Uncovering Structure–Conductivity Relationships in Anion Exchange Membranes (AEMs) Using Interpretable Machine Learning
Abstract
1. Introduction
2. Methodology
2.1. Unsupervised Learning
2.2. Descriptor-Based Model
2.3. Graph Models
2.3.1. Graph Convolutional Network
2.3.2. Graph Attention Network
2.3.3. Hybrid Graph Autoencoder-Regressor Ensemble (HGARE)
- SE-based feature recalibration: HGARE incorporates a squeeze-and-excitation (SE) attention block that adaptively weights node embeddings—an element that is not present in standard GNN-AE hybrids.
- Joint reconstruction–regression training: Instead of pretraining followed by isolated regression, HGARE employs dual-loss fine-tuning, enabling more stable representation learning.
- Graph ensemble averaging: HGARE aggregates predictions across multiple random graph initializations, substantially improving robustness (as shown by ablation).
- Tailored architecture for polymer descriptors: Unlike prior small-molecule GNN-AEs, HGARE handles block–copolymer graphs with repeating-unit expansion and cross-link representations. The HGARE framework effectively integrates the structural interpretability of graph neural networks with the representational flexibility of dense architectures, thereby leveraging both molecular topology and global physicochemical descriptors. The combination of autoencoder pretraining, joint fine-tuning, and ensemble averaging results in stable, accurate, and chemically consistent predictions of anion conductivity in AEMs. Consequently, HGARE represents a robust and generalizable modeling paradigm for polymer informatics and data-driven materials discovery.
3. Dataset
External Data Curation
4. Training and Hyperparameter Optimization
5. Results and Discussion
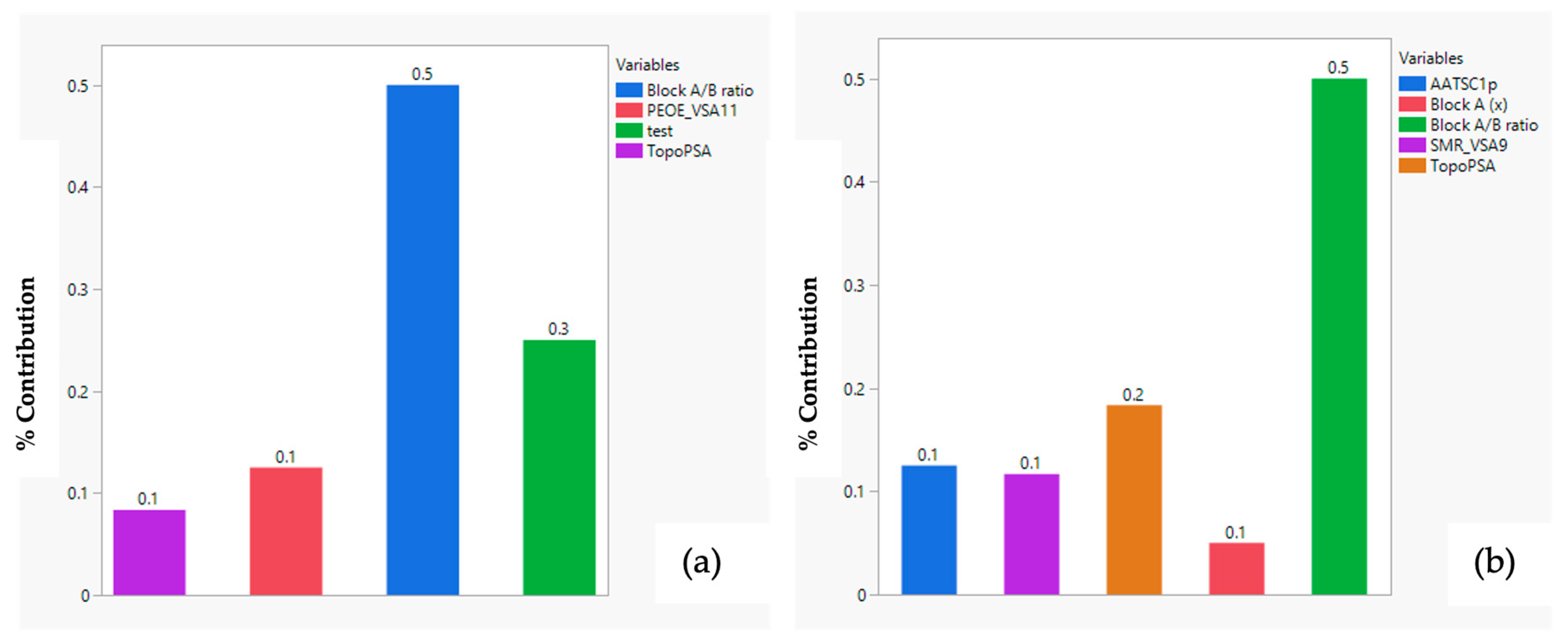
5.1. Descriptor-Based Models
- Macromolecular topology and polarity (PC1-PC2): These components describe overall molecular size, branching, complexity, and hydrophobic–hydrophilic balance. Their strong influence, particularly in the XGboost model, highlights the morphological continuity of hydrophilic domains and the distribution of polar functional groups primary enablers of ion transport. Well-connected polymer backbones with balanced polarity facilitate continuous ion channels, enhancing charge mobility.
- Electronic polarization and dipolar correlation (PC4-PC6-PC7): The CatBoost and Random Forest models revealed sensitivity to these components, which capture distance-weighted dipole moments, charge delocalization, and intramolecular electrostatic coupling. These effects represent the microscopic polarization environment governing ion solvation and dynamic screening within conductive regions. Enhanced electronic flexibility and dipolar alignment promote lower activation barriers for ion hopping and diffusion.
