Permeance of Condensable Gases in Rubbery Polymer Membranes at High Pressure
Abstract
1. Introduction
2. Materials and Methods
2.1. Preparation of Samples for Gas Sorption Experiments
2.2. TFCM Samples for Gas Transport Experiments
2.3. Gas Permeance Measurements up to and beyond the Saturated Vapor Pressure of a Penetrant
2.4. Gas Sorption over a Wide Pressure Range
2.5. Experimental Uncertainties
3. Results and Discussion
3.1. Experimental Results
3.1.1. Quality Validation of the Experimental Setup and TFCM Stability in the Available Pressure Range
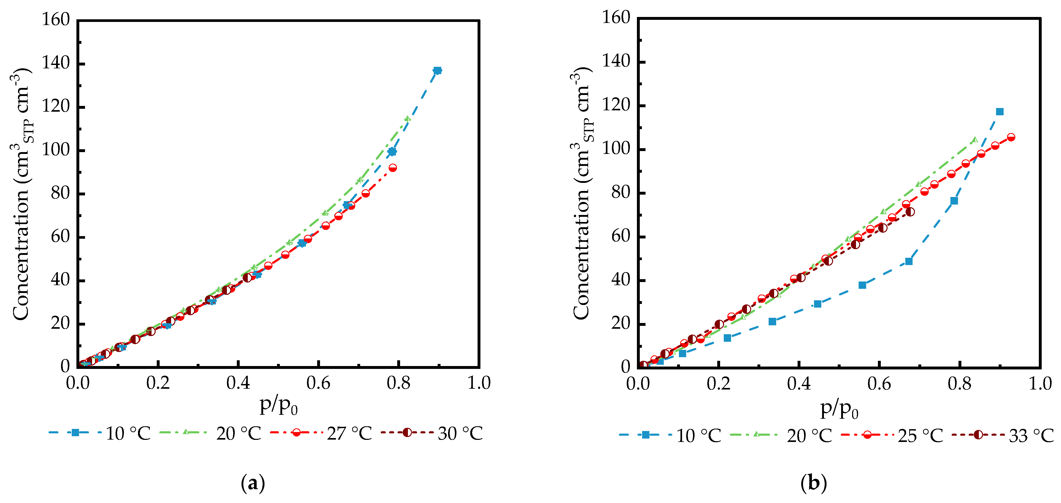
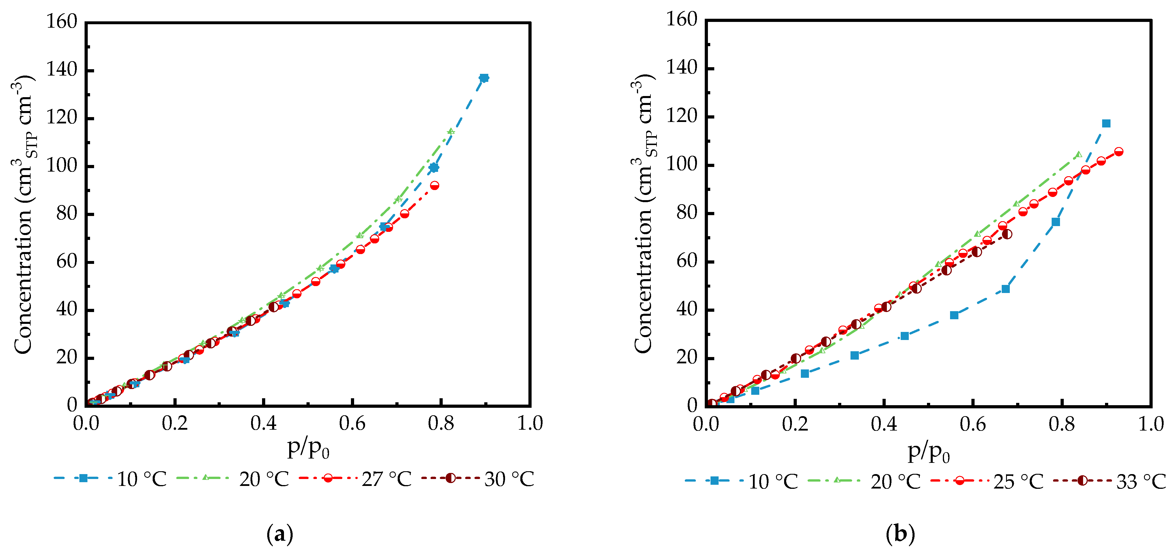
3.1.2. Sorption of CO2 in PDMS and PA Isotropic Films
3.1.3. Gas Flow Rate through TFCMs and Isotropic Films of PDMS and PA
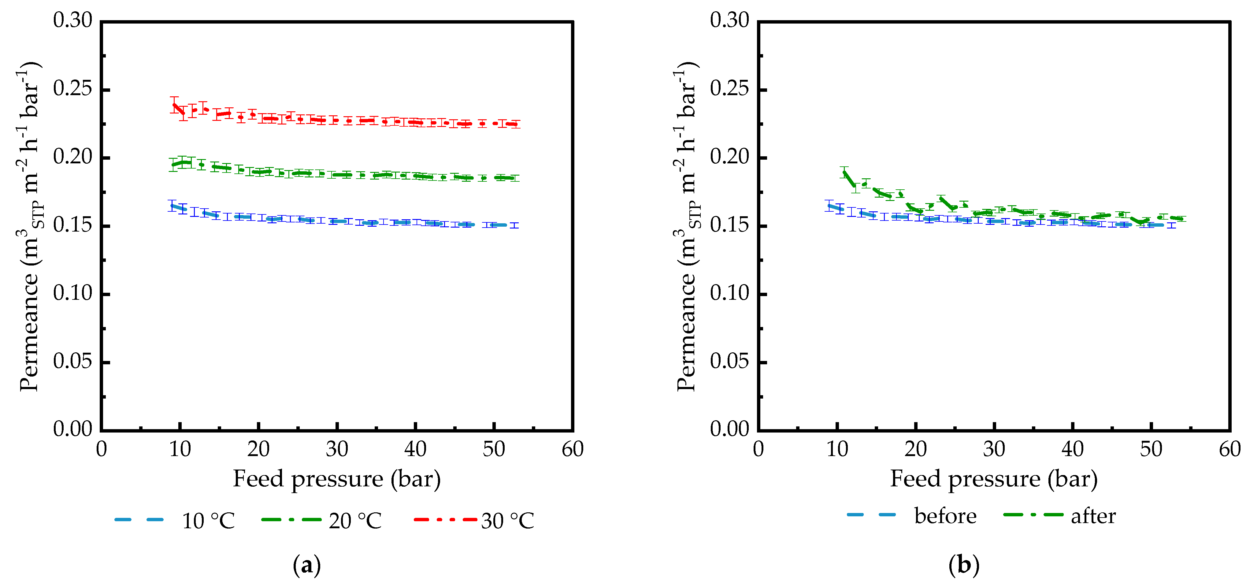
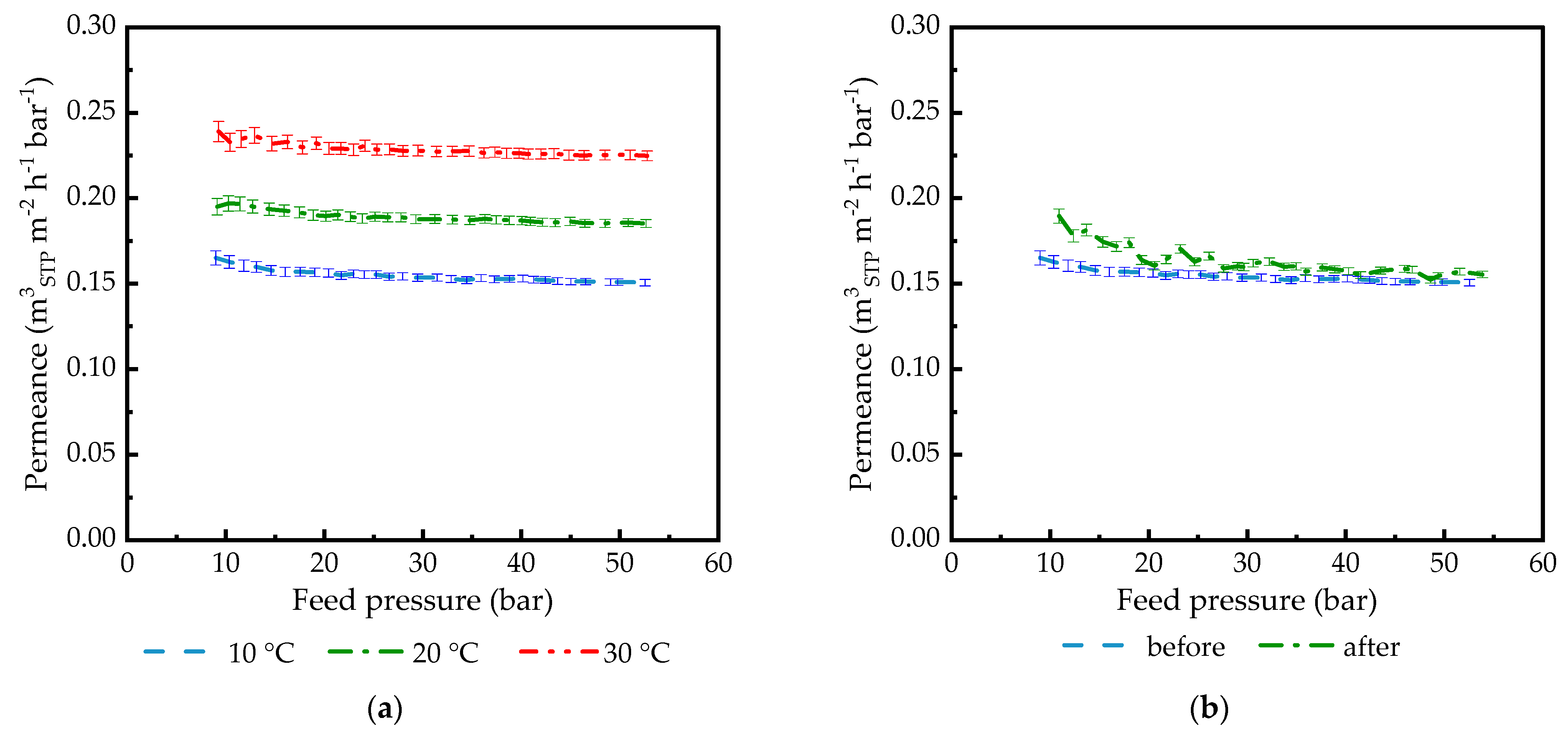
3.1.4. Investigation of TFCM Permeance in Relation to the Feed Pressure of Condensable Penetrants
3.1.5. Gas Transport Properties of GL and UF-PAN Membranes Used as Supports for TFCMs
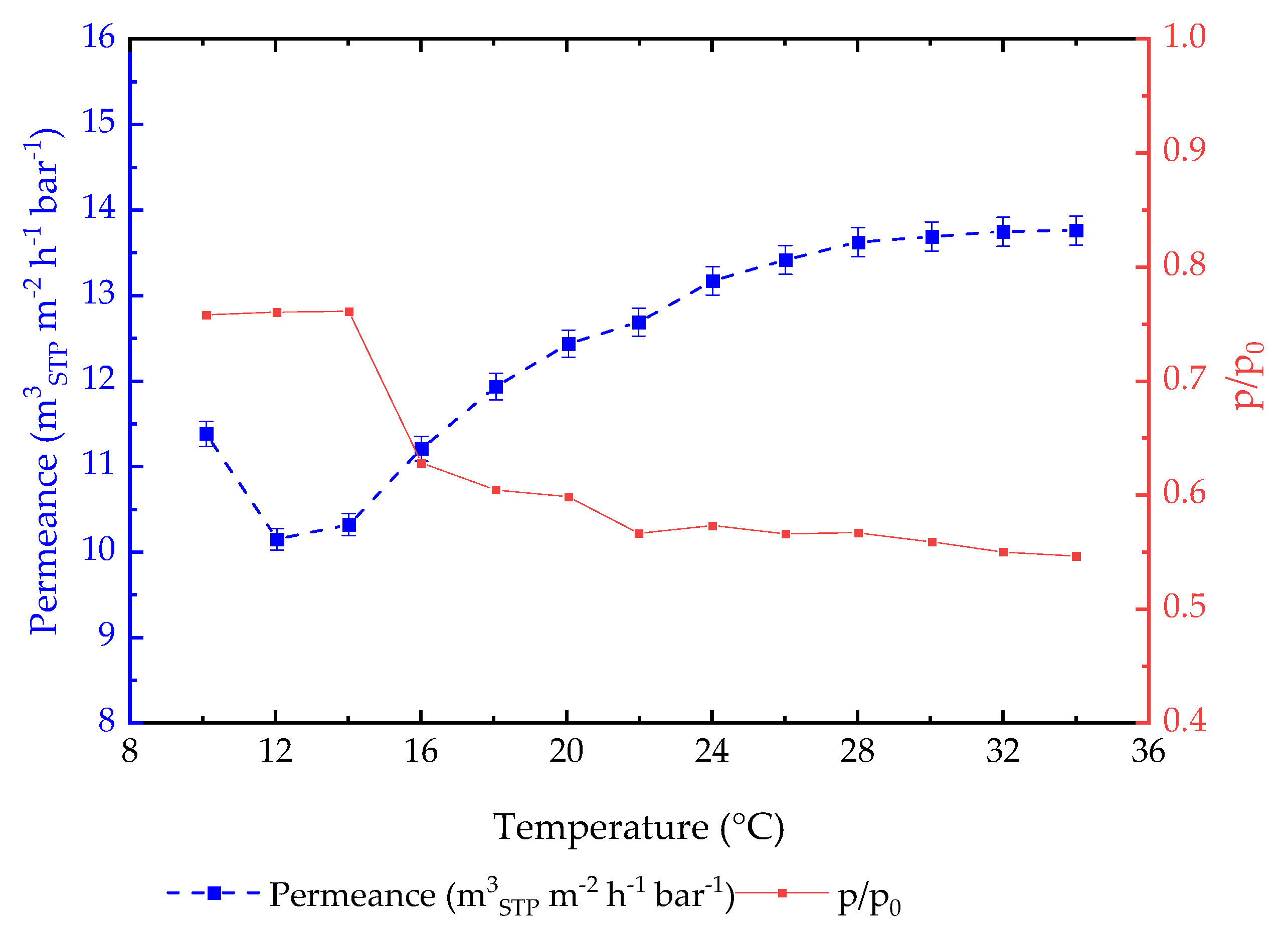
