmosphere as well as the nitrogen load on wastewater treatment plants and downstream effluent-receiving waters [5].
Nitrogen recovery from agricultural manure is possible through methods such as NH3 stripping, struvite precipitation, and membrane separation [6]. NH3 stripping is the most advanced technology within the European Union (EU), as noted by Rizzioli et al. [6]. It removes TAN from manure by transferring it to the gas phase and then capturing it in an acid solution, typically sulfuric acid (H2SO4), to produce ammonium sulphate (AS) [7,8]. NH3 stripping is regarded as an effective technique, capable of achieving nitrogen removal rates of up to 90–95% in just a few hours [9]. This process can be carried out in packed-bed towers to maximise the surface area for mass transfer, necessitating the addition of heat or chemical additives and a high removal of solids in the slurry to prevent clogging of the stripping column [10]. Although it is implemented in waste treatment plants [11], the application of NH3 stripping on livestock farms remains quite limited. Struvite precipitation enables the recovery of phosphorus and NH3 as an ammonium magnesium phosphate hexahydrate ((NH4)Mg(PO4)·6H2O). This method is mainly utilised in the municipal wastewater sector, especially for treating anaerobic sewage sludge digestates, but its use within agriculture is relatively rare, as outlined by Rizzioli et al. [6].
The separation of the digestate and manure into a liquid and solid fraction is recommended for reducing animal waste volumes and the costs associated with transportation [12]. However, solid–liquid separation does not guarantee a high recovery of nutrients still available in the liquid fraction.
The membrane separation process has shown potential for NH3 recovery from wastewater. Membrane contactors have generated considerable interest for controlling NH3 in industrial applications, as well as carbon dioxide and fluid deoxidation [13]. Membrane contactors have potential to be a suitable technology for the removal and recovery of NH3 in wastewater and agricultural manure because the operation of the membrane contactor is relatively simple. During liquid-phase operation, ammonia from the manure solution diffuses across the hydrophobic membrane into an acidic receiving solution (typically H2SO4), resulting in the direct formation of liquid fertilisers such as ammonium sulphate or ammonium sodium nitrate [14,15]. Hydrophobic membrane contactors have the advantage of operating at ambient temperature, and acids in the receiving solution can react with NH3, maintaining a high NH3 concentration gradient across the membrane, which is the driving force of transmembrane transport. This method can achieve the selective separation of NH3 with minimal energy and chemical input, which can effectively reduce the cost of the recovery process. Among different types of membrane module configurations, Hollow Fibre Membrane Contactors (HFMCs) have the advantages of high packing density and large surface area per volume over other membrane modules, which results in high efficiency and relative cost savings of widespread application in NH3 recovery from wastewater [16].
Membrane fouling remains a persistent challenge in HFMCs treating complex feeds such as animal manure. Therefore, solid–liquid separation is a critical pretreatment step in NH3 recovery from agricultural manure, as it enhances the performance and longevity of downstream processes. Solids can cause operational issues like foaming, clogging, and fouling and may carry reactive compounds that interfere with recovery efficiency or product purity [17,18]. Separating the solid fraction not only facilitates the recovery of valuable resources such as phosphorus and organic matter but also helps reduce solids and organic load in the liquid phase. Nonetheless, pathogens and dissolved organics can persist in the liquid fraction, which may interfere with downstream processes. Therefore, appropriate pretreatment, such as solid–liquid separation or filtration, is essential to enhance process efficiency, protect equipment, and improve the overall sustainability of ammonia recovery systems.
Analysing animal slurry particle sizes is challenging due to a lack of standardised methods. While sieving is common, particles under 1 μm (colloids) are hard to remove due to their unique movement. Different slurries have varying particle distributions; for instance, pig slurry typically has a higher proportion of smaller particles than cattle slurry [19]. Microbial degradation processes, including anaerobic digestion and natural aging during storage, progressively break down undigested material, leading to a higher proportion of smaller particles in older manure. Understanding the nutrient content within these particle fractions is crucial, as a large portion of the nitrogen (N) and phosphorus (P) in cattle slurry is found in specific size ranges. However, data on nutrient content in fine particles within the micrometre range (below 15 µm, 8 µm, and 1.2 µm) are still limited, while submicron particles were not considered in this study [4].
Fouling in HFMCs is known to be caused by organic macromolecules, especially proteins, which adsorb onto or into the membrane, forming gel layers that increase membrane-side resistance and lower the local mass-transfer coefficient (km) [20,21]. Another source of fouling, Total Suspended Solids (TSS), promote the development of particulate cake or roughness layers, raising shell-side resistance and reducing shell-side mass transfer coefficient (ks) [22]. Most traditional mass transfer correlations do not explicitly consider these foulants. Conventional Sherwood-style or concentration-polarisation models for km and ks are typically based on flow conditions and physical properties, and seldom include foulant concentration as a variable. Few studies have proposed corrections for concentration-dependent or TSS-modulated mass-transfer coefficients in HFMCs. Key findings from AlSawaftah et al. [23] include the governing roles of feed composition, hydrodynamics, and membrane properties in pressure-driven fouling, and that mitigation relies on pretreatment, optimized strategies, and predictive models for pore blocking, cake formation, and concentration polarization. Yang et al. [24] further demonstrated that extending these models with attachment coefficients, and applying computational fluid dynamics, Monte Carlo simulations, and machine learning, offers deeper insights. Although much work targets desalination and water treatment, these fouling mechanisms are equally relevant to gas–liquid membrane contactors.
In line with these theoretical insights, experimental work has shown that additional resistances beyond those predicted by clean hydrodynamic correlations must be considered. For example, Mavroudi et al. [25] demonstrated that CO2 absorption in water using HFMCs is initially controlled by the liquid phase, but over time, partial pore wetting introduces a reversible membrane resistance. Even limited liquid penetration (<13% of the pore length) accounted for 21–53% of the total resistance, underscoring the importance of accounting for non-idealities in Resistance-In-Series (RIS) models.
Building on these theoretical and experimental foundations, the present work adapts the RIS concept to NH3 recovery from animal manure. Here, the focus is not on time-dependent wetting but on composition-dependent resistances arising from suspended solids and organic foulants, particularly proteins. This study examines a HFMC system for NH3 recovery from animal manure. A saturating fouling-resistance model was developed and used to quantify the effect of solid particle and protein concentrations on NH3 mass transfer. These findings allow for the validated model to be used for the design and scaling up of HFMC systems.

2. Materials and Methods

2.1. Ammonium Solution

In this study, both an ammonium solution and cattle manure were used to investigate the factors effecting mass transfer in a HFCM.
All chemicals and reagents utilised in this study were of analytical grade unless otherwise specified and were used as received without further purification. Specifically, ammonium chloride (NH4Cl) and gelatin from cold water fish skin (powder, MW: 60 kDa) (Sigma-Aldrich, St. Louis, MO, USA), sodium hydroxide (NaOH) (SAFC, St. Louis, MO, USA), sulfuric acid (95% H2SO4) (Fisher Chemical, Loughborough, UK) and hydrochloric acid (≥37% HCl, Product No. 30721-2.5L) (Honeywell Fluka, Charlotte, NC, USA). Probumin® Bovine Serum Albumin Vaccine Grade (Merck Life Science Limited, Darmstat, Germany) (powder, MW: 66 kDa) was also used.
To mimic proteins in manure the synthetic solutions were supplemented with Gelatin and Bovine Serum Albumin (BSA) [26,27]. The selection of a protein concentration range of 0.4 to 2 g/L for both BSA and gelatin in synthetic solutions were based on a literature review of protein concentrations in the liquid fraction of pre-treated animal manures [12,28]. While raw manure contains high total protein, a significant portion is associated with solid particles. The chosen range of 0.4, 0.8, 1.2, 1.6, and 2 g/L aims to realistically simulate the concentration of proteinaceous foulants present in finely filtered manure. BSA was selected as a representative globular protein commonly used in fouling studies, while gelatin was chosen to explore the impact of more fibrous or gel-forming protein characteristics, both of which can be found in the complex organic matrix of manure filtrates.

