Effect of Soybean Oil on the Improvement of the Functionality of Edible Membrane-Type Food Packaging Films Based on Caseinate–Carboxymethyl Chitosan Compositions
Abstract
1. Introduction
2. Materials
3. Edible Film Formations
3.1. Preparation of Film-Forming Emulsions
3.2. Film Thickness
3.3. Film Solubility in Water
3.4. Moisture Content
3.5. Color Measurement
3.6. Light Absorption
3.7. Water Vapor Permeability (WVP)
3.8. Mechanical Properties (TS, YM, and EAB)
3.9. Fourier-Transform Infrared Spectroscopy (FTIR)
3.10. Scanning Electron Microscopy (SEM)
3.11. Statistical Analysis
4. Results and Discussion
4.1. Properties of CA/CMCH Composite Edible Films
4.1.1. Film Thickness
4.1.2. Film Solubility
4.1.3. Moisture Content
4.1.4. Color
4.2. Water Vapor Permeability (WVP)
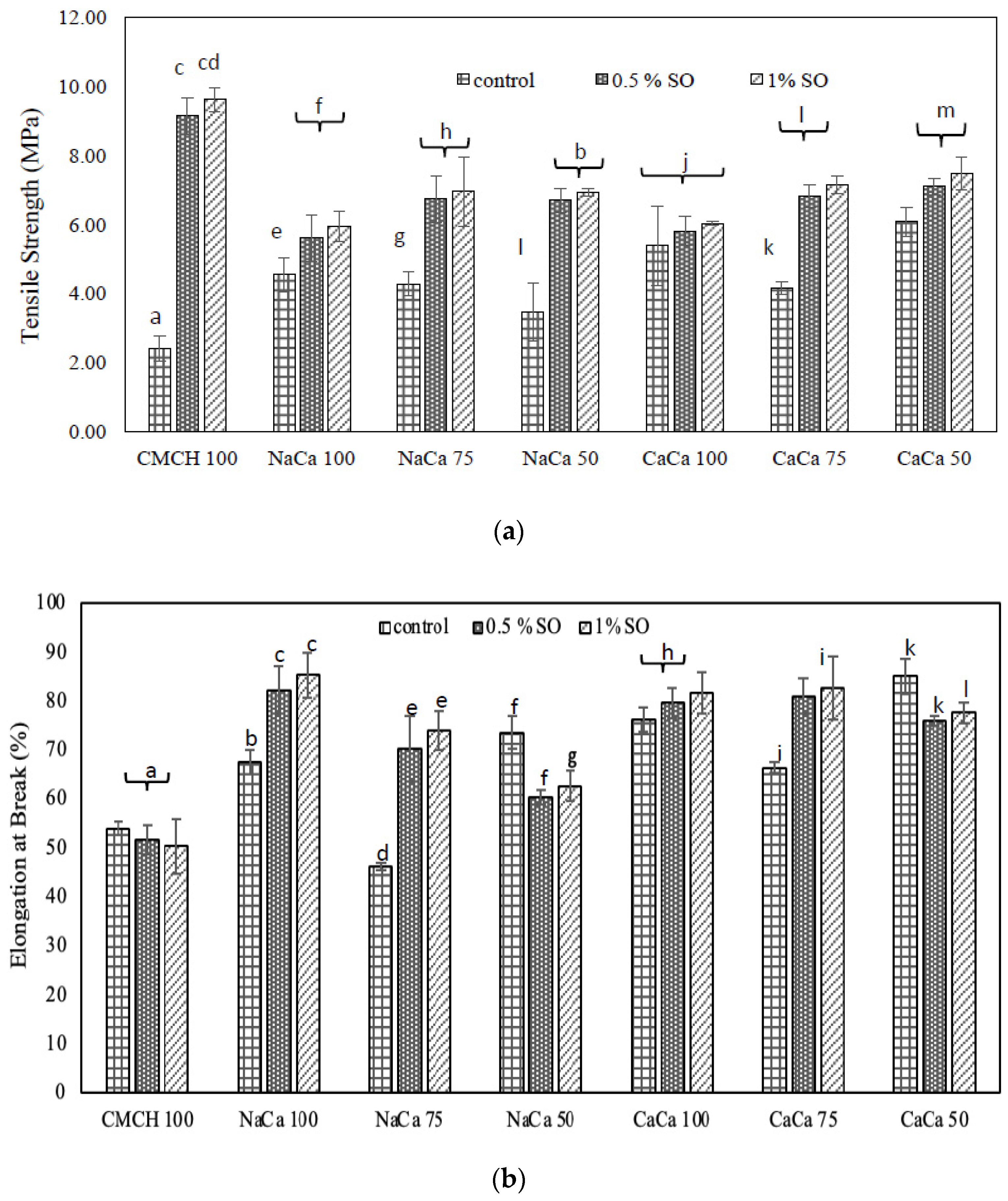
4.3. Mechanical Properties
4.4. FTIR
4.5. Scanning Electron Microscopy
5. Conclusions
Author Contributions
Funding
Institutional Review Board Statement
Data Availability Statement
Acknowledgments
Conflicts of Interest
References
- Seydim, A.C.; Sogut, E. The effects of chitosan and grape seed extract-based edible films on quality of vacuum packaged chicken breast fillets. Food Packag. Shelf Life 2018, 10, 13–20. [Google Scholar]
- Galus, S. Functional properties of soy protein isolate edible films as affected by rapeseed oil concentration. Food Hydrocoll. 2018, 85, 233–241. [Google Scholar] [CrossRef]
- Cazon, P.; Velazques, G.; Ramirez, J.A.; Vazquez, M. Polysaccharide-based films and coatings for food packaging: A review. Food Hydrocoll. 2017, 68, 136–148. [Google Scholar] [CrossRef]
- Shi, W.; Tang, C.; Yin, S.; Yin, Y.; Yang, X.; Wu, L.; Zhao, Z. Development and characterization of novel chitosan emulsion films via Pickering emulsions incorporation approach. Food Hydrocoll. 2016, 52, 253–264. [Google Scholar] [CrossRef]
- Shariatinia, Z. Carboxymethyl chitosan: Properties and biomedical applications. Int. J. Biol. Macromol. 2018, 120, 1406–1419. [Google Scholar] [CrossRef]
- Kalliola, S.; Repo, E.; Srivastav, V.; Zhao, F.; Heiskanen, J.P.; Sirvio, J.A.; Liimatainen, H.; Sillanpaa, M. Carboxymethyl chitosan and its hydrophobically modified derivative as pH-switchable emulsifiers. Langmuir 2018, 34, 2800–2806. [Google Scholar] [CrossRef]
- Shariatinia, Z.; Mazloom Jalali, A. Chitosan-based hydrogels: Preparation, properties and applications. Int. J. Biol. Macromol. 2018, 115, 194–220. [Google Scholar] [CrossRef] [PubMed]
- Samadi, F.Y.; Mohammadi, Z.; Yousefi, M.; Majdejabbari, S. Synthesis of raloxifene– chitosan conjugate: A novel chitosan derivative as a potential targeting vehicle. Int. J. Biol. Macromol. 2016, 82, 599–606. [Google Scholar] [CrossRef] [PubMed]