3.1.6. Changes in Permeate Temperature during Experiments in the Full Range of CO2 Activity
3.2. Analysis of the Experimental Results
3.2.1. Experiments with Thick Isotropic Films
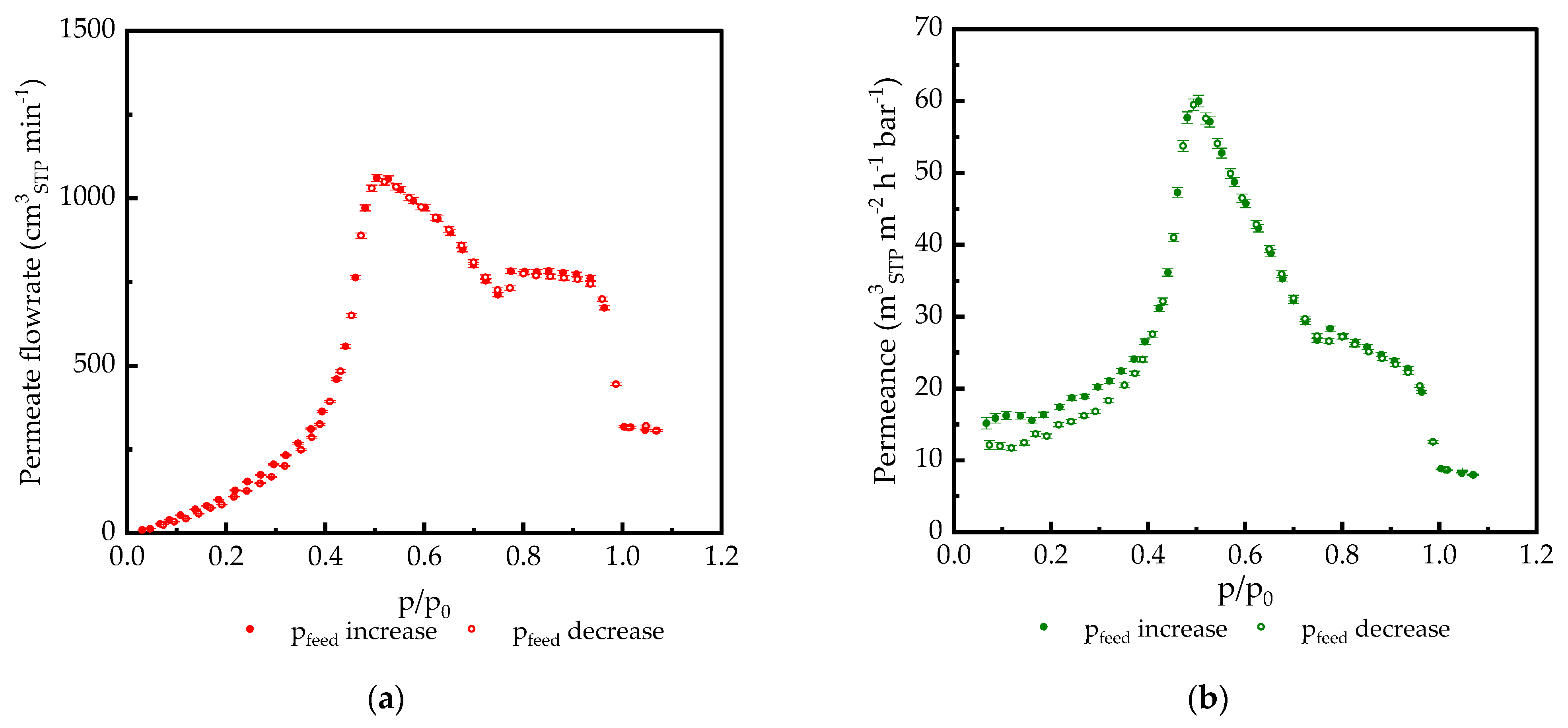
3.2.2. TFCM Permeance Peak at High Pressures
3.2.3. Influence of Support on TFCM Properties
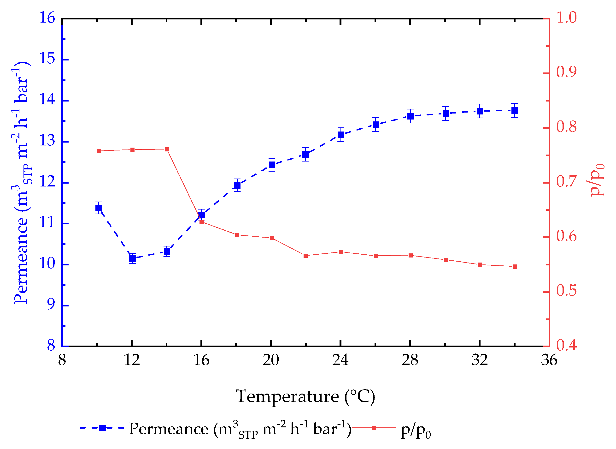
3.2.4. Permeate Temperature Drop during Gas Transport Experiments
4. Conclusions
Supplementary Materials
Author Contributions
Funding
Institutional Review Board Statement
Data Availability Statement
Acknowledgments
Conflicts of Interest
Appendix A
References
- Abetz, V.; Brinkmann, T.; Sözbilir, M. Fabrication and function of polymer membranes. Chem. Teach. Int. 2021, 3, 141–154. [Google Scholar] [CrossRef]
- Brinkmann, T.; Lillepärg, J.; Notzke, H.; Pohlmann, J.; Shishatskiy, S.; Wind, J.; Wolff, T. Development of CO2 Selective Poly(Ethylene Oxide)-Based Membranes: From Laboratory to Pilot Plant Scale. Engineering 2017, 3, 485–493. [Google Scholar] [CrossRef]