5.2. Descriptor Selection and Correlation Analysis
5.3. Clustering of Descriptor Space
- Extended molecular shape (e.g., high values of the descriptor ETA_shape_y), suggesting that elongated or extended polymer architectures may enhance ion transport by facilitating continuous ionic domains.
- Elevated polar surface area and charge-rich regions (e.g., descriptors such as topoPSA, PEOE_VSA11, ESTATE_VSA8) indicating that polar/electronic surface features favor formation of hydrophilic, ion-conducting pathways.
- Intermediate values of two-dimensional autocorrelation/topological descriptors (e.g., GATS- and MATS-type descriptors reflecting a balance between rigidity/flexibility and charge delocalization, which may optimize microstructure and ionic mobility).
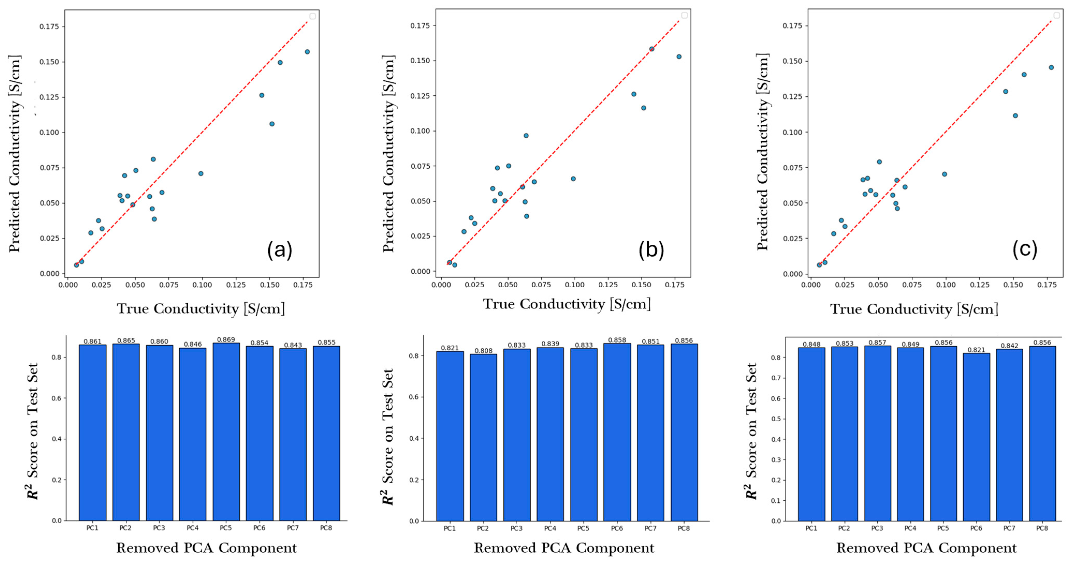
5.4. Graph-Based Models
5.5. Ablation Study of HGARE Model Component
5.6. Saliency Maps
6. Conclusions
Supplementary Materials
Author Contributions
Funding
Data Availability Statement
Conflicts of Interest
References
- Zhang, Q.; Yuan, Y.; Zhang, J.; Fang, P.; Pan, J.; Zhang, H.; Zhou, T.; Yu, Q.; Zou, X.; Sun, Z.; et al. Machine Learning-Aided Design of Highly Conductive Anion Exchange Membranes for Fuel Cells and Water Electrolyzers. Adv. Mater. 2024, 36, e2404981. [Google Scholar] [CrossRef]
- Yassin, K.; Rasin, I.G.; Brandon, S.; Dekel, D.R. How can we design anion-exchange membranes to achieve longer fuel cell lifetime? J. Membr. Sci. 2024, 690, 122164. [Google Scholar] [CrossRef]
- Chen, N.; Lee, Y.M. Anion exchange polyelectrolytes for membranes and ionomers. Prog. Polym. Sci. 2021, 113, 101345. [Google Scholar] [CrossRef]
- Abouzari-Lotf, E.; Jacob, M.V.; Ghassemi, H.; Zakeri, M.; Nasef, M.M.; Abdolahi, Y.; Abbasi, A.; Ahmad, A. Highly conductive anion exchange membranes based on polymer networks containing imidazolium functionalised side chains. Sci. Rep. 2021, 11, 3764. [Google Scholar] [CrossRef]
- Hutter, M.C. Molecular Descriptors for Chemoinformatics (2nd ed.). By Roberto Todeschini and Viviana Consonni. ChemMedChem 2010, 5, 306–307. [Google Scholar] [CrossRef]
- Moriwaki, H.; Tian, Y.-S.; Kawashita, N.; Takagi, T. Mordred: A molecular descriptor calculator. J. Cheminform. 2018, 10, 4. [Google Scholar] [CrossRef] [PubMed]
- Mohammadjafari, A.; Lin, M.; Shi, M. Deep Learning-Based Glaucoma Detection Using Clinical Notes: A Comparative Study of Long Short-Term Memory and Convolutional Neural Network Models. Diagnostics 2025, 15, 807. [Google Scholar] [CrossRef] [PubMed]
- Das, D.; Chakraborty, D. In-silico identification of a Doxorubicin alternative with reduced cardiotoxicity informed by LLM-assisted modeling. J. Mol. Graph. Model. 2026, 142, 109217. [Google Scholar] [CrossRef] [PubMed]
- Das, D.; Teixeira, E.S.; Morales, J.A. Recurrent Neural Network/Machine Learning Predictions of Reactive Channels in H+ + C2H4 at ELab = 30 eV: A Prototype of Ion Cancer Therapy Reactions. J. Comput. Chem. 2025, 46, e70033. [Google Scholar] [CrossRef] [PubMed]
- Xie, T.; Grossman, J.C. Crystal Graph Convolutional Neural Networks for an Accurate and Interpretable Prediction of Material Properties. Phys. Rev. Lett. 2018, 120, 145301. [Google Scholar] [CrossRef] [PubMed]
- Butler, K.T.; Davies, D.W.; Cartwright, H.; Isayev, O.; Walsh, A. Machine learning for molecular and materials science. Nature 2018, 559, 547–555. [Google Scholar] [CrossRef] [PubMed]
- Olayiwola, T.; Briceno-Mena, L.A.; Arges, C.G.; Romagnoli, J.A. Synergizing Data-Driven and Knowledge-Based Hybrid Models for Ionic Separations. ACS EST Eng. 2024, 4, 3032–3044. [Google Scholar] [CrossRef]
- Ramprasad, R.; Batra, R.; Pilania, G.; Mannodi-Kanakkithodi, A.; Kim, C. Machine learning in materials informatics: Recent applications and prospects. npj Comput. Mater. 2017, 3, 54. [Google Scholar] [CrossRef]
- Bradford, G.; Lopez, J.; Ruza, J.; Stolberg, M.A.; Osterude, R.; Johnson, J.A.; Gomez-Bombarelli, R.; Shao-Horn, Y. Chemistry-Informed Machine Learning for Polymer Electrolyte Discovery. ACS Cent. Sci. 2023, 9, 206–216. [Google Scholar] [CrossRef]
- Zhai, F.-H.; Zhan, Q.-Q.; Yang, Y.-F.; Ye, N.-Y.; Wan, R.-Y.; Wang, J.; Chen, S.; He, R.-H. A deep learning protocol for analyzing and predicting ionic conductivity of anion exchange membranes. J. Membr. Sci. 2022, 642, 119983. [Google Scholar] [CrossRef]
- Phua, Y.K.; Tsuyohiko, F.; Kato, K. Predicting the anion conductivities and alkaline stabilities of anion conducting membrane polymeric materials: Development of explainable machine learning models. Sci. Technol. Adv. Mater. 2023, 24, 2261833. [Google Scholar] [CrossRef] [PubMed]
- Shahid, M.U.; Najam, T.; Islam, M.; Hassan, A.M.; Assiri, M.A.; Rauf, A.; Rehman, A.u.; Shah, S.S.A.; Nazir, M.A. Engineering of metal organic framework (MOF) membrane for waste water treatment: Synthesis, applications and future challenges. J. Water Process Eng. 2024, 57, 104676. [Google Scholar] [CrossRef]
- Deng, C.-S.; Peng, Z.-X.; Li, B.-X. Ultrahigh Extinction Ratio Topological Polarization Beam Splitter Based on Dual-Polarization Second-Order Topological Photonic Crystals. Adv. Quantum Technol. 2025, 8, 2400637. [Google Scholar] [CrossRef]
- William, S.; Shivank, S.; Abhishek, S.; Reanna, R.; Mohammed Al, O.; Janani, S.; Ryan, P.L.; Rampi, R. AI-driven design of fluorine-free polymers for sustainable and high-performance anion exchange membranes. J. Mater. Inform. 2025, 5, 5. [Google Scholar] [CrossRef]
- Wang, X.; Zhu, M.; Bo, D.; Cui, P.; Shi, C.; Pei, J. AM-GCN: Adaptive Multi-channel Graph Convolutional Networks. In Proceedings of the 26th ACM SIGKDD International Conference on Knowledge Discovery & Data Mining, Virtual, 6–10 July 2020; pp. 1243–1253. [Google Scholar] [CrossRef]
- Das, D.; Chakraborty, D. Machine Learning Prediction of Physicochemical Properties in Lithium-Ion Battery Electrolytes with Active Learning Applied to Graph Neural Networks. J. Comput. Chem. 2025, 46, e70009. [Google Scholar] [CrossRef]
- Ye, Z.; Kumar, Y.J.; Sing, G.O.; Song, F.; Wang, J. A Comprehensive Survey of Graph Neural Networks for Knowledge Graphs. IEEE Access 2022, 10, 75729–75741. [Google Scholar] [CrossRef]
- Ge, W.; De Silva, R.; Fan, Y.; Sisson, S.A.; Stenzel, M.H. Machine Learning in Polymer Research. Adv. Mater. 2025, 37, 2413695. [Google Scholar] [CrossRef] [PubMed]
- Park, J.; Shim, Y.; Lee, F.; Rammohan, A.; Goyal, S.; Shim, M.; Jeong, C.; Kim, D.S. Prediction and Interpretation of Polymer Properties Using the Graph Convolutional Network. ACS Polym. Au 2022, 2, 213–222. [Google Scholar] [CrossRef] [PubMed]
- Duvenaud, D.K.; Maclaurin, D.; Iparraguirre, J.; Bombarell, R.; Hirzel, T.; Aspuru-Guzik, A.; Adams, R.P. Convolutional networks on graphs for learning molecular fingerprints. Adv. Neural Inf. Process. Syst. 2015, 28, 2224–2232. [Google Scholar]
- Gilmer, J.; Schoenholz, S.S.; Riley, P.F.; Vinyals, O.; Dahl, G.E. Neural message passing for quantum chemistry. In Proceedings of the International Conference on Machine Learning (ICML 2017), Sydney, NSW, Australia, 6–11 August 2017; pp. 1263–1272. [Google Scholar]
- Liu, L.; Li, Y.; Zheng, J.; Li, H. Expert-augmented machine learning to accelerate the discovery of copolymers for anion exchange membrane. J. Membr. Sci. 2024, 693, 122327. [Google Scholar] [CrossRef]
- Lundberg, S.; Erion, G.; Chen, H.; DeGrave, A.; Prutkin, J.; Nair, B.; Katz, R.; Himmelfarb, J.; Bansal, N.; Lee, S.-I. From Local Explanations to Global Understanding with Explainable AI for Trees. Nat. Mach. Intell. 2020, 2, 56–67. [Google Scholar] [CrossRef] [PubMed]
- Dalal, R.J.; Oviedo, F.; Leyden, M.C.; Reineke, T.M. Polymer design via SHAP and Bayesian machine learning optimizes pDNA and CRISPR ribonucleoprotein delivery. Chem. Sci. 2024, 15, 7219–7228. [Google Scholar] [CrossRef]
- Simonyan, K.; Vedaldi, A.; Zisserman, A. Deep Inside Convolutional Networks: Visualising Image Classification Models and Saliency Maps. arXiv 2013, arXiv:1312.6034. [Google Scholar]
- Adebayo, J.; Gilmer, J.; Muelly, M.; Goodfellow, I.; Hardt, M.; Kim, B. Sanity Checks for Saliency Maps. 2018. Available online: https://proceedings.neurips.cc/paper_files/paper/2018/file/294a8ed24b1ad22ec2e7efea049b8737-Paper.pdf (accessed on 19 October 2025).
- van der Maaten, L.; Hinton, G. Viualizing data using t-SNE. J. Mach. Learn. Res. 2008, 9, 2579–2605. [Google Scholar]
- McInnes, L.; John, H. UMAP: Uniform Manifold Approximation and Projection for Dimension Reduction. arXiv 2018, arXiv:1802.03426. [Google Scholar]
- Ester, M. A density-based algorithm for discovering clusters in large spatial databases with noise. In Proceedings of the Second International Conference on Knowledge Discovery and Data Mining, Portland, OR, USA, 2–4 August 1996; pp. 226–231. [Google Scholar]
- Phua, Y.K.; Terasoba, N.; Tanaka, M.; Fujigaya, T.; Kato, K. Unsupervised Machine Learning-Derived Anion-Exchange Membrane Polymers Map: A Guideline for Polymers Exploration and Design. ChemElectroChem 2024, 11, e202400252. [Google Scholar] [CrossRef]
- Ehiro, T. Feature importance-based interpretation of UMAP-visualized polymer space. Mol. Inform. 2023, 42, 2300061. [Google Scholar] [CrossRef]
- Ceriotti, M. Unsupervised machine learning in atomistic simulations, between predictions and understanding. J. Chem. Phys. 2019, 150, 150901. [Google Scholar] [CrossRef]
- Naghshnejad, P.; Marchan, G.T.; Olayiwola, T.; Kumar, R.; Romagnoli, J.A. Graph-Based Modeling and Molecular Dynamics for Ion Activity Coefficient Prediction in Polymeric Ion-Exchange Membranes. Ind. Eng. Chem. 2024, 64, 599–612. [Google Scholar] [CrossRef]
- Seghers, E.E.; Briceno-Mena, L.A.; Romagnoli, J.A. Unsupervised learning: Local and global structure preservation in industrial data. Comput. Chem. Eng. 2023, 178, 108378. [Google Scholar] [CrossRef]
- Seghers, E.E.; Romagnoli, J.A. Data-Driven Process Monitoring for Knowledge Discovery: Local and Global Structures. In Computer Aided Chemical Engineering; Kokossis, A.C., Georgiadis, M.C., Pistikopoulos, E., Eds.; Elsevier: Amsterdam, The Netherlands, 2023; Volume 52, pp. 1809–1815. [Google Scholar]
- Ikotun, A.M.; Ezugwu, A.E.; Abualigah, L.; Abuhaija, B.; Heming, J. K-means clustering algorithms: A comprehensive review, variants analysis, and advances in the era of big data. Inf. Sci. 2023, 622, 178–210. [Google Scholar] [CrossRef]
- Romagnoli, J.; Briceno-Mena, L.; Manee, V. AI in Chemical Engineering: Unlocking the Power Within Data; CRC Press: Boca Raton, FL, USA, 2024. [Google Scholar] [CrossRef]
- Maćkiewicz, A.; Ratajczak, W. Principal components analysis (PCA). Comput. Geosci. 1993, 19, 303–342. [Google Scholar] [CrossRef]
- Prokhorenkova, L.; Gusev, G.; Vorobev, A.; Dorogush, A.V.; Gulin, A. CatBoost: Unbiased boosting with categorical features. In Proceedings of the 32nd International Conference on Neural Information Processing Systems, Montreal, QC, Canada, 3–8 December 2018; pp. 6639–6649. [Google Scholar]
- Chen, T.a.G.C. XGBoost: A Scalable Tree Boosting System. In Proceedings of the 22nd ACM SIGKDD International Conference on Knowledge Discovery and Data Mining, San Francisco, CA, USA, 13–17 August 2016; pp. 785–794. [Google Scholar] [CrossRef]
- Breiman, L. Random Forests. Mach. Learn. 2001, 45, 5–32. [Google Scholar] [CrossRef]
- Ke, G.; Meng, Q.; Finley, T.; Wang, T.; Chen, W.; Ma, W.; Ye, Q.; Liu, T. LightGBM: A highly efficient gradient boosting decision tree. In Proceedings of the 31st International Conference on Neural Information Processing Systems, Long Beach, CA, USA, 4–9 December 2017; pp. 3149–3157. [Google Scholar]
- Zou, H.; Hastie, T. Regularization and Variable Selection via the Elastic Net. J. R. Stat. Soc. Ser. B Stat. Methodol. 2005, 67, 301–320. [Google Scholar] [CrossRef]
- Popescu, M.-C.; Balas, V.E.; Perescu-Popescu, L.; Mastorakis, N. Multilayer perceptron and neural networks. WSEAS Trans. Cir. Sys. 2009, 8, 579–588. [Google Scholar]
- Mills, N. ChemDraw Ultra 10.0 CambridgeSoft, 100 CambridgePark Drive, Cambridge, MA 02140. Commercial Price: $1910 for download, $2150 for CD-ROM; Academic Price: $710 for download, $800 for CD-ROM. J. Am. Chem. Soc. 2006, 128, 13649–13650. [Google Scholar] [CrossRef]
- Landrum, G. RDKit: Open-Source Cheminformatics. Available online: http://www.rdkit.org (accessed on 15 October 2025).
- Akiba, T.; Sano, S.; Yanase, T.; Ohta, T.; Koyama, M. Optuna: A Next-generation Hyperparameter Optimization Framework. In Proceedings of the 25th ACM SIGKDD International Conference on Knowledge Discovery&Data Mining, Anchorage, AK, USA, 4–8 August 2019; pp. 2623–2631. [Google Scholar] [CrossRef]
- Paszke, A.; Gross, S.; Massa, F.; Lerer, A.; Bradbury, J.; Chanan, G.; Killeen, T.; Lin, Z.; Gimelshein, N.; Antiga, L.; et al. Pytorch: An imperative style, high-performance deep learning library. Adv. Neural Inf. Process. Syst. 2019, 32, 8026–8037. [Google Scholar]
- Pope, P.E.; Kolouri, S.; Rostami, M.; Martin, C.E.; Hoffmann, H. Explainability Methods for Graph Convolutional Neural Networks. In Proceedings of the 2019 IEEE/CVF Conference on Computer Vision and Pattern Recognition (CVPR), Long Beach, CA, USA, 15–20 June 2019; pp. 10764–10773. [Google Scholar] [CrossRef]
- Gurnani, R.; Kuenneth, C.; Toland, A.; Ramprasad, R. Polymer Informatics at Scale with Multitask Graph Neural Networks. Chem. Mater. 2023, 35, 1560–1567. [Google Scholar] [CrossRef]
- Himanen, L.; Geurts, A.; Foster, A.S.; Rinke, P. Data-Driven Materials Science: Status, Challenges, and Perspectives. Adv. Sci. 2019, 6, 1900808. [Google Scholar] [CrossRef]
- Territo, K.; Romagnoli, J. FASTMAN-JMP: All-in-one Tool for Data Mining and Model Building. In Computer Aided Chemical Engineering; Manenti, F., Reklaitis, G.V., Eds.; Elsevier: Amsterdam, The Netherlands, 2024; Volume 53, pp. 3421–3426. [Google Scholar]
- Kim, S.; Yang, S.; Kim, D. Poly (arylene ether ketone) with pendant pyridinium groups for alkaline fuel cell membranes. Int. J. Hydrogen Energy 2017, 42, 12496–12506. [Google Scholar] [CrossRef]
- Kim, D.J.; Lee, B.-N.; Nam, S.Y. Synthesis and characterization of PEEK containing imidazole for anion exchange membrane fuel cell. Int. J. Hydrogen Energy 2017, 42, 23759–23767. [Google Scholar] [CrossRef]
- Irfan, M.; Bakangura, E.; Afsar, N.U.; Hossain, M.M.; Ran, J.; Xu, T. Preparation and performance evaluation of novel alkaline stable anion exchange membranes. J. Power Sources 2017, 355, 171–180. [Google Scholar] [CrossRef]
- Lin, C.; Huang, X.; Guo, D.; Zhang, Q.; Zhu, A.; Ye, M.; Liu, Q. Side-chain-type anion exchange membranes bearing pendant quaternary ammonium groups via flexible spacer for fuel cells. J. Mater. Chem. A 2016, 4, 13938–13948. [Google Scholar] [CrossRef]
- Zhang, X.; Li, S.; Chen, P.; Fang, J.; Shi, Q.; Weng, Q.; Luo, X.; Chen, X.; An, Z. Imidazolium functionalized block copolymer anion exchange membrane with enhanced hydroxide conductivity and alkaline stability via tailoring side chains. Int. J. Hydrogen Energy 2018, 43, 3716–3730. [Google Scholar] [CrossRef]
- Lu, D.; Li, D.; Wen, L.; Xue, L. Effects of non-planar hydrophobic cyclohexylidene moiety on the structure and stability of poly (arylene ether sulfone)s based anion exchange membranes. J. Membr. Sci. 2017, 533, 210–219. [Google Scholar] [CrossRef]
- Lin, C.X.; Zhuo, Y.Z.; Lai, A.N.; Zhang, Q.G.; Zhu, A.M.; Ye, M.L.; Liu, Q.L. Side-chain-type anion exchange membranes bearing pendent imidazolium-functionalized poly (phenylene oxide) for fuel cells. J. Membr. Sci. 2016, 513, 206–216. [Google Scholar] [CrossRef]
- Guo, D.; Lin, C.X.; Hu, E.N.; Shi, L.; Soyekwo, F.; Zhang, Q.G.; Zhu, A.M.; Liu, Q.L. Clustered multi-imidazolium side chains functionalized alkaline anion exchange membranes for fuel cells. J. Membr. Sci. 2017, 541, 214–223. [Google Scholar] [CrossRef]
- Lee, J.Y.; Lim, D.-H.; Chae, J.E.; Choi, J.; Kim, B.H.; Lee, S.Y.; Yoon, C.W.; Nam, S.Y.; Jang, J.H.; Henkensmeier, D.; et al. Base tolerant polybenzimidazolium hydroxide membranes for solid alkaline-exchange membrane fuel cells. J. Membr. Sci. 2016, 514, 398–406. [Google Scholar] [CrossRef]
- Kwon, S.; Rao, A.; Kim, T.-H. Anion exchange membranes based on terminally crosslinked methyl morpholinium-functionalized poly (arylene ether sulfone)s. J. Power Sources 2018, 375, 421–432. [Google Scholar] [CrossRef]
- Lai, A.N.; Zhou, K.; Zhuo, Y.Z.; Zhang, Q.G.; Zhu, A.M.; Ye, M.L.; Liu, Q.L. Anion exchange membranes based on carbazole-containing polyolefin for direct methanol fuel cells. J. Membr. Sci. 2016, 497, 99–107. [Google Scholar] [CrossRef]
- Fang, J.; Lyu, M.; Wang, X.; Wu, Y.; Zhao, J. Synthesis and performance of novel anion exchange membranes based on imidazolium ionic liquids for alkaline fuel cell applications. J. Power Sources 2015, 284, 517–523. [Google Scholar] [CrossRef]
- Yang, Q.; Lin, C.X.; Liu, F.H.; Li, L.; Zhang, Q.G.; Zhu, A.M.; Liu, Q.L. Poly (2,6-dimethyl-1,4-phenylene oxide)/ionic liquid functionalized graphene oxide anion exchange membranes for fuel cells. J. Membr. Sci. 2018, 552, 367–376. [Google Scholar] [CrossRef]
- He, Y.; Si, J.; Wu, L.; Chen, S.; Zhu, Y.; Pan, J.; Ge, X.; Yang, Z.; Xu, T. Dual-cation comb-shaped anion exchange membranes: Structure, morphology and properties. J. Membr. Sci. 2016, 515, 189–195. [Google Scholar] [CrossRef]
- He, Y.; Pan, J.; Wu, L.; Zhu, Y.; Ge, X.; Ran, J.; Yang, Z.; Xu, T. A Novel Methodology to Synthesize Highly Conductive Anion Exchange Membranes. Sci. Rep. 2015, 5, 13417. [Google Scholar] [CrossRef] [PubMed]
- Guo, D.; Lai, A.N.; Lin, C.X.; Zhang, Q.G.; Zhu, A.M.; Liu, Q.L. Imidazolium-Functionalized Poly (arylene ether sulfone) Anion-Exchange Membranes Densely Grafted with Flexible Side Chains for Fuel Cells. ACS Appl. Mater. Interfaces 2016, 8, 25279–25288. [Google Scholar] [CrossRef] [PubMed]
- Zhang, M.; Shan, C.; Liu, L.; Liao, J.; Chen, Q.; Zhu, M.; Wang, Y.; An, L.; Li, N. Facilitating Anion Transport in Polyolefin-Based Anion Exchange Membranes via Bulky Side Chains. ACS Appl. Mater. Interfaces 2016, 8, 23321–23330. [Google Scholar] [CrossRef] [PubMed]
- Wang, C.; Xu, C.; Shen, B.; Zhao, X.; Li, J. Stable poly (arylene ether sulfone)s anion exchange membranes containing imidazolium cations on pendant phenyl rings. Electrochim. Acta 2016, 190, 1057–1065. [Google Scholar] [CrossRef]
- Ge, Q.; Ran, J.; Miao, J.; Yang, Z.; Xu, T. Click Chemistry Finds Its Way in Constructing an Ionic Highway in Anion-Exchange Membrane. ACS Appl. Mater. Interfaces 2015, 7, 28545–28553. [Google Scholar] [CrossRef] [PubMed]
- Wang, C.; Shen, B.; Xu, C.; Zhao, X.; Li, J. Side-chain-type poly (arylene ether sulfone)s containing multiple quaternary ammonium groups as anion exchange membranes. J. Membr. Sci. 2015, 492, 281–288. [Google Scholar] [CrossRef]
- Pan, J.; Zhu, L.; Han, J.; Hickner, M.A. Mechanically Tough and Chemically Stable Anion Exchange Membranes from Rigid-Flexible Semi-Interpenetrating Networks. Chem. Mater. 2015, 27, 6689–6698. [Google Scholar] [CrossRef]
- Mohanty, A.D.; Ryu, C.Y.; Kim, Y.S.; Bae, C. Stable Elastomeric Anion Exchange Membranes Based on Quaternary Ammonium-Tethered Polystyrene-b-poly (ethylene-co-butylene)-b-polystyrene Triblock Copolymers. Macromolecules 2015, 48, 7085–7095. [Google Scholar] [CrossRef]
- Lai, A.N.; Wang, L.S.; Lin, C.X.; Zhuo, Y.Z.; Zhang, Q.G.; Zhu, A.M.; Liu, Q.L. Benzylmethyl-containing poly (arylene ether nitrile) as anion exchange membranes for alkaline fuel cells. J. Membr. Sci. 2015, 481, 9–18. [Google Scholar] [CrossRef]
- Lai, A.N.; Wang, L.S.; Lin, C.X.; Zhuo, Y.Z.; Zhang, Q.G.; Zhu, A.M.; Liu, Q.L. Phenolphthalein-based Poly (arylene ether sulfone nitrile)s Multiblock Copolymers As Anion Exchange Membranes for Alkaline Fuel Cells. ACS Appl. Mater. Interfaces 2015, 7, 8284–8292. [Google Scholar] [CrossRef] [PubMed]
- Sherazi, T.A.; Zahoor, S.; Raza, R.; Shaikh, A.J.; Naqvi, S.A.R.; Abbas, G.; Khan, Y.; Li, S. Guanidine functionalized radiation induced grafted anion-exchange membranes for solid alkaline fuel cells. Int. J. Hydrogen Energy 2015, 40, 786–796. [Google Scholar] [CrossRef]
- Zhang, M.; Liu, J.; Wang, Y.; An, L.; Guiver, M.; Li, N. Highly Stable Anion Exchange Membranes Based on Quaternized Polypropylene. J. Mater. Chem. A 2015, 3, 12284–12296. [Google Scholar] [CrossRef]
- Si, J.; Lu, S.; Xu, X.; Peng, S.; Xiu, R.; Xiang, Y. A Gemini Quaternary Ammonium Poly (ether ether ketone) Anion-Exchange Membrane for Alkaline Fuel Cell: Design, Synthesis, and Properties. ChemSusChem 2014, 7, 3389–3395. [Google Scholar] [CrossRef] [PubMed]
- Li, X.; Liu, Q.; Yu, Y.; Meng, Y. Synthesis and properties of multiblock ionomers containing densely functionalized hydrophilic blocks for anion exchange membranes. J. Membr. Sci. 2014, 467, 1–12. [Google Scholar] [CrossRef]
- Li, X.; Nie, G.; Tao, J.; Wu, W.; Wang, L.; Liao, S. Assessing the Influence of Side-Chain and Main-Chain Aromatic Benzyltrimethyl Ammonium on Anion Exchange Membranes. ACS Appl. Mater. Interfaces 2014, 6, 7585–7595. [Google Scholar] [CrossRef]
- Miyake, J.; Fukasawa, K.; Watanabe, M.; Miyatake, K. Effect of ammonium groups on the properties and alkaline stability of poly(arylene ether)-based anion exchange membranes. J. Polym. Sci. Part A Polym. Chem. 2014, 52, 383–389. [Google Scholar] [CrossRef]
- Li, X.; Cheng, S.; Wang, L.; Long, Q.; Tao, J.; Nie, G.; Liao, S. Anion exchange membranes by bromination of benzylmethyl-containing poly (arylene ether)s for alkaline membrane fuel cells. RSC Adv. 2014, 4, 29682–29693. [Google Scholar] [CrossRef]
- Zhu, L.; Pan, J.; Wang, Y.; Han, J.; Zhuang, L.; Hickner, M.A. Multication Side Chain Anion Exchange Membranes. Macromolecules 2016, 49, 815–824. [Google Scholar] [CrossRef]
- Rao, A.H.N.; Nam, S.; Kim, T.-H. Comb-shaped alkyl imidazolium-functionalized poly (arylene ether sulfone)s as high performance anion-exchange membranes. J. Mater. Chem. A 2015, 3, 8571–8580. [Google Scholar] [CrossRef]
- Strasser, D.; Graziano, B.; Knauss, D. Base stable poly (diallylpiperidinium hydroxide) multiblock copolymers for anion exchange membranes. J. Mater. Chem. A 2017, 5, 9627–9640. [Google Scholar] [CrossRef]
- Zhang, S.; Zhu, X.; Jin, C. Development of a high-performance anion exchange membrane using poly(isatin biphenylene) with flexible heterocyclic quaternary ammonium cations for alkaline fuel cells. J. Mater. Chem. A 2019, 7, 6883–6893. [Google Scholar] [CrossRef]
- Wang, J.; Zhao, Y.; Setzler, B.P.; Rojas-Carbonell, S.; Ben Yehuda, C.; Amel, A.; Page, M.; Wang, L.; Hu, K.; Shi, L.; et al. Poly (aryl piperidinium) membranes and ionomers for hydroxide exchange membrane fuel cells. Nat. Energy 2019, 4, 392–398. [Google Scholar] [CrossRef]
- Lin, C.X.; Wang, X.Q.; Li, L.; Liu, F.H.; Zhang, Q.G.; Zhu, A.M.; Liu, Q.L. Triblock copolymer anion exchange membranes bearing alkyl-tethered cycloaliphatic quaternary ammonium-head-groups for fuel cells. J. Power Sources 2017, 365, 282–292. [Google Scholar] [CrossRef]
- Chu, X.; Shi, Y.; Liu, L.; Huang, Y.; Li, N. Piperidinium-functionalized anion exchange membranes and their application in alkaline fuel cells and water electrolysis. J. Mater. Chem. A 2019, 7, 7717–7727. [Google Scholar] [CrossRef]
- Liu, L.; Chu, X.; Liao, J.; Huang, Y.; Li, Y.; Ge, Z.; Hickner, M.A.; Li, N. Tuning the properties of poly (2,6-dimethyl-1,4-phenylene oxide) anion exchange membranes and their performance in H2/O2 fuel cells. Energy Environ. Sci. 2018, 11, 435–446. [Google Scholar] [CrossRef]
- Peng, H.; Li, Q.; Hu, M.; Xiao, L.; Lu, J.; Zhuang, L. Alkaline polymer electrolyte fuel cells stably working at 80 °C. J. Power Sources 2018, 390, 165–167. [Google Scholar] [CrossRef]
- Chen, N.; Hu, C.; Wang, H.H.; Kim, S.P.; Kim, H.M.; Lee, W.H.; Bae, J.Y.; Park, J.H.; Lee, Y.M. Poly(Alkyl-Terphenyl Piperidinium) Ionomers and Membranes with an Outstanding Alkaline-Membrane Fuel-Cell Performance of 2.58 W cm−2. Angew. Chem. Int. Ed. 2021, 60, 7710–7718. [Google Scholar] [CrossRef]
- Allushi, A.; Pham, T.H.; Olsson, J.S.; Jannasch, P. Ether-free polyfluorenes tethered with quinuclidinium cations as hydroxide exchange membranes. J. Mater. Chem. A 2019, 7, 27164–27174. [Google Scholar] [CrossRef]
- Liu, R.; Wang, J.; Che, X.; Wang, T.; Aili, D.; Li, Q.; Yang, J. Facile synthesis and properties of poly(ether ketone cardo)s bearing heterocycle groups for high temperature polymer electrolyte membrane fuel cells. J. Membr. Sci. 2021, 636, 119584. [Google Scholar] [CrossRef]
- Xue, J.; Liu, X.; Zhang, J.; Yin, Y.; Guiver, M.D. Poly(phenylene oxide)s incorporating N-spirocyclic quaternary ammonium cation/cation strings for anion exchange membranes. J. Membr. Sci. 2020, 595, 117507. [Google Scholar] [CrossRef]
- Tian, L.; Ma, W.; Tuo, S.; Wang, F.; Zhu, H. Novel polyaryl isatin polyelectrolytes with flexible monomers for anion exchange membrane fuel cells. J. Membr. Sci. 2024, 690, 122172. [Google Scholar] [CrossRef]
- Pham, T.H.; Olsson, J.S.; Jannasch, P. Poly(arylene alkylene)s with pendant N-spirocyclic quaternary ammonium cations for anion exchange membranes. J. Mater. Chem. A 2018, 6, 16537–16547. [Google Scholar] [CrossRef]
- Dang, H.-S.; Weiber, E.; Jannasch, P. Poly(phenylene oxide) functionalized with quaternary ammonium groups via flexible alkyl spacers for high-performance anion exchange membranes. J. Mater. Chem. A 2015, 3, 5280–5284. [Google Scholar] [CrossRef]
- Pan, D.; Bakvand, P.M.; Pham, T.H.; Jannasch, P. Improving poly(arylene piperidinium) anion exchange membranes by monomer design. J. Mater. Chem. A 2022, 10, 16478–16489. [Google Scholar] [CrossRef]











| Principal Component | Explained Variance (%) | Dominant Descriptor Families | Physicochemical Interpretation |
|---|---|---|---|
| PC1 | 42.41 | ETA, MPC, ATS, BertzCT, Xp | Overall molecular size branching and topological complexity, dominant structural factor governing ion transport. |
| PC2 | 12.13 | FCSP3, hybRatio, AATS, GATS, AETA | Degree of hybridization, polarity, and carbon saturation influencing charge delocalization and hydrophobic–hydrophilic balance. |
| PC3 | 6.77 | ATSC, VSA_Estate, AATS | Electronic surface area and atomic electronegativity effects on local charge distribution. |
| PC4 | 5.71 | GATS, AATSC, MATS | Short-range autocorrelation of atomic properties, dipole-included and intramolecular interaction patterns. |
| PC5 | 4.19 | AATSC, MATS, GATS | Weighted descriptors of surface polarity and dispersion interactions. |
| PC6 | 3.67 | GATS, MATS, AATSC | Distance-weighted dipole descriptors linked to electronic polarizations. |
| PC7 | 3.36 | GATS, AATSC, MATS | Medium-range spatial autocorrelation descriptors, topology-dependent polarizability. |
| PC8 | 2.30 | AATSC, MATS, AMID, JGI | Connectivity indices and electronic delocalization parameters associated with charge transport continuity. |
| Model | Type | R2 (Test) | RMSE (Test) | MAE (Test) | Notes |
|---|---|---|---|---|---|
| HGARE | Graph-based | 0.9460 | 0.0093 | 0.0070 | Best overall model |
| GCN | Graph-based | 0.8807 | 0.0178 | 0.0143 | Good performance |
| GAT | Graph-based | 0.8186 | 0.0175 | 0.0210 | Weaker than GCN |
| XGBoost | Descriptor-based | 0.8445 | 0.0195 | 0.0158 | Good Performance |
| Random Forest | Descriptor-based | 0.8477 | 0.0193 | 0.0161 | Good performance |
| CatBoost | Descriptor-based | 0.8566 | 0.0187 | 0.0155 | Best descriptor model |
| ElasticNet | Descriptor-based | 0.4285 | 0.0373 | 0.0295 | Weak performance |
| LightGBM | Descriptor-based | 0.7815 | 0.0231 | 0.0186 | Weaker performance |
| MLP | Descriptor-based | 0.8340 | 0.0201 | 0.0167 | Good performance |
| Variant | R2 | RMSE | MAE |
|---|---|---|---|
| Full HGARE | 0.9475 | 0.00919 | 0.00653 |
| No AE | 0.9483 | 0.000912 | 0.00687 |
| No SE | 0.9403 | 0.00980 | 0.00758 |
| No Recon | 0.9467 | 0.00926 | 0.00691 |
| No Ensemble | 0.9072 | 0.01222 | 0.00976 |
| GCN + MLP Baseline | 0.9419 | 0.000966 | 0.00732 |
Disclaimer/Publisher’s Note: The statements, opinions and data contained in all publications are solely those of the individual author(s) and contributor(s) and not of MDPI and/or the editor(s). MDPI and/or the editor(s) disclaim responsibility for any injury to people or property resulting from any ideas, methods, instructions or products referred to in the content. |
© 2025 by the authors. Licensee MDPI, Basel, Switzerland. This article is an open access article distributed under the terms and conditions of the Creative Commons Attribution (CC BY) license.
Share and Cite
Naghshnejad, P.; Das, D.; Romagnoli, J.A.; Kumar, R.; Chen, J. Uncovering Structure–Conductivity Relationships in Anion Exchange Membranes (AEMs) Using Interpretable Machine Learning. Membranes 2026, 16, 12. https://doi.org/10.3390/membranes16010012
Naghshnejad P, Das D, Romagnoli JA, Kumar R, Chen J. Uncovering Structure–Conductivity Relationships in Anion Exchange Membranes (AEMs) Using Interpretable Machine Learning. Membranes. 2026; 16(1):12. https://doi.org/10.3390/membranes16010012
Chicago/Turabian StyleNaghshnejad, Pegah, Debojyoti Das, Jose A. Romagnoli, Revati Kumar, and Jianhua Chen. 2026. "Uncovering Structure–Conductivity Relationships in Anion Exchange Membranes (AEMs) Using Interpretable Machine Learning" Membranes 16, no. 1: 12. https://doi.org/10.3390/membranes16010012
APA StyleNaghshnejad, P., Das, D., Romagnoli, J. A., Kumar, R., & Chen, J. (2026). Uncovering Structure–Conductivity Relationships in Anion Exchange Membranes (AEMs) Using Interpretable Machine Learning. Membranes, 16(1), 12. https://doi.org/10.3390/membranes16010012