- Fazli, Y.; Shariatinia, Z. Controlled release of cefazolin sodium antibiotic drug from electro spun chitosan-polyethylene oxide nanofibrous mats. Mater. Sci. Eng. 2017, 17, 641–652. [Google Scholar] [CrossRef]
- Anitha, A.; Maya, S.; Deepa, N.; Chennazhi, K.; Nair, S.; Tamura, H.; Jayakumar, R. Efficient water soluble O-carboxymethyl chitosan nanocarrier for the delivery of curcumin to cancer cells. Carbohydr. Polym. 2011, 83, 452–461. [Google Scholar] [CrossRef]
- Arrieta, M.P.; Peltzer, M.A.; Lopez, J.; Garrigos, M.C.; Valente, A.J.M.; Jimenez, A. Functional of sodium and calcium caseinate antimicrobial active films containing cavacrol. J. Food Eng. 2014, 121, 94–101. [Google Scholar] [CrossRef]
- Kristo, E.; Koutsoumanis, K.P.; Biliaderis, C.G. Thermal, mechanical and water vapor barrier properties of sodium caseinate films containing antimicrobials and their inhibitory action on Listeria monocytogenes. Food Hydrocoll. 2008, 22, 373–386. [Google Scholar] [CrossRef]
- Belyamani, I.; Prochazka, F.; Assezat, G.; Debeaufort, F. Mechanical and barrier of extruded film made from sodium and calcium caseinates. Food Packag. Shelf Life 2014, 2, 65–72. [Google Scholar] [CrossRef]
- Subroto, E. Characteristics, purification, and the recent applications of soybean oil in fat-based food products: A review. Int. J. Emerg. Trends Eng. Res. 2020, 8, 3003–3018. [Google Scholar] [CrossRef]
- Hu, Y.; Xu, W.; Ren, Z.; Shi, L.; Zhang, Y.; Yang, S.; Weng, W. Effect of drying rate on the physicochemical properties of soy protein isolate-soy oil emulsion. Food Packag. Shelf Life 2023, 36, 101038. [Google Scholar] [CrossRef]
- Mohammad, A.; Ramswamy, H.S. Characterization of Caseinate–Carboxymethyl Chitosan-Based Edible Films Formulated with and without Transglutaminase Enzyme. J. Compos. Sci. 2022, 6, 216. [Google Scholar] [CrossRef]
- Saberi, B.; Thakur, R.; Juong, Q.; Chockchaisawasdee, S.; Golding, J.; Scarlett, C.; Stathopoulos, C. Optimization of physical and optical properties of biodegrable edible film based on pea starch and guar gum. Ind. Crop. Prod. 2016, 86, 342–352. [Google Scholar] [CrossRef]
- Leceta, L.; Guerrero, P.; Caba, K. Functional properties of chitosan-based films. Carbohydr. Polym. 2013, 93, 339–346. [Google Scholar] [CrossRef] [PubMed]
- Yu, Z.; Sun, L.; Wang, W.; Zeng, W.; Mustapha, A.; Lin, M. Soy protein-based films incorporated with cellulose nanocrystals and pine needle extract for active packaging. Ind. Crop. Prod. 2018, 112, 412–419. [Google Scholar] [CrossRef]