- Dai, Z.; Deng, L. Membranes for CO2 capture and separation: Progress in research and development for industrial applications. Sep. Purif. Technol. 2024, 335, 126022. [Google Scholar] [CrossRef]
- Baker, R.W.; Low, B.T. Gas Separation Membrane Materials: A Perspective. Macromolecules 2014, 47, 6999–7013. [Google Scholar] [CrossRef]
- Chen, X.; Liu, G.; Jin, W. Natural Gas Purification by Asymmetric Membranes: An Overview. Green Energy Environ. 2020, 6, 176–192. [Google Scholar] [CrossRef]
- Shahid, S.; Nijmeijer, K. High pressure gas separation performance of mixed-matrix polymer membranes containing mesoporous Fe(BTC). J. Membr. Sci. 2014, 459, 33–44. [Google Scholar] [CrossRef]
- Yuan, M.; Teichgraeber, H.; Wilcox, J.; Brandt, A.R. Design and operations optimization of membrane-based flexible carbon capture. Int. J. Greenh. Gas Control. 2019, 84, 154–163. [Google Scholar] [CrossRef]
- Favre, E. Membrane Separation Processes and Post-Combustion Carbon Capture: State of the Art and Prospects. Membranes 2022, 12, 884. [Google Scholar] [CrossRef]
- Kentish, S.E. 110th Anniversary: Process Developments in Carbon Dioxide Capture Using Membrane Technology. Ind. Eng. Chem. Res. 2019, 58, 12868–12875. [Google Scholar] [CrossRef]
- Baker, R.R.W.; Cussler, E.L.E.; Eykamp, W.; Koros, W.W.J.; Riley, R.L.; Strathmann, H. Membrane Separation Systems—A Research and Development Needs Assessment; USDOE Office of Energy Research: Washington, DC, USA, 1990. [CrossRef]
- Han, Y.; Ho, W.S.W. Recent advances in polymeric facilitated transport membranes for carbon dioxide separation and hydrogen purification. J. Polym. Sci. 2020, 58, 2435–2449. [Google Scholar] [CrossRef]
- Lonsdale, H.K. The growth of membrane technology. J. Membr. Sci. 1982, 10, 81–181. [Google Scholar] [CrossRef]
- Tong, Z.; Sekizkardes, A.K. Recent Developments in High-Performance Membranes for CO2 Separation. Membranes 2021, 11, 156. [Google Scholar] [CrossRef]
- Houben, M.; van Geijn, R.; van Essen, M.; Borneman, Z.; Nijmeijer, K. Supercritical CO2 permeation in glassy polyimide membranes. J. Membr. Sci. 2021, 620, 118922. [Google Scholar] [CrossRef]