2.2. Manure Characterisation

The cattle manure used in this study was collected from UCD Research Lyons farm Co Kildare, Ireland. The cattle manure was analysed, and the results are shown in Table 1. The following parameters were analysed for the raw manure samples, conducted under the following protocols in house: total solids (TS, method: SM-2540-B) [29], total suspended solids (TSS, method: SM-2540-D) [30], and total volatile solids (TVS, methods: SM-2540-E) [31].

2.3. Pre-Treatment: Manure Filtration

The manure was initially passed through a stainless-steel electric-driven tomato strainer (VEVOR, Suzhou, China) as a screw press (mesh size 1.5 mm) and was then subsequently filtered using progressively smaller filter sizes. The filters used had pore sizes of 37 μm, 15 µm, 8 µm, and 1.2 µm. Figure 1 illustrates the filtration procedure, where F1, F2, and F3 represent feed streams with filtration sizes of 15 µm, 8 µm, and 1.2 µm, respectively. Filtrate, which has passed through the 1.2 µm filters, has primarily soluble and colloidal organic matter, including proteins remaining. The filtered manure sample was diluted (1:100) following filtration, and the ammonium concentrations were adjusted back to the original manure sample concentration by adding NH4Cl. Protein concentration in the filtered manure was determined following filtration through a 1.2 µm membrane.

2.4. HFMC System and Operation

A schematic representation of the experimental setup used for NH3 removal is shown in Figure 2. It consisted of an HFMC (1 × 5.5 Liqui-Cel Membrane Contactor X-50 PP fibre) (3M Company, St Paul, MN, USA). The HFMC module worked in an open loop and a counter-current mode. Silicone flexible tubes connected the two tanks, containing feed and acid stripping solutions, which were pumped to the lumen and shell sides, respectively.
This lab system was prepared following the methodology proposed previously by Zhang et al. [32] as an open-loop system. Table 2 provides the details of the 1 × 5.5 Liqui-Cel Membrane.
The stripping solution was pumped and circulated into the lumen side by using a peristaltic dosing pump (SEKO), while the feed was pumped into the shell side of the membrane module using a Masterflex L/S Compact Drive peristaltic pump (Cole-Parmer, Vernon Hills, IL, USA). These types of pumps allow an easily adjustable flow rate. A 1 mol L−1 sodium hydroxide solution was used to adjust the pH of the feed to 11, and 0.25 mol L−1 sulfuric acid solution was used as the stripping solution. All the tests, including process time, sample collection, and flow rate adjustment, ran for 3.0 h. Experiments were carried out at various feed flowrates according to the operating conditions outlined in Table 3.

2.5. Analytical Methods

TAN concentration throughout the recovery process was monitored using an Orion™ AquaMate™ 9500 Portable Multiparameter Meter (ThermoFischer Scientific, Waltham, MA, USA) coupled with an Orion™ 9512HPBNWP Ammonia Electrode (ThermoFischer Scientific, Waltham, MA, USA). This setup allowed for accurate and real-time measurement of NH3 levels following each flowrate adjustment. To ensure optimal conditions for NH3 stripping, the pH of all feed solutions was adjusted to 11 using an Orion™ Star A111 pH Benchtop Meter (ThermoFischer Scientific, Waltham, MA, USA). Before starting the recovery process, the concentrations of proteins, gelatin, and BSA in the feed solutions were determined using a NanoDrop One/OneC Microvolume UV-Vis Spectrophotometer (ThermoFischer Scientific, Waltham, MA, USA).
Only the clearest filtered manure (F3) could be measured for protein because F1 and F2 were too turbid and dark, causing light scattering, unstable baselines, and instrument errors. Therefore, protein values for F1 and F2 were not directly measurable and were instead treated as estimated “protein-equivalent foulant” inputs (based on the F1 value).
To assess membrane fouling and its reversibility, a standardised test was conducted using an ammonium solution both before and after each experiment. This allowed for evaluation of the membrane’s performance decline and potential for recovery. Following each set of experiments utilising manure and protein-containing samples, the membrane contactor underwent a thorough cleaning procedure based on the methodology outlined in Zarebska et al. [27]. This established cleaning protocol aimed to mitigate fouling and restore membrane performance for subsequent experimental runs. Table 4 provides details related to the size of the filter, dilution, and TSS and protein concentrations of experiments for this study.

2.6. Theoretical Model Development

Overall mass transfer efficiency (Kov) for NH3 transport was determined by Equation (1).
K o v = Q A l n C 0 C
where Q is the feed (ammonium solution/the manure) flowrate (m3 s−1), A is the membrane area (m2), and C0 is N-NH3 concentration in influent, and C is N-NH3 concentration in effluent.
A RIS model was developed to describe NH3 transfer through the HFMC. The overall mass transfer coefficient (Kov) was expressed by Equation (2) [33].
1 K o v = 1 k m + 1 k s + 1 k l
where ks, km, and kl represent the shell-side, membrane, and lumen-side mass transfer coefficients, respectively. Since the lumen side contained a strong acid solution, the concentration of NH3 in the bulk liquid was assumed to be negligible. Therefore, the lumen resistance term (1/kl) was neglected [34].
1 K o v = 1 k m + 1 k s
The shell-side mass transfer coefficient (ks) can be predicted by Sherwood correlations in the general form [35]:
S h =   k s d e D A , w = A f ( Φ ) ( d e l ) B R e C S c D
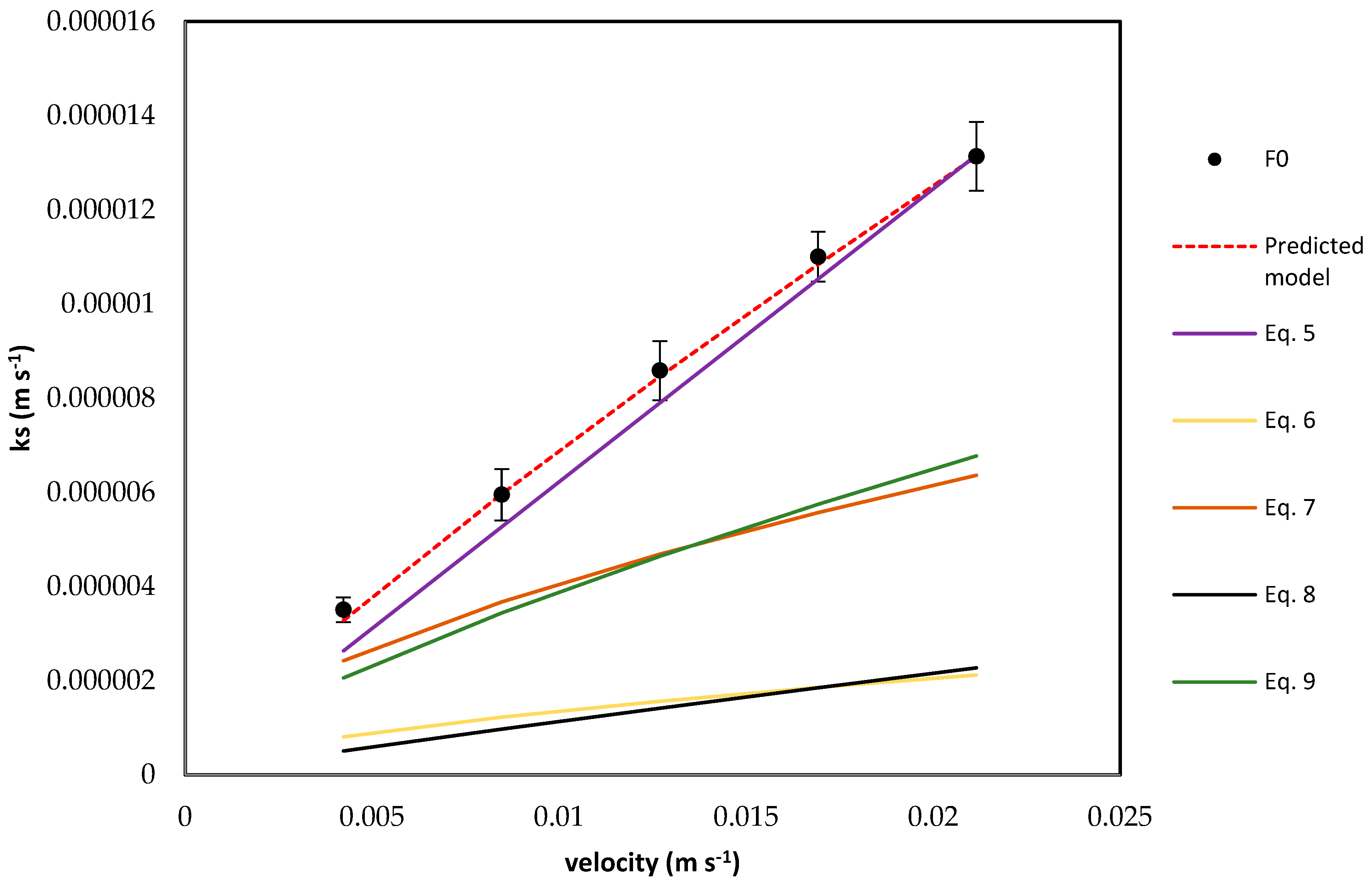
where DA,w is the diffusion of NH3 in water (m2 s−1), de and l are the hydraulic diameter, and the length of fibre respectively, A, B, C, and D are constants from the correlation of the experimental data and f(Φ) is a function of packing densities. Re and Sc are Reynolds and Schmit numbers, respectively. There are more than 30 Sherwood correlations in the literature to predict the mass transfer coefficient on the shell side [35,36]. The correlation varied with module type, Reynolds number, packing fraction, and feed flow rate. Table 5 shows the five chosen Sherwood correlations which align with the experimental process conditions.
The membrane mass transfer coefficient can be calculated by the following equation [34]:
k m =   D A , m H   ε τ δ
where DA,m, H, ε, τ, and δ are the diffusion coefficient of NH3 in membrane pores, dimensionless Henry’s law constant, porosity, tortuosity, and wall thickness of hollow fibre, respectively.
Diffusion of NH3 in membrane pores can be calculated by Equation (11).
1 D A , m = 1 D k n + 1 D A , a i r
where Dkn is the Knudsen diffusion diffusivity (m2 s−1) and can be calculated by Equation (12). DA,air is NH3 diffusivity in air (m2 s−1) and equals 1.89 × 10−5 m2 s−1.
D k n = d p 3 8 R T π M
where M, R, and dp are the molecular weight of NH3 (g mol−1), universal gas constant (J mol−1 K−1), and pores diameter (m), respectively.

2.7. Incorporation of Fouling

The impact of suspended solids and organic foulants on mass transfer was incorporated through empirical additional resistance functions. On the shell side, TSS concentration was used as a correction factor in Equation (13), and in the membrane, protein concentration was applied as an indicator of pore fouling and adsorption in Equation (14).
k s , p r e d = k s , c l e a n f ( T S S )
k m , p r e d = k m f ( C P )
where f(TSS) represents the reduction in shell-side mass transfer caused by suspended solids and f(Cp) is an empirically determined reduction factor caused by protein concentration.
The effective membrane coefficient was also estimated by back-calculation from experimental data:
1 k m , e f f , e x p = 1 K o v , e x p 1 k s , p r e d
The experimentally determined km,eff,exp values were compared with the model-predicted km,pred obtained from the proposed penalty function. Comparison of the two methods (penalty-based vs. back-calculated) provided independent estimates of the membrane contribution to the total resistance.

2.8. Model Calibration and Validation

Experimental NH3 concentrations were determined by measuring inlet and outlet concentrations of the manure side and absorbent side using an ion-selective electrode.
The accuracy of model predictions was evaluated by comparison with experimental data. Model performance was assessed using Root Mean Square Error (RMSE) and Mean Absolute Percentage Error (MAPE). Additionally, a 1:1 parity plot was used to visually assess the agreement between predicted and observed coefficients. All data analysis and parameter estimation were performed using the Solver add-in in Microsoft Excel (Microsoft Corporation, Redmond, WA, USA).

3. Results and Discussion

The RIS model was used to investigate the NH3 mass transfer in the open-loop HFMC. Based on the model, to get the overall mass transfer coefficient (kov), mass transfer in the shell side (ks) and membrane pore (km) should be predicted. The overall mass-transfer coefficient was interpreted with RIS on a liquid-phase basis by neglecting lumen-side resistance in Equation (4).

3.1. Experimental Validation of Shell-Side Mass Transfer Correlations

The five empirical correlations presented in Table 4 were compared with the experimental data. A new correlation for ks prediction given by Equation (16) was developed and validated by experimental ks values. Shell-side coefficients were regressed on the synthetic dataset using Equation (16). Figure 3 shows that the experimental and predicted ks (R2 = 0.998) increase with increasing feed velocities over the range 0.0042–0.0212 m/s.
S h c l e a n = 12.42 d e L R e 0.86 S c 0.33
Figure 3 reveals clear differences between correlations. Correlations that (i) use superficial rather than interstitial velocity, (ii) adopt the different characteristic length (hydraulic diameter instead of fibre OD) (Equations (6) and (8)), or (iii) assume different packing or geometry tend to over-predict at low velocity or under-predict at high velocity. The baseline predicted Sherwood number from the clean solution curve aligns with the ammonium solution across the entire velocity range, whereas several literature correlations deviate in slope and intercept. This figure supports the decision to recalibrate the clean Sherwood correlation on the module and to treat matrix effects as penalties layered on that baseline, rather than reusing off-the-shelf correlations.

3.2. Effect of Solids Concentration on Mass Transfer

The effect of TSS on mass transfer can be captured with a single multiplicative penalty on the Sherwood correlation Shpred = f(TSS)Shclean. In Equation (17), α, β, and γ are constants (Table 6), and the TSS scale was chosen as 110 mg L−1 to stabilise the fit.
f T S S = 1 ( 1 + α ( T S S T S S s c a l e ) β ) γ
The fixed vertical gaps between TSS levels at a given velocity is captured by the single f(TSS) multiplier, confirming that filtration acts on the shell film, not on the hydrodynamic slope [42].
Using the proposed correlation Equation (16), the effect of solids concentration was investigated. Figure 4 plots the Sherwood and Reynolds number for experiments carried out with increasing TSS concentrations. It can be observed that increasing TSS concentrations lead to a reduction in the Sh number for a given Re number. Fitted linear correlations between Sh and Re show that F1, F2, and F3 are almost parallel with the slope of approx. 0.21, while the ammonium solution has a slope of 0.27. This shows that the predictions correlate very well with experimental results. When the parameters Sh vs. Re are plotted, the data points corresponding to the lowest Re of 2.47 were omitted from the Figure 4 as they deviated from the general trend and obscured the linear relationship.
Plotting the change in mass transfer coefficient with changing velocity for the four samples shows that the mass transfer coefficient decreases significantly with an increase in solids concentration (Figure 5). The increase of Kov with velocity in Figure 4 reflects film thinning. This indicates external boundary-layer effects (viscosity/turbulence damping and thin cake/gel), rather than changes in hydrodynamic scaling [43]. Figure 5 through the corresponding datasets, indicates that suspended solids primarily act by increasing shell-side resistance rather than altering the flow exponent [44].

3.3. Effect of Proteins on the Membrane Coefficient

The mass transfer rate of ammonium was measured for solutions with a BSA and gelatine concentrations of 0.4–2 g L−1, and using Equation (15) the effective membrane coefficient for each run was determined.
Figure 6 shows km,eff,exp decreasing with increasing protein concentrations, for both BSA and gelatin. No impact of a change in km was observed with the change in velocity but there was a slight difference in km between BSA and gelatin. These results are consistent with adsorption/partial wetting occurring and increasing membrane resistance [45].
A compact three-parameter model captures the decline in km for both proteins with two different parameter sets, despite the differences in molecular weight and size for each protein. However, we recommend defining single parameters of αp, βp, and γp for proteins in the cattle manure when assessing membrane mass transfer coefficients.
The proteins were modelled with a three-parameter penalty on km:
f ( C p ) = 1 ( 1 + α p ( C p C p   s c a l e ) β p ) γ p ,
By using Cp,scale = 0.4 g/L and αp, βp, and γp, from Table 7, fitted to BSA and gelatin protein data, which reproduced the data, the km,eff,exp trend (Figure 4, dashed line).
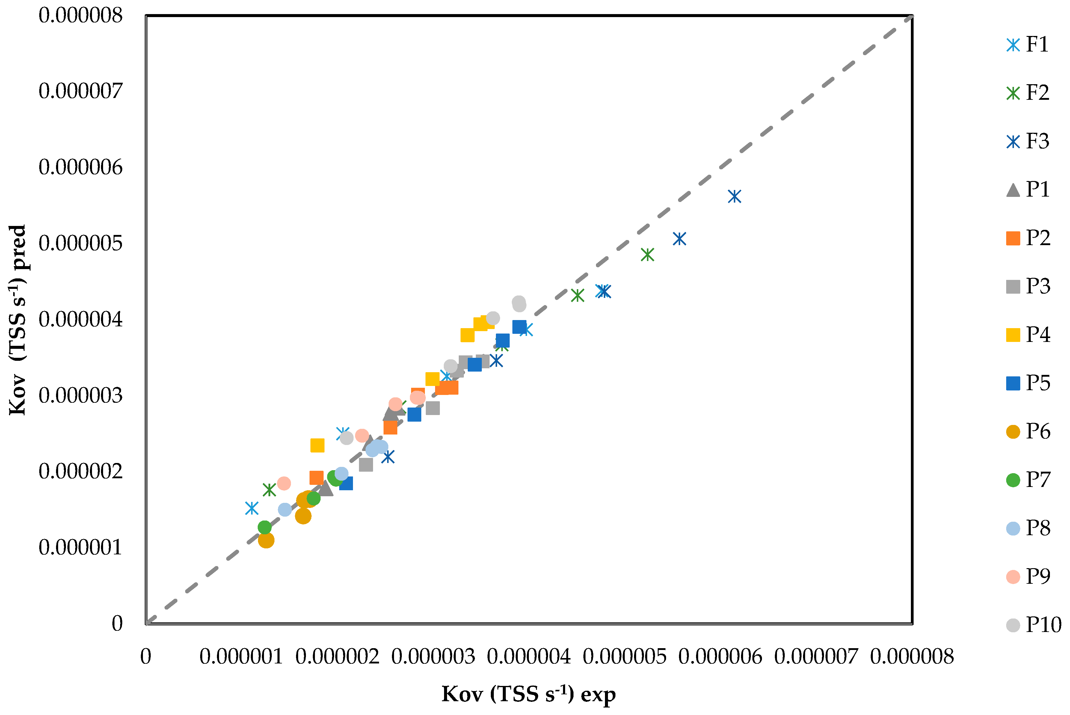
Figure 7 shows Kov-pred vs. Kov-exp for both protein concentration evaluation and TSS concentration evaluation. Equations (19)–(22) show how the Kov,pred, ks,pred, and km,pred for BSA and gelatin were calculated, respectively. It was not possible to measure protein concentrations in F1 and F2 by the NanoDrop method due to particle interference. Protein concentration in F3 was measured at 0.018 mg L−1 and, using this value, protein in F1 and F2 was estimated, using a proportionality to the measured TSS by Equation (18). Incorporating these Cp values into km,eff(Cp) changed Kov by <1% across velocities; thus, Figure 5 differences are governed by the TSS (film-side) effect.
It is necessary to mention that for the calculation of Kov,pred for TSS evaluation, km(Cp) and ks(TSS) were considered. This figure shows good agreement across sizes (MAPE = [7.46]%).
1 K o v , p r e d = 1 k s , p r e d + 1 k m , p r e d ,
k s , p r e d = k s , c l e a n   1 ( 1 + 0.28 ( T S S 110 ) 1.06 ) 0.77   ,
k m , p r e d B S A = k m ( 1 + 0.53 ( C p 0.4 ) 0.38 ) 2.3 ,
k m , p r e d   g e l a t i n = k m 0 ( 1 + 0.76 ( C p 0.4 ) 0.58 ) 2 ,
By utilizing the ks,pred in conjunction with km,eff,pred(Cp), precise predictions of the Kov values across various conditions, including clean samples, filtrate, and intentional protein additions, can be achieved. Figure 7 demonstrates a near unit slope with a small intercept, indicating random residuals without bias concerning Re, TSS, or Cp. This supports the simplicity of employing one hydrodynamic slope along with two compact penalties applied consistently on a liquid-phase basis.

3.4. Model Prediction

Using Equations (20) and (22), Kov was predicted for TSS = 0–1100 mg L−1 and protein = 0–3 g/L (Figure 8). The model shows that Kov decreases with increasing TSS for all protein levels, and that dissolved protein has an even stronger penalising effect than TSS. For example, at negligible TSS, raising protein from 0 to 3 g/L reduces Kov by about 80%, whereas increasing TSS from 0 to 1100 mg L−1 at Cp = 0 g/L leads to a two- to three-fold drop. The model indicated that the dissolved protein concentration governs Kov, especially at higher Cp, at lower Cp both TSS and Cp influences Kov, but by increasing Cp the system becomes increasingly controlled by organic foulants rather than suspended solids. These predictions emphasise that effective pretreatment must target both solids and dissolved organics to sustain high mass transfer coefficients during NH3 recovery from manure-derived feeds.
The RIS model was calibrated and evaluated using the manure dataset within the experimentally tested concentration range; therefore, predictions outside this range are considered extrapolations and carry higher uncertainty. To further support the protein-related resistance term without turbidity-related measurement limitations, additional controlled tests using gelatine as a surrogate proteinaceous foulant over 0–5 g L−1 were performed. (Supplementary Information). Although gelatine does not fully represent the complexity of manure soluble organics, the additional data support the trend of increasing protein concentrations leading to increased membrane-related resistance. Accordingly, additional experiments at higher protein concentrations and using real manure at elevated concentrations would be beneficial in validating the model. Future work should validate the RIS model using independent manure datasets (including additional TSS/protein levels and different manure types) and extended-duration experiments to quantify time-dependent fouling and refine parameter robustness [13,46,47].

3.5. Practical Implications

Filtration of the manure to remove TSS lowers the shell-side resistance and makes Kov higher, but the improvements get smaller compared to the ammonium solution when TSS is already low because there are fewer solids left to remove. The single integrated model also gives useful design predictions for different matrices without the need to adjust hydrodynamics.
Figure 4 and Figure 5 show that post-filtration, there is an increase in Kov, but once TSS is already very low, the process is mainly limited by the membrane itself. Further filtration has little effect unless proteins are also reduced.
At a TSS concentration of 315 mg L−1, the main resistance comes from the shell liquid film, so raising the velocity is very effective at reducing the overall mass transfer resistance. When proteins are present, the membrane itself becomes the main barrier, and increasing velocity shows little improvement. In these cases, the results indicate that focusing on the membrane properties to increase the rate of mass transfer, for example, through cleaning, applying anti-wetting coatings, or adjusting maintenance practices. This is in keeping with the findings of Goh et al. [48] and Gruskevica and Mezule [49], who showed that protein-rich organic foulants can form a dense layer on the membrane surface under wastewater treatment conditions. This layer becomes the dominant resistance to mass transfer, leading to severe flux decline and wetting, and they highlighted that appropriate chemical or enzymatic cleaning is needed to recover the intrinsic membrane mass-transfer coefficient.
Residual proteins in filtrates, even at μg L−1 levels, can be accounted for via the term km,eff(Cp). For the ranges observed here, these residual proteins change Kov by well below 1%. Therefore, design choices for operation of the membrane contactor should be driven by reducing ks rather than km.
A limitation of this study is that residual Cp in the manure samples was measured for only one condition F1 and this value was used to estimate results for other cases. Conducting targeted experiments at various TSS levels without any associated proteins would improve accuracy and reduce uncertainty. Additionally, long-term effects such as progressive wetting and irreversible adsorption were not considered. Incorporating a time-dependent effective membrane mass transfer coefficient could facilitate monitoring of these changes. Furthermore, although the clean Sherwood slope was consistently applied across the module, it is necessary to evaluate the sensitivity of results to packing and bundle variations before generalizing to other systems.
Although this study captures how solid and dissolved foulants affect RIS mass transfer during short HFMC runs, no evaluation of how the system behaves over longer periods of continuous operation or repeated use were conducted. In real world applications, when membrane contactors treat real waste-derived streams, fouling can build up gradually: particles and organics can accumulate on the membrane surface, organics may adsorb over time, and partial wetting can develop. As these changes progress, the main resistance to mass transfer can change, and the removal efficiency may decline compared with the initial performance. Long-term studies and reviews consistently identify fouling and wetting as key constraints in membrane contactor-based ammonia recovery and emphasise the need for extended operation and cleaning-cycle evaluation when assessing practical applicability and scale-up [13,46,50].
The results of this study show that protein-induced km reduction can be described using protein molecular descriptors, rather than just an empirical factor. Specifically, αp, βp, and γp are expected to scale with molecular size and diffusivity, which can be represented by molecular weight and hydrodynamic radius, as well as with net charge at the operating pH, isoelectric point (pI), and hydrophobicity. However, the current dataset includes only two proteins, limiting robust assessment of relationships between αp, βp, γp, and these descriptors. Therefore, expanding the protein panel to cover a wider range of molecular weights, isoelectric points, and hydrophobicity is recommended to develop unified, descriptor-based functions for αp, βp, and γp.
This study used cattle manure only, so applying the results to other manure types should be done cautiously. Because slurry properties (especially particle size distribution and organic composition) vary with animal source and storage, the effectiveness of pretreatment, the rate of fouling/wetting, and the relative importance of shell-side vs. membrane-related resistances may change across different matrices [19,27,51,52]. Therefore, while the RIS framework should remain conceptually useful, its parameters and dominant resistances should be re-validated when switching feedstocks. As future work, it is recommended to extend this study to other manure types (e.g., pig slurry) under comparable operating conditions to test generalisability and refine model parameters accordingly.

4. Conclusions

This study investigated the performance of HFMCs for NH3 recovery from animal manure, with a particular focus on the role of pretreatment and organic foulants in determining the overall mass transfer coefficient. The results showed that the highest values of Kov were obtained with the clean synthetic solution, while the filtered manure exhibited reduced performance; manure with high TSS concentrations yielded the lowest values. These results show that suspended solids mainly increase shell-side resistance, whereas soluble organic fractions, such as proteins, reduce the membrane-coefficient through adsorption. The fixed reduction of Kov between samples across all velocities further confirmed that TSS acts mainly as an additional resistance, without altering the hydrodynamic slope. Through RIS analysis, the distinct contributions of solids and proteins were quantified. TSS effects were best captured by a correction to the shell-side coefficient, while protein effects were expressed through a concentration-dependent multiplier in the membrane-side coefficient. This dual resistance framework offers a new mechanistic understanding of how filtration pretreatment alters the limiting step of mass transfer in HFMC systems. Importantly, the NanoDrop analysis confirmed that even after 1.2 µm filtration, residual protein fractions remained in the manure, explaining the reduced km relative to the clean solution. These findings demonstrate that effective pretreatment strategies for manure-based NH3 recovery should prioritise suspended solids removal over soluble organic foulants.

Supplementary Materials

The following supporting information can be downloaded at: https://www.mdpi.com/article/10.3390/membranes16010015/s1, Figure S1: Overall mass transfer rate for experiments using clean water with increasing gelatine concentrations of 0.4–5 g/L for increasing liquid velocities.

Author Contributions

Conceptualization, N.A., D.K. and E.S.; methodology, N.A.; investigation, N.A.; resources, E.S., data curation, N.A.; writing—original draft preparation, N.A.; writing—review and editing, S.C., D.K. and E.S.; supervision, S.C., D.K. and E.S. All authors have read and agreed to the published version of the manuscript.

Funding

This research was funded by the Teagasc Walsh Scholarship Programme, grant number 2022007.

Data Availability Statement

The raw data supporting the conclusions of this article will be made available by the authors on request.

Acknowledgments

The authors would like to thank Faruk Can for technical support and advice. During the preparation of this manuscript, the authors used ChatGPT (GPT-4o, OpenAI) for assistance with language editing and text polishing. The authors have reviewed and edited the output and take full responsibility for the content of this publication.

Conflicts of Interest

The authors declare no conflicts of interest. The funders had no role in the design of the study; in the collection, analyses, or interpretation of data; in the writing of the manuscript; or in the decision to publish the results.

Nomenclature

Variables
KMass Transfer Coefficient (m·s−1)
CRAmmonia capture rate (g·h−1)
aMembrane area (m2)
QFeed flowrate (m3 s−1)
CConcentration of ammonia (mg L−1)
LLength of fibre (m)
dDiameter (m)
ΦPacking fraction
ReReynolds number
ScSchmit number
ShSherwood number
τTortuosity
δWall of fibre thickness (m)
HHenry’s law Constant (dimensionless)
εPorosity
RUniversal gas constant (J mol−1 K−1)
TTemperature (K)
MMolecular weight (g mol−1)
NNumber of Fibres
vVelocity (m s−1)
αConstant
βConstant
γConstant
Subscripts
KovOverall Mass Transfer Coefficient (m s−1)
kmMembrane Mass Transfer Coefficient (m s−1)
ksShell-side Mass Transfer Coefficient (m s−1)
C0Initial concentration of ammonia in influent (mg L−1)
CPInitial concentration of protein (g L−1)
kLLumen-side Mass Transfer Coefficient (m s−1)
deHydrodynamic Diameter (m)
dpPore Diameter (m)
DA,WAmmonia Diffusivity in water (m2 s−1)
DA,airAmmonia Diffusivity in air (m2 s−1)
DknKnudsen Diffusivity (m2 s−1)
DA,mAmmonia Diffusivity in membrane (m2 s−1)
kS,PREDShell-side Mass Transfer Coefficient predicted by Equation (13) (m s−1)
kS,CLEANShell-side Mass Transfer Coefficient predicted by ammonium solution (m s−1)
km,predMembrane Mass Transfer Coefficient predicted by Equation (14) (m s−1)
km,eff,expEffective Membrane Mass Transfer Coefficient (m s−1)
Kov,expOverall Mass Transfer Coefficient calculated by Equation (1) (m s−1)
LeffEffective module Length (cm)
TSSscaleInitial TSS considered in the experiment (mg L−1)
CP scaleInitial protein concentration considered in the experiment (mg L−1)
km0Back-calculated Membrane Mass Transfer Coefficient from experiments (m s−1)
αpProtein Constant for km calculation
βpProtein Constant for km calculation
γpProtein Constant for km calculation
Acronyms
TANTotal Ammoniacal Nitrogen
ASAmmonium Sulphate
EUEuropean Union
HFMCHollow Fibre Membrane Contactor
TSSTotal Suspended Solid
BSABovine Serum
RMSERoot Mean Square Error
MAPEMean Absolute Percentage Error
RISResistance In Series
ODOuter Diameter of fibre
µmMicrometre

References

  1. Palakodeti, A.; Azman, S.; Dewil, R.; Appels, L. Ammonia Recovery from Organic Waste Digestate via Gas–Liquid Stripping: Application of the Factorial Design of Experiments and Comparison of the Influence of the Stripping Gas. Sustainability 2022, 14, 17000. [Google Scholar] [CrossRef]
  2. Wyer, K.E.; Kelleghan, D.B.; Blanes-Vidal, V.; Schauberger, G.; Curran, T.P. Ammonia emissions from agriculture and their contribution to fine particulate matter: A review of implications for human health. J. Environ. Manag. 2022, 323, 116285. [Google Scholar] [CrossRef] [PubMed]
  3. Mancuso, G.; Habchi, S.; Maraldi, M.; Valenti, F.; El Bari, H. Comprehensive review of technologies for separate digestate treatment and agricultural valorisation within circular and green economy. Bioresour. Technol. 2024, 409, 131252. [Google Scholar] [CrossRef] [PubMed]
  4. Sommer, S.G.; Christensen, M.L.; Schmidt, T.; Jensen, L.S. Animal Manure: Recycling, Treatment, and Management; Wiley: Hoboken, NJ, USA, 2013. [Google Scholar]
  5. Kar, S.; Singh, R.; Gurian, P.L.; Hendricks, A.; Kohl, P.; McKelvey, S.; Spatari, S. Life cycle assessment and techno-economic analysis of nitrogen recovery by ammonia air-stripping from wastewater treatment. Sci. Total Environ. 2023, 857, 159499. [Google Scholar] [CrossRef]
  6. Rizzioli, F.; Bertasini, D.; Bolzonella, D.; Frison, N.; Battista, F. A critical review on the techno-economic feasibility of nutrients recovery from anaerobic digestate in the agricultural sector. Sep. Purif. Technol. 2023, 306, 122690. [Google Scholar] [CrossRef]
  7. Vaneeckhaute, C.; Lebuf, V.; Michels, E.; Belia, E.; Vanrolleghem, P.A.; Tack, F.M.G.; Meers, E. Nutrient Recovery from Digestate: Systematic Technology Review and Product Classification. Waste Biomass Valorization 2016, 8, 21–40. [Google Scholar] [CrossRef]
  8. Pandey, B.; Chen, L. Technologies to recover nitrogen from livestock manure—A review. Sci. Total Environ. 2021, 784, 147098. [Google Scholar] [CrossRef]
  9. Yang, D.; Chen, Q.; Liu, R.; Song, L.; Zhang, Y.; Dai, X. Ammonia recovery from anaerobic digestate: State of the art, challenges and prospects. Bioresour. Technol. 2022, 363, 127957. [Google Scholar] [CrossRef]
  10. Degermenci, N.; Yildiz, E. Ammonia stripping using a continuous flow jet loop reactor: Mass transfer of ammonia and effect on stripping performance of influent ammonia concentration, hydraulic retention time, temperature, and air flow rate. Environ. Sci. Pollut. Res. Int. 2021, 28, 31462–31469. [Google Scholar] [CrossRef]
  11. Brienza, C.; Donoso, N.; Luo, H.; Vingerhoets, R.; de Wilde, D.; van Oirschot, D.; Sigurnjak, I.; Biswas, J.K.; Michels, E.; Meers, E. Evaluation of a new approach for swine wastewater valorisation and treatment: A combined system of ammonium recovery and aerated constructed wetland. Ecol. Eng. 2023, 189, 106919. [Google Scholar] [CrossRef]
  12. Camilleri-Rumbau, M.S.; Briceño, K.; Søtoft, L.F.; Christensen, K.V.; Roda-Serrat, M.C.; Errico, M.; Norddahl, B. Treatment of Manure and Digestate Liquid Fractions Using Membranes: Opportunities and Challenges. Int. J. Environ. Res. Public Health 2021, 18, 3107. [Google Scholar] [CrossRef] [PubMed]
  13. Li, Y.; Hu, X.; Wu, Z.; Sun, Y. Review of liquid-liquid hollow fiber membrane contactor for ammonia recovery from wastewater: Membrane, feed and receiving solution. J. Environ. Chem. Eng. 2024, 12, 113515. [Google Scholar] [CrossRef]
  14. Reig, M.; Vecino, X.; Aguilar-Moreno, M.; Valderrama, C.; Cortina, J.L. Ammonia Valorization by Liquid-Liquid Membrane Contactors for Liquid Fertilizers Production: Experimental Conditions Evaluation. Membranes 2022, 12, 663. [Google Scholar] [CrossRef] [PubMed]
  15. Aguilar-Moreno, M.; Lopez, J.; Guillen-Burrieza, E.; Reig, M.; Valderrama, C.; Cortina, J.L. Ammonium recovery and concentration from synthetic wastewater using a poly(4-methyl-1-pentene) (PMP) liquid–liquid membrane contactor: Flux performance and mass transport characterization. Sep. Purif. Technol. 2023, 326, 124657. [Google Scholar] [CrossRef]
  16. Zielinska, M.; Bulkowska, K. Use of Membrane Techniques for Removal and Recovery of Nutrients from Liquid Fraction of Anaerobic Digestate. Membranes 2025, 15, 45. [Google Scholar] [CrossRef]
  17. Vítěz, T.; Hanišáková, N.; Suchý, P.; Tejchmanová, P.; Kudělka, J.; Koutný, T.; Lochman, J.; Novák, D.; Vítězová, M. Biomethane Production from Stillage: The Role of Temperature, Initial Substrate Load, and Inoculum Variability. ACS Omega 2025, 10, 43687–43697. [Google Scholar] [CrossRef]
  18. Fagbohungbe, M.O.; Dodd, I.C.; Herbert, B.M.J.; Li, H.; Ricketts, L.; Semple, K.T. High solid anaerobic digestion: Operational challenges and possibilities. Environ. Technol. Innov. 2015, 4, 268–284. [Google Scholar] [CrossRef]
  19. Møller, H.B.; Sommer, S.G.; Ahring, B.K. Separation efficiency and particle size distribution in relation to manure type and storage conditions. Bioresour. Technol. 2002, 85, 189–196. [Google Scholar] [CrossRef]
  20. Huisman, I.H.; Prádanos, P.; Hernández, A. The effect of protein-protein and protein-membrane interactions on membrane fouling in ultrafiltration. J. Membr. Sci. 2000, 179, 79–90. [Google Scholar] [CrossRef]
  21. Zydney, L.J.; Zydney, A.L. Microfiltration and Ultrafiltration: Principles and Applications; Marcel Dekker, Inc.: New York, NY, USA; Basel, Switzerland, 1996. [Google Scholar]
  22. Uppu, A.; Chaudhuri, A.; Das, S.P. Numerical modeling of particulate fouling and cake-enhanced concentration polarization in roto-dynamic reverse osmosis filtration systems. Desalination 2019, 468, 114053. [Google Scholar] [CrossRef]
  23. AlSawaftah, N.; Abuwatfa, W.; Darwish, N.; Husseini, G. A Comprehensive Review on Membrane Fouling: Mathematical Modelling, Prediction, Diagnosis, and Mitigation. Water 2021, 13, 1327. [Google Scholar] [CrossRef]
  24. Yang, H.; Yu, X.; Liu, J.; Tang, Z.; Huang, T.; Wang, Z.; Zhong, Q.; Long, Z.; Wang, L. A Concise Review of Theoretical Models and Numerical Simulations of Membrane Fouling. Water 2022, 14, 3537. [Google Scholar] [CrossRef]
  25. Mavroudi, M.; Kaldis, S.P.; Sakellaropoulos, G.P. A study of mass transfer resistance in membrane gas–liquid contacting processes. J. Membr. Sci. 2006, 272, 103–115. [Google Scholar] [CrossRef]
  26. Wang, L.T.; Chen, Y.H.; Chang, W.T.; Kumar, S.R.; Chen, C.C.; Lue, S.J. Separation Mechanisms and Anti-Fouling Properties of a Microporous Polyvinylidene Fluoride-Polyacrylic Acid-Graphene Oxide (PVDF-PAA-GO) Composite Membrane with Salt and Protein Solutions. Membranes 2022, 13, 40. [Google Scholar] [CrossRef] [PubMed]
  27. Zarebska, A.; Karring, H.; Christensen, M.L.; Hjorth, M.; Christensen, K.V.; Norddahl, B. Ammonia Recovery from Pig Slurry Using a Membrane Contactor—Influence of Slurry Pretreatment. Water Air Soil Pollut. 2017, 228, 150. [Google Scholar] [CrossRef]
  28. Wang, Q.; Fang, K.; He, C.; Wang, K. Ammonia removal from municipal wastewater via membrane capacitive deionization (MCDI) in pilot-scale. Sep. Purif. Technol. 2022, 286, 120469. [Google Scholar] [CrossRef]
  29. SM-2540-B; 2540 B. Total Solids Dried from 103 to 105 °C. APHA Press: Washington, DC, USA, 2023.
  30. SM-2540-D; 2540 D. Total Suspended Solids Dried from 103 to 105 °C. APHA Press: Washington, DC, USA, 2023.
  31. SM-2540-E; 2540 E. Fixed and volatile solids ignited at 550 °C. APHA Press: Washington, DC, USA, 2023.
  32. Zhang, J.; Xie, M.; Tong, X.; Liu, S.; Qu, D.; Xiao, S. Recovery of ammonium nitrogen from human urine by an open-loop hollow fiber membrane contactor. Sep. Purif. Technol. 2020, 239, 116579. [Google Scholar] [CrossRef]
  33. Rivero, J.R.; Panagakos, G.; Lieber, A.; Hornbostel, K. Hollow Fiber Membrane Contactors for Post-Combustion Carbon Capture: A Review of Modeling Approaches. Membranes 2020, 10, 382. [Google Scholar] [CrossRef]
  34. Zhu, Z.; Hao, Z.; Shen, Z.; Chen, J. Modified modeling of the effect of pH and viscosity on the mass transfer in hydrophobic hollow fiber membrane contactors. J. Membr. Sci. 2005, 250, 269–276. [Google Scholar] [CrossRef]
  35. Shen, S.; Kentish, S.E.; Stevens, G.W. Shell-Side Mass-Transfer Performance in Hollow-Fiber Membrane Contactors. Solvent Extr. Ion. Exch. 2010, 28, 817–844. [Google Scholar] [CrossRef]
  36. Estay, H.; Troncoso, E.; Ruby-Figueroa, R.; Romero, J. Performance evaluation of mass transfer correlations in the GFMA process: A review with perspectives to the design. J. Membr. Sci. 2018, 554, 140–155. [Google Scholar] [CrossRef]
  37. Dahuron, L.; Cussler, E.L. Protein extractions with hollow fibers. AIChE J. 2004, 34, 130–136. [Google Scholar] [CrossRef]
  38. Prasad, R.; Sirkar, K.K. Dispersion-free solvent extraction with microporous hollow-fiber modules. AIChE J. 2004, 34, 177–188. [Google Scholar] [CrossRef]
  39. Basu, R.; Prasad, R.; Sirkar, K.K. Nondispersive membrane solvent back extraction of Phenol. AIChE J. 2004, 36, 450–460. [Google Scholar] [CrossRef]
  40. Yang, M.C.; Cussler, E.L. Designing hollow-fiber contactors. AIChE J. 2004, 32, 1910–1916. [Google Scholar] [CrossRef]
  41. Viegas, R.; Rodríguez, M.; Luque, S.; Alvarez, J.; Coelhoso, I.; Crespo, J. Mass transfer correlations in membrane extraction: Analysis of Wilson-plot methodology. J. Membr. Sci. 1998, 145, 129–142. [Google Scholar] [CrossRef]
  42. Aguilar-Moreno, M.; Vinardell, S.; Reig, M.; Vecino, X.; Valderrama, C.; Cortina, J.L. Impact of Sidestream Pre-Treatment on Ammonia Recovery by Membrane Contactors: Experimental and Economic Evaluation. Membranes 2022, 12, 1251. [Google Scholar] [CrossRef]
  43. Khaisri, S.; deMontigny, D.; Tontiwachwuthikul, P.; Jiraratananon, R. A mathematical model for gas absorption membrane contactors that studies the effect of partially wetted membranes. J. Membr. Sci. 2010, 347, 228–239. [Google Scholar] [CrossRef]
  44. Zarebska, A.; Amor, Á.C.; Ciurkot, K.; Karring, H.; Thygesen, O.; Andersen, T.P.; Hägg, M.-B.; Christensen, K.V.; Norddahl, B. Fouling mitigation in membrane distillation processes during ammonia stripping from pig manure. J. Membr. Sci. 2015, 484, 119–132. [Google Scholar] [CrossRef]
  45. Palacio, L.; Calvo, J.I.; Prádanos, P.; Hernández, A.; Väisänen, P.; Nyström, M. Contact angles and external protein adsorption onto UF membranes. J. Membr. Sci. 1999, 152, 189–201. [Google Scholar] [CrossRef]
  46. Darestani, M.; Haigh, V.; Couperthwaite, S.J.; Millar, G.J.; Nghiem, L.D. Hollow fibre membrane contactors for ammonia recovery: Current status and future developments. J. Environ. Chem. Eng. 2017, 5, 1349–1359. [Google Scholar] [CrossRef]
  47. Chan, R.; Chen, V. Characterization of protein fouling on membranes: Opportunities and challenges. J. Membr. Sci. 2004, 242, 169–188. [Google Scholar] [CrossRef]
  48. Goh, S.; Zhang, J.; Liu, Y.; Fane, A.G. Fouling and wetting in membrane distillation (MD) and MD-bioreactor (MDBR) for wastewater reclamation. Desalination 2013, 323, 39–47. [Google Scholar] [CrossRef]
  49. Gruskevica, K.; Mezule, L. Cleaning Methods for Ceramic Ultrafiltration Membranes Affected by Organic Fouling. Membranes 2021, 11, 131. [Google Scholar] [CrossRef]
  50. Zhu, Y.; Chang, H.; Yan, Z.; Liu, C.; Liang, Y.; Qu, F.; Liang, H.; Vidic, R.D. Review of ammonia recovery and removal from wastewater using hydrophobic membrane distillation and membrane contactor. Sep. Purif. Technol. 2024, 328, 125094. [Google Scholar] [CrossRef]
  51. Fangueiro, D.; Gusmão, M.; Grilo, J.; Porfírio, G.; Vasconcelos, E.; Cabral, F. Proportion, composition and potential N mineralisation of particle size fractions obtained by mechanical separation of animal slurry. Biosyst. Eng. 2010, 106, 333–337. [Google Scholar] [CrossRef]
  52. Serra-Toro, A.; Abboud, Y.B.H.; Cardete-Garcia, M.A.; Astals, S.; Valentino, F.; Mas, F.; Dosta, J. Ammoniacal nitrogen recovery from swine slurry using a gas-permeable membrane: pH control strategies and feed-to-trapping volume ratio. Environ. Sci. Pollut. Res. Int. 2025, 32, 27625–27636. [Google Scholar] [CrossRef]
Figure 1. Schematic of the steps taken for pretreatment of the cow manure for solid–liquid filtration prior to ammonia recovery.
Figure 1. Schematic of the steps taken for pretreatment of the cow manure for solid–liquid filtration prior to ammonia recovery.
Membranes 16 00015 g001
Figure 2. Open loop process, with number representation as follows: 1. Ammonium solution/filtered manure reservoir, 2, 4. pumps, 3. Hollow Fibre Membrane Contactor, 5. absorption solution (sulfuric acid) reservoir, and 6. stripped solution/filtered manure.
Figure 2. Open loop process, with number representation as follows: 1. Ammonium solution/filtered manure reservoir, 2, 4. pumps, 3. Hollow Fibre Membrane Contactor, 5. absorption solution (sulfuric acid) reservoir, and 6. stripped solution/filtered manure.
Membranes 16 00015 g002
Figure 3. Comparison of experimentally measured shell-side mass transfer coefficient with chosen empirical Sherwood correlations in Table 4.
Figure 3. Comparison of experimentally measured shell-side mass transfer coefficient with chosen empirical Sherwood correlations in Table 4.
Membranes 16 00015 g003
Figure 4. Comparison of predicted shell-side mass transfer, including TSS penalty for different filtration sizes. Dashed lines indicate Kov calculated by predicted ks.
Figure 4. Comparison of predicted shell-side mass transfer, including TSS penalty for different filtration sizes. Dashed lines indicate Kov calculated by predicted ks.
Membranes 16 00015 g004
Figure 5. Plot of Sherwood and Reynolds numbers from experiments carried out at different TSS concentrations.
Figure 5. Plot of Sherwood and Reynolds numbers from experiments carried out at different TSS concentrations.
Membranes 16 00015 g005
Figure 6. km,eff vs. protein concentration. Points: back-calculated km,eff,exp (BSA, gelatin using Equation (15)). Dashed line: model km,pred (Equations (21) and (22)).
Figure 6. km,eff vs. protein concentration. Points: back-calculated km,eff,exp (BSA, gelatin using Equation (15)). Dashed line: model km,pred (Equations (21) and (22)).
Membranes 16 00015 g006
Figure 7. Kov,pred (Equation (19)) vs. Kov,exp (Equation (1)) for all experiments conducted.
Figure 7. Kov,pred (Equation (19)) vs. Kov,exp (Equation (1)) for all experiments conducted.
Membranes 16 00015 g007
Figure 8. Model prediction for mass transfer coefficient Kov,pred (Equation (19)) for increasing TSS concentration at varying protein concentration levels.
Figure 8. Model prediction for mass transfer coefficient Kov,pred (Equation (19)) for increasing TSS concentration at varying protein concentration levels.
Membranes 16 00015 g008
Table 1. Cattle manure characteristics from a dairy farm, collected directly from a tank under a slatted shed.
Table 1. Cattle manure characteristics from a dairy farm, collected directly from a tank under a slatted shed.
Parameters UnitValue
Total Solids%10.07 ± 0.05
Total Volatile Solids%8.19 ± 0.32
Total Nitrogenmg L−11490 ± 15
N-NH4+mg L−1741 ± 7
P-PO4mg L−1158 ± 1
K+mg L−13200 ± 32
pH-7.40
Table 2. Information on 1 × 5.5 MiniModule *.
Table 2. Information on 1 × 5.5 MiniModule *.
Module Type1 × 5.5 MiniModuleTM
Number of Fibres, N2300
Porous polypropylene hollow fibre typeX-50
Effective module Length, Leff (cm)11.5
Membrane surface area (cm2)0.1828
Inner radius, Ri (cm)0.011
Outer radius, Ro (cm)0.015
Pore diameter, dp (cm)4 × 10−6
Porosity, ε0.4
* Module data sheet; hollow fibre end spotted with epoxy in the tube sheet in the MiniModuleTM.
Table 3. Experimental operating conditions for the operation of the membrane contactor for both ammonium solution and filtered manure.
Table 3. Experimental operating conditions for the operation of the membrane contactor for both ammonium solution and filtered manure.
OperationUnit Conditions
Flowrate L/h5, 10, 15, 20, 25
Acid flowrateL/h15
Acid Concentrationmol L−10.25
pH of Ammonium Solution/Filtered manure-11
N-NH4+mg L−1780 ± 20
BSA/Gelatin in Ammonium Solutiong L−10.4, 0.8, 1.2, 1.6, and 2
Temperature °C20
Table 4. Solutions used in experiments, labels related to the filtration, all solutions had a TAN concentration of 780 ± 20 mg L−1.
Table 4. Solutions used in experiments, labels related to the filtration, all solutions had a TAN concentration of 780 ± 20 mg L−1.
NameFilterDilutionTSS (mg L−1)Protein (g L−1)
F0NoneAmmonium solution00
F120 µm Cattle manure × 100315Not measured
F28 µmCattle manure × 100220 Not measured
F31.2 µmCattle manure × 100110 0.018
P1NoneBSA02
P2NoneBSA01.6
P3NoneBSA01.2
P4NoneBSA00.8
P5NoneBSA00.4
P6NoneGelatin02
P7NoneGelatin01.6
P8NoneGelatin01.2
P9NoneGelatin00.8
P10NoneGelatin00.4
Table 5. Empirical Sherwood correlations used in this study.
Table 5. Empirical Sherwood correlations used in this study.
AuthorsCorrelationsEquation NumberReferences
Dahuron and Cussler S h = 8.8 ( R e d e L ) S c 0.33 (5)[37]
Prasad and Sirkar S h = 5.8 ( d e ( 1 Φ ) L ) R e 0.6 S c 0.33 (6)[38]
Basu and Sirkar S h = 17.4 ( d e ( 1 Φ ) L ) R e 0.6 S c 0.33 (7)[39]
Yang and Cussler S h = 1.25 ( R e d e L ) 0.6 S c 0.33 (8)[40]
Viegas and Crespo S h = 8.71 ( d e L ) R e 0.74 S c 0.33 (9)[41]
Table 6. Constants values in Equation (18).
Table 6. Constants values in Equation (18).
ConstantsValues
α0.28
β1.06
γ0.77
Table 7. Constant values used in Equation (19).
Table 7. Constant values used in Equation (19).
ConstantsBSAGelatin
αp0.530.76
βp0.380.58
γp2.32
Disclaimer/Publisher’s Note: The statements, opinions and data contained in all publications are solely those of the individual author(s) and contributor(s) and not of MDPI and/or the editor(s). MDPI and/or the editor(s) disclaim responsibility for any injury to people or property resulting from any ideas, methods, instructions or products referred to in the content.

Share and Cite

MDPI and ACS Style

Azizi, N.; Connolly, S.; Krol, D.; Syron, E. Ammonia Recovery from Animal Manure via Hollow Fibre Membrane Contactors: Impact of Filtration Pre-Treatment and Organic Foulants on Mass Transfer and Performance. Membranes 2026, 16, 15. https://doi.org/10.3390/membranes16010015

AMA Style

Azizi N, Connolly S, Krol D, Syron E. Ammonia Recovery from Animal Manure via Hollow Fibre Membrane Contactors: Impact of Filtration Pre-Treatment and Organic Foulants on Mass Transfer and Performance. Membranes. 2026; 16(1):15. https://doi.org/10.3390/membranes16010015

Chicago/Turabian Style

Azizi, Niloufar, Shaun Connolly, Dominika Krol, and Eoin Syron. 2026. "Ammonia Recovery from Animal Manure via Hollow Fibre Membrane Contactors: Impact of Filtration Pre-Treatment and Organic Foulants on Mass Transfer and Performance" Membranes 16, no. 1: 15. https://doi.org/10.3390/membranes16010015

APA Style

Azizi, N., Connolly, S., Krol, D., & Syron, E. (2026). Ammonia Recovery from Animal Manure via Hollow Fibre Membrane Contactors: Impact of Filtration Pre-Treatment and Organic Foulants on Mass Transfer and Performance. Membranes, 16(1), 15. https://doi.org/10.3390/membranes16010015

Note that from the first issue of 2016, this journal uses article numbers instead of page numbers. See further details here.

Article Metrics

Back to TopTop