- Wang, L.; Wang, Q.; Tong, J.; Zhou, J. physicochemical properties of chitosan films incorporated with honeysuckle flower extract for active food packaging. J. Food Process Eng. 2015, 40, 1745–4530. [Google Scholar] [CrossRef]
- Maruddin, F.; Malaka, R.; Baba, S.; Amqam, H.; Taufik, M.; Sabil, S. Brightness, elongation and thickness of edible film with caseinate sodium using a type of plasticizer. Environ. Earth Sci. 2020, 492, 012043. [Google Scholar] [CrossRef]
- He, L.; Guo, D.; Ma, L.; Luo, J. Increased Film Thickness of Oil-in-Water (O/W) Emulsions at High Speed. Tribol. Lett. 2017, 65, 68. [Google Scholar]
- Mikus, M.; Galus, S.; Ciurzynska, A.; Janowics, M. Development and characterization of novel composite films based on soy protein isolate and oilseed flours. Molecules 2021, 26, 3738. [Google Scholar] [CrossRef] [PubMed]
- Song, X.; Zuo, G.; Chen, F. Effect of essential oil and surfactant on the physical and antimicrobial properties of corn and wheat starch films. Int. J. Biol. Macromol. 2018, 107, 1302–1309. [Google Scholar] [CrossRef] [PubMed]
- Giuseppe, F.A.; Volpe, S.; Cavella, S.; Masi, P.; Torrieri, E. Physical properties of active biopolymer films based on chitosan, sodium caseinate, and rosemary essential oil. Food Packag. Shelf Life 2022, 32, 100817. [Google Scholar] [CrossRef]
- Behjati, J.; Yazdanpanah, S. Nanoemulsion and emulsion vitamin D3 fortified edible film based on quince seed gum. Carbohydr. Polym. 2021, 262, 117948. [Google Scholar] [CrossRef] [PubMed]
- Carpine, D.; Dagostin, J.L.A.; Bertan, L.C.; Mafra, M.R. Development and characterization of soy protein isolate emulsion-based edible films with added coconut oil for olive oil packaging: Barrier, mechanical, and thermal properties. Food Bioprocess Technol. 2015, 8, 1811–1823. [Google Scholar] [CrossRef]
- Liu, K.; Xu, X.; Liu, H.; Liu, Z.; Zhao, K.; Ma, Y.; Zhang, K. Mechanical properties and water sensitivity of soybean protein isolate film improved by incorporation of sodium caseinate and transglutaminase. Prog. Org. Coat. 2021, 153, 106–154. [Google Scholar] [CrossRef]
- Chen, J.; Chen, X.; Zhu, Q.; Chen, F.; Zhao, X.; Ao, Q. Determination of the domain structure of the 7S and 11S globulins from soy proteins by XRD and FTIR. J. Sci. Food Agric. 2013, 93, 1687–1691. [Google Scholar] [CrossRef]
- Withana-Gamage, T.S.; Wanasundara, J.P.D.; Pietrasik, Z.; Shand, P.J. Physicochemical, thermal and functional characterization of protein isolates from kabuli and des chickpea (Cicer arietinum L.): A comparative study with soy (Glycine max) and pea (Pisum sativum L.). J. Sci. Food Agric. 2011, 91, 1022–1031. [Google Scholar] [CrossRef]
- Wellner, N.; Belton, P.S.; Tatham, A.S. Fourier transform IR spectroscopic study of hydration induced structure changes in the solid state of ω-gliadins. Biochem. J. 1996, 60, 162–170. [Google Scholar] [CrossRef] [PubMed]
- Sharma, L.; Singh, C. Sesame protein based edible films: Development and characterization. Food Hydrocoll. 2016, 61, 139–147. [Google Scholar] [CrossRef]
- Jensen, A.; Lim, L.-T.; Barbut, S.; Marcone, M. Development and characterization of soy protein films incorporated with cellulose fibers using a hot surface casting technique. Food Sci. Technol. 2015, 60, 162–170. [Google Scholar] [CrossRef]
- Nandiyanto, A.B.D.; Ragadhita, R.; Oktiani, R. How to read and interpret FTIR spectroscope of organic material. Indones. J. Sci. Technol. 2019, 1, 97–118. [Google Scholar] [CrossRef]









| Sample | Thickness (mm) | Solubility in Water (%) | Moisture Content (%) |
|---|---|---|---|
| CMCH 100 | 0.13 0.09 a | 55.93 0.33 a | 22.58 0.19 a |
| CMCH 100-0.5% | 0.13 0.02 a | 59.91 0.8 b | 5.96 0.01 b |
| CMCH 100-1% | 0.13 0.10 a | 47.16 0.09 c | 6.78 0.04 bn |
| NaCA 100 | 0.16 0.07 b | 39.04 0.40 d | 38.50 0.40 c |
| NaCA 100-0.5% | 0.16 0.03 b | 16.94 0.39 e | 11.05 0.2 d |
| NaCA 100-1% | 0.17 0.47 c | 22.62 0.83 f | 15.53 0.05 e |
| NaCA 75 | 0.16 0.08 b | 33.84 0.51 g | 24.19 0.26 f |
| NaCA 75-0.5% | 0.16 0.03 b | 27.56 0.1 h | 11.67 0.01 g |
| NaCA 75-1% | 0.17 0.04 c | 27.11 0.87 h | 10.69 0.05 g |
| NaCA 50 | 0.15 0.21 d | 37.60 2.00 i | 21.32 0.27 h |
| NaCa 50-0.5% | 0.17 0.22 c | 40.32 0.02 j | 10.03 0.07 io |
| NaCA 50-1% | 0.18 0.01 e | 30.81 0.6 k | 13.38 0.05 j |
| CaCA 100 | 0.16 0.01 b | 36.48 0.35 i | 33.37 0.23 k |
| CaCA 100-0.5% | 0.17 0.03 c | 30.23 0.65 k | 10.40 0.05 e |
| CaCA 100-1% | 0.18 0.08 e | 29.57 0.01 k | 17.14 0.55 l |
| CaCA 75 | 0.16 0.05 b | 33.39 0.31 g | 22.98 0.25 f |
| CaCA 75-0.5% | 0.16 0.01 b | 31.64 0.02 k | 8.71 0.05 m |
| CaCA 75-1% | 0.17 0.06 c | 28.90 0.34 l | 9.73 0.11 m |
| CaCA 50 | 0.15 0.01 d | 30.34 0.14 k | 19.07 0.80 n |
| CaCA 50-0.5% | 1.6 0.03 b | 37.43 0.9 i | 7.82 0.03 b |
| CaCA 50-1% | 0.16 0.9 b | 30.25 0.76 k | 10.03 0.06 o |
| Sample | L* | a* | b* | WI | |
|---|---|---|---|---|---|
| CMCH 100 | 91.1 ± 0.16 af | −0.70 ± 0.2 fhi | 7.39 ± 0.06 a | 0.05 ag | 0.81 ah |
| CMCH 100-0.5% | 0.37 ab | 0.05 ehi | 0.51 bj | 0.31 e | 0.34 abc |
| CMCH 100-1% | 0.15 abcd | 0.07 cg | 0.73 ab | 0.66 ab | 0.55 abc |
| NaCA 100 | 96.0 ± 0.30 ce | −0.43 ± 0.16 bi | 2.11 ± 0.15 f | 0.11 f | 0.11 j |
| NaCA 100-0.5% | 0.57 df | 0.13 df | 0.64 e | 0.33 ab | 0.53 e |
| NaCA 100-1% | 1.02 abcd | 0.05 abcd | 0.29 c | 0.57 h | 0.73 gh |
| NaCA 75 | 90.2 ± 0.47 ab | −0.93 ± 0.04 gh | 5.5 ± 0.51 ij | 0.10 abc | 0.3 abc |
| NaCA 75-0.5% | 0.43 abc | 0.21 efh | 0.77 d | 0.58 cd | 0.89 f |
| NaCA 75-1% | 1.40 abcd | 0.05 cei | 0.11 d | 0.63 i | 0.88 f |
| NaCA 50 | 90.2 ± 0.22 abcd | −1.17 ± 0.11 g | 3.9 ± 0.18 h | 0.30 d | 0.48 d |
| NaCA 50-0.5% | 0.86 abcd | 0.01 bc | 0.15 d | 0.11 d | 0.59 fg |
| NaCA 50-1% | 0.87 abcd | 0.02 bc | 0.16 d | 0.43 i | 0.59 fg |
| CaCA 100 | 95.7 ± 0.66 e | −0.82 ± 0.08 hi | 1.9 ± 0.25 fg | 0.18 f | 0.62 j |
| CaCA 100-0.5% | 0.49 abcd | 0.13 abd | 0.58 i | 0.72 cd | 0.69 bd |
| CaCA100-1% | 1.30 abc | 0.15 a | 0.30 ab | 0.56 abg | 0.84 ab |
| CaCA 75 | 90.8 ± 0.31 a | −1.35 ± 0.13 a | 4.8 ± 0.53 hi | 0.48 bc | 0.33 abcd |
| CaCA 75-0.5% | 0.16 bcd | 0.08 a | 0.08 ab | 0.09 ac | 0.10 abcd |
| CaCA 75-1% | 0.13 bcd | 0.02 a | 0.33 ab | 0.34 ab | 0.31 abcd |
| CaCA 50 | 91.7 ± 0.20 bcd | −0.91 ± 0.05 g | 4.0 ± 0.09 g | 0.10 e | 0.11 i |
| CaCA 50-0.5% | 0.30 d | 0.03 a | 0.21 a | 0.27 bc | 0.29 abcd |
| CaCA 50-1% | 0.36 cd | 0.02 ad | 0.35 c | 0.38 gh | 0.38 abh |
Disclaimer/Publisher’s Note: The statements, opinions and data contained in all publications are solely those of the individual author(s) and contributor(s) and not of MDPI and/or the editor(s). MDPI and/or the editor(s) disclaim responsibility for any injury to people or property resulting from any ideas, methods, instructions or products referred to in the content. |
© 2024 by the authors. Licensee MDPI, Basel, Switzerland. This article is an open access article distributed under the terms and conditions of the Creative Commons Attribution (CC BY) license (https://creativecommons.org/licenses/by/4.0/).
Share and Cite
Mohamed, A.M.A.; Ramaswamy, H.S. Effect of Soybean Oil on the Improvement of the Functionality of Edible Membrane-Type Food Packaging Films Based on Caseinate–Carboxymethyl Chitosan Compositions. Membranes 2024, 14, 104. https://doi.org/10.3390/membranes14050104
Mohamed AMA, Ramaswamy HS. Effect of Soybean Oil on the Improvement of the Functionality of Edible Membrane-Type Food Packaging Films Based on Caseinate–Carboxymethyl Chitosan Compositions. Membranes. 2024; 14(5):104. https://doi.org/10.3390/membranes14050104
Chicago/Turabian StyleMohamed, Amal M. A., and Hosahalli S. Ramaswamy. 2024. "Effect of Soybean Oil on the Improvement of the Functionality of Edible Membrane-Type Food Packaging Films Based on Caseinate–Carboxymethyl Chitosan Compositions" Membranes 14, no. 5: 104. https://doi.org/10.3390/membranes14050104
APA StyleMohamed, A. M. A., & Ramaswamy, H. S. (2024). Effect of Soybean Oil on the Improvement of the Functionality of Edible Membrane-Type Food Packaging Films Based on Caseinate–Carboxymethyl Chitosan Compositions. Membranes, 14(5), 104. https://doi.org/10.3390/membranes14050104