- Tiwari, R.R.; Jin, J.; Freeman, B.D.; Paul, D.R. Physical aging, CO2 sorption and plasticization in thin films of polymer with intrinsic microporosity (PIM-1). J. Membr. Sci. 2017, 537, 362–371. [Google Scholar] [CrossRef]
- Alders, M. Membrane Gas Separation at Low Temperatures and High Activity Levels. Ph.D. Dissertation, Rheinisch-Westfälische Technische Hochschule Aachen, Aachen, Germany, 2020. [Google Scholar] [CrossRef]
- Alders, M.; von Bargen, C.; König, A.; Wessling, M. Chilled Membranes—Efficient gas permeation at sub-ambient temperatures. J. Membr. Sci. 2019, 576, 171–181. [Google Scholar] [CrossRef]
- Jordan, S.M.; Koros, W.J.; Fleming, G.K. The effects of CO2 exposure on pure and mixed gas permeation behavior: Comparison of glassy polycarbonate and silicone rubber. J. Membr. Sci. 1987, 30, 191–212. [Google Scholar] [CrossRef]
- Kim, S.; Lee, Y.M. High performance polymer membranes for CO2 separation. Curr. Opin. Chem. Eng. 2013, 2, 238–244. [Google Scholar] [CrossRef]
- Mukhtar, H.B.; Shariff, A.M.; Mannan, H.A. A Review: Fabrication of Enhanced Polymeric Blend Membrane with Amines for Removal of CO2 from Natural Gas. Int. J. Emerg. Technol. Adv. Eng. 2013, 3, 529–551. [Google Scholar]
- Penteado, A.; Esche, E.; Salerno, D.; Godini, H.R.; Wozny, G. Design and Assessment of a Membrane and Absorption Based Carbon Dioxide Removal Process for Oxidative Coupling of Methane. Ind. Eng. Chem. Res. 2016, 55, 7473–7483. [Google Scholar] [CrossRef]
- Fang, S.-M.; Stern, S.A.; Frisch, H.L. A “free volume” model of permeation of gas and liquid mixtures through polymeric membranes. Chem. Eng. Sci. 1975, 30, 773–780. [Google Scholar] [CrossRef]
- Vane, L.M. Effect of membrane performance variability with temperature and feed composition on pervaporation and vapor permeation system design for solvent drying. J. Chem. Technol. Biotechnol. 2022, 97, 2706–2719. [Google Scholar] [CrossRef]
- Schuldt, K.; Pohlmann, J.; Shishatskiy, S.; Brinkmann, T. Applicability of PolyActive™ Thin Film Composite Membranes for CO2 Separation from C2H4 Containing Multi-Component Gas Mixtures at Pressures up to 30 bar. Membranes 2018, 8, 27. [Google Scholar] [CrossRef]
- Koch, K.; Górak, A. Pervaporation of binary and ternary mixtures of acetone, isopropyl alcohol and water using polymeric membranes: Experimental characterisation and modelling. Chem. Eng. Sci. 2014, 115, 95–114. [Google Scholar] [CrossRef]
- Brinkmann, T.; Pohlmann, J.; Withalm, U.; Wind, J.; Wolff, T. Theoretical and Experimental Investigations of Flat Sheet Membrane Module Types for High Capacity Gas Separation Applications. Chem. Ing. Tech. 2013, 85, 1210–1220. [Google Scholar] [CrossRef]
- Car, A.; Stropnik, C.; Yave, W.; Peinemann, K.-V. Tailor-made Polymeric Membranes based on Segmented Block Copolymers for CO2 Separation. Adv. Funct. Mater. 2008, 18, 2815–2823. [Google Scholar] [CrossRef]
- Ioannidi, A.; Vroulias, D.; Kallitsis, J.; Ioannides, T.; Deimede, V. Synthesis and characterization of poly(ethylene oxide) based copolymer membranes for efficient gas/vapor separation: Effect of PEO content and chain length. J. Membr. Sci. 2021, 632, 119353. [Google Scholar] [CrossRef]
- Rahman, M.M. Multiblