Removal of Microplastics from Laundry Wastewater Using Coagulation and Membrane Combination: A Laboratory-Scale Study
Abstract
1. Introduction
2. Materials and Methods
2.1. Chemicals and Materials
2.2. Sample Preparation and Characterization of MPs
2.3. Coagulation and Membrane Filtration Experiments
2.4. Quality Control
3. Results and Discussion
3.1. Occurrence and Distribution of MPs in Raw Domestic Laundry Wastewater
3.2. Performance of ACH and FeCl3 Coagulation for PET and PE Removal from Laundry Wastewater
3.2.1. Turbidity
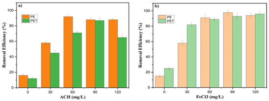
3.2.2. MP Particles
3.3. Coagulation Mechanism
3.3.1. Charge Neutralization
3.3.2. Adsorption
3.3.3. The Change in Solution pH in the Coagulation Process
3.4. MP Retention by UF Membrane Filtration
4. Conclusions
Author Contributions
Funding
Data Availability Statement
Acknowledgments
Conflicts of Interest
References
- Thompson, R.C.; Olsen, Y.; Mitchell, R.P.; Davis, A.; Rowland, S.J.; John, A.W.G.; McGonigle, D.; Russell, A.E. Lost at Sea: Where Is All the Plastic? Science 2004, 304, 838. [Google Scholar] [CrossRef] [PubMed]
- Mintenig, S.M.; Int-Veen, I.; Loder, M.G.J.; Primpke, S.; Gerdts, G. Identification of microplastic in effluents of waste water treatment plants using focal plane array-based micro-Fourier-transform infrared imaging. Water Res. 2017, 108, 365–372. [Google Scholar] [CrossRef] [PubMed]
- Van Do, M.; Le, T.X.T.; Vu, N.D.; Dang, T.T. Distribution and occurrence of microplastics in wastewater treatment plants. Environ. Technol. Innov. 2022, 26, 102286. [Google Scholar] [CrossRef]
- Cole, M.; Lindeque, P.; Halsband, C.; Galloway, T.S. Microplastics as contaminants in the marine environment: A review. Mar. Pollut. Bull. 2011, 62, 2588–2597. [Google Scholar] [CrossRef] [PubMed]
- Wang, F.; Wang, B.; Duan, L.; Zhang, Y.; Zhou, Y.; Sui, Q.; Xu, D.; Qu, H.; Yu, G. Occurrence and distribution of microplastics in domestic, industrial, agricultural and aquacultural wastewater sources: A case study in Changzhou, China. Water Res. 2020, 182, 115956. [Google Scholar] [CrossRef]
- Besseling, E.; Wegner, A.; Foekema, E.M.; van den Heuvel-Greve, M.J.; Koelmans, A.A. Effects of Microplastic on Fitness and PCB Bioaccumulation by the Lugworm Arenicola marina (L.). Environ. Sci. Technol. 2013, 47, 593–600. [Google Scholar] [CrossRef]
- Browne, M.A.; Niven, S.J.; Galloway, T.S.; Rowland, S.J.; Thompson, R.C. Microplastic moves pollutants and additives to worms, reducing functions linked to health and biodiversity. Curr. Biol. 2013, 23, 2388–2392. [Google Scholar] [CrossRef]
- Irfan, T.; Khalid, S.; Taneez, M.; Hashmi, M.Z. Plastic driven pollution in Pakistan: The first evidence of environmental exposure to microplastic in sediments and water of Rawal Lake. Environ. Sci. Pollut. Res. Int. 2020, 27, 15083–15092. [Google Scholar] [CrossRef]
- Prata, J.C.; da Costa, J.P.; Lopes, I.; Duarte, A.C.; Rocha-Santos, T. Environmental exposure to microplastics: An overview on possible human health effects. Sci. Total Environ. 2020, 702, 134455. [Google Scholar] [CrossRef]
- Smith, M.; Love, D.C.; Rochman, C.M.; Neff, R.A. Microplastics in Seafood and the Implications for Human Health. Curr. Environ. Health Rep. 2018, 5, 375–386. [Google Scholar] [CrossRef]
- Anand, U.; Dey, S.; Bontempi, E.; Ducoli, S.; Vethaak, A.D.; Dey, A.; Federici, S. Biotechnological methods to remove microplastics: A review. Environ. Chem. Lett. 2023, 21, 1787–1810. [Google Scholar] [CrossRef] [PubMed]
- Rezania, S.; Miri, S.; Cho, J.; Hur, J.; Kamyab, H.; Darajeh, N.; Mohammadi, A.A.; Molani, F.; Taghavijeloudar, M. Microplastic pollution in the marine environment: Distribution factors and mitigation strategies in different oceans. J. Contam. Hydrol. 2025, 269, 104496. [Google Scholar] [CrossRef] [PubMed]
- De Falco, F.; Gullo, M.P.; Gentile, G.; Di Pace, E.; Cocca, M.; Gelabert, L.; Brouta-Agnesa, M.; Rovira, A.; Escudero, R.; Villalba, R.; et al. Evaluation of microplastic release caused by textile washing processes of synthetic fabrics. Environ. Pollut. 2018, 236, 916–925. [Google Scholar] [CrossRef] [PubMed]
- Le, L.T.; Nguyen, K.N.; Nguyen, P.T.; Duong, H.C.; Bui, X.T.; Hoang, N.B.; Nghiem, L.D. Microfibers in laundry wastewater: Problem and solution. Sci. Total Environ. 2022, 852, 158412. [Google Scholar] [CrossRef]
- De Falco, F.; Di Pace, E.; Cocca, M.; Avella, M. The contribution of washing processes of synthetic clothes to microplastic pollution. Sci. Rep. 2019, 9, 6633. [Google Scholar] [CrossRef]
- Li, J.; Dagnew, M.; Ray, M.B. Effect of coagulation on microfibers in laundry wastewater. Environ. Res. 2022, 212, 113401. [Google Scholar] [CrossRef]
- Luogo, B.D.P.; Salim, T.; Zhang, W.; Hartmann, N.B.; Malpei, F.; Candelario, V.M. Reuse of Water in Laundry Applications with Micro- and Ultrafiltration Ceramic Membrane. Membranes 2022, 12, 223. [Google Scholar] [CrossRef]
- Kim, S.; Hyeon, Y.; Rho, H.; Park, C. Ceramic membranes as a potential high-performance alternative to microplastic filters for household washing machines. Sep. Purif. Technol. 2024, 344, 127278. [Google Scholar] [CrossRef]
- Yang, L.; Qiao, F.; Lei, K.; Li, H.; Kang, Y.; Cui, S.; An, L. Microfiber release from different fabrics during washing. Environ. Pollut. 2019, 249, 136–143. [Google Scholar] [CrossRef]
- Acharya, S.; Rumi, S.S.; Hu, Y.; Abidi, N. Microfibers from synthetic textiles as a major source of microplastics in the environment: A review. Text. Res. J. 2021, 91, 2136–2156. [Google Scholar] [CrossRef]
- Belzagui, F.; Crespi, M.; Alvarez, A.; Gutierrez-Bouzan, C.; Vilaseca, M. Microplastics’ emissions: Microfibers’ detachment from textile garments. Environ. Pollut. 2019, 248, 1028–1035. [Google Scholar] [CrossRef] [PubMed]
- Masura, J.; Baker, J.; Foster, G.; Arthur, C. Laboratory Methods for the Analysis of Microplastics in the Marine Environment: Recommendations for Quantifying Synthetic Particles in Waters and Sediments; NOAA Technical Memorandum; NOAA Marine Debris Division: Silver Spring, MD, USA, 2015. [Google Scholar]
- Dehaut, A.; Hermabessiere, L.; Duflos, G. Current frontiers and recommendations for the study of microplastics in seafood. TrAC Trends Anal. Chem. 2019, 116, 346–359. [Google Scholar] [CrossRef]
- Brown, E.; MacDonald, A.; Allen, S.; Allen, D. The potential for a plastic recycling facility to release microplastic pollution and possible filtration remediation effectiveness. J. Hazard. Mater. Adv. 2023, 10. [Google Scholar] [CrossRef]
- Zhou, G.; Wang, Q.; Li, J.; Li, Q.; Xu, H.; Ye, Q.; Wang, Y.; Shu, S.; Zhang, J. Removal of polystyrene and polyethylene microplastics using PAC and FeCl3 coagulation: Performance and mechanism. Sci. Total Environ. 2021, 752, 141837. [Google Scholar] [CrossRef]
- Ma, B.; Xue, W.; Hu, C.; Liu, H.; Qu, J.; Li, L. Characteristics of microplastic removal via coagulation and ultrafiltration during drinking water treatment. Chem. Eng. J. 2019, 359, 159–167. [Google Scholar] [CrossRef]
- de Oliveira Cardoso Nascimento, C.; Veit, M.T.; Palácio, S.M.; da Cunha Gonçalves, G. Use of Natural Coagulants in the Removal of Color and Turbidity from Laundry Wastewater. Water Air Soil Pollut. 2021, 232, 300. [Google Scholar] [CrossRef]
- Ma, B.; Xue, W.; Ding, Y.; Hu, C.; Liu, H.; Qu, J. Removal characteristics of microplastics by Fe-based coagulants during drinking water treatment. J. Env. Sci. 2019, 78, 267–275. [Google Scholar] [CrossRef]
- Nguyen, T.B.; Ho, T.B.; Huang, C.P.; Chen, C.W.; Hsieh, S.L.; Tsai, W.P.; Dong, C.D. Adsorption characteristics of tetracycline onto particulate polyethylene in dilute aqueous solutions. Environ. Pollut. 2021, 285, 117398. [Google Scholar] [CrossRef]
- Athulya, P.A.; Chandrasekaran, N. Interactions of natural colloids with microplastics in aquatic environment and its impact on FTIR characterization of polyethylene and polystyrene microplastics. J. Mol. Liq. 2023, 369. [Google Scholar] [CrossRef]
- Licskó, I. Realistic coagulation mechanisms in the use of aluminium and iron(III) salts. Water Sci. Technol. 1997, 36, 103–110. [Google Scholar] [CrossRef]
- Gulmine, J.V.; Janissek, P.R.; Heise, H.M.; Akcelrud, L. Polyethylene characterization by FTIR. Polym. Test. 2002, 21, 557–563. [Google Scholar] [CrossRef]
- Umamaheswari, S.; Murali, M. FTIR spectroscopic study of fungal degradation of poly (ethylene terephthalate) and polystyrene foam. Chem. Eng. 2013, 64, 159. [Google Scholar]
- Djebara, M.; Stoquert, J.P.; Abdesselam, M.; Muller, D.; Chami, A.C. FTIR analysis of polyethylene terephthalate irradiated by MeV He+. Nucl. Instrum. Methods Phys. Res. Sect. B Beam Interact. Mater. At. 2012, 274, 70–77. [Google Scholar] [CrossRef]
- Gotić, M.; Musić, S. Mössbauer, FT-IR and FE SEM investigation of iron oxides precipitated from FeSO4 solutions. J. Mol. Struct. 2007, 834–836, 445–453. [Google Scholar] [CrossRef]
- Beran, A.; Voll, D.; Schneider, H. Dehydration and structural development of mullite precursors: An FTIR spectroscopic study. J. Eur. Ceram. Soc. 2001, 21, 2479–2485. [Google Scholar] [CrossRef]
- Han, X.; Lu, H.; Gao, Y.; Chen, X.; Yang, M. The role of in situ Fenton coagulation on the removal of benzoic acid. Chemosphere 2020, 238, 124632. [Google Scholar] [CrossRef]
- Cañizares, P.; Jiménez, C.; Martínez, F.; Rodrigo, M.A.; Sáez, C. The pH as a key parameter in the choice between coagulation and electrocoagulation for the treatment of wastewaters. J. Hazard. Mater. 2009, 163, 158–164. [Google Scholar] [CrossRef]
- Talvitie, J.; Mikola, A.; Koistinen, A.; Setala, O. Solutions to microplastic pollution—Removal of microplastics from wastewater effluent with advanced wastewater treatment technologies. Water Res. 2017, 123, 401–407. [Google Scholar] [CrossRef]
- Acarer, S. A review of microplastic removal from water and wastewater by membrane technologies. Water Sci. Technol. 2023, 88, 199–219. [Google Scholar] [CrossRef]
- Yang, J.; Monnot, M.; Sun, Y.; Asia, L.; Wong-Wah-Chung, P.; Doumenq, P.; Moulin, P. Microplastics in different water samples (seawater, freshwater, and wastewater): Removal efficiency of membrane treatment processes. Water Res. 2023, 232, 119673. [Google Scholar] [CrossRef]







Disclaimer/Publisher’s Note: The statements, opinions and data contained in all publications are solely those of the individual author(s) and contributor(s) and not of MDPI and/or the editor(s). MDPI and/or the editor(s) disclaim responsibility for any injury to people or property resulting from any ideas, methods, instructions or products referred to in the content. |
© 2025 by the authors. Licensee MDPI, Basel, Switzerland. This article is an open access article distributed under the terms and conditions of the Creative Commons Attribution (CC BY) license (https://creativecommons.org/licenses/by/4.0/).
Share and Cite
Luu, T.T.; Truong, D.Q.; Nguyen, V.N.; Jeong, S.; Nguyen, T.T.T.; Do, V.M.; Vigneswaran, S.; Nguyen, T.V. Removal of Microplastics from Laundry Wastewater Using Coagulation and Membrane Combination: A Laboratory-Scale Study. Membranes 2025, 15, 47. https://doi.org/10.3390/membranes15020047
Luu TT, Truong DQ, Nguyen VN, Jeong S, Nguyen TTT, Do VM, Vigneswaran S, Nguyen TV. Removal of Microplastics from Laundry Wastewater Using Coagulation and Membrane Combination: A Laboratory-Scale Study. Membranes. 2025; 15(2):47. https://doi.org/10.3390/membranes15020047
Chicago/Turabian StyleLuu, Thi Trang, Dai Quyet Truong, Van Nam Nguyen, Sanghyun Jeong, Thi Thu Trang Nguyen, Van Manh Do, Saravanamuthu Vigneswaran, and Tien Vinh Nguyen. 2025. "Removal of Microplastics from Laundry Wastewater Using Coagulation and Membrane Combination: A Laboratory-Scale Study" Membranes 15, no. 2: 47. https://doi.org/10.3390/membranes15020047
APA StyleLuu, T. T., Truong, D. Q., Nguyen, V. N., Jeong, S., Nguyen, T. T. T., Do, V. M., Vigneswaran, S., & Nguyen, T. V. (2025). Removal of Microplastics from Laundry Wastewater Using Coagulation and Membrane Combination: A Laboratory-Scale Study. Membranes, 15(2), 47. https://doi.org/10.3390/membranes15020047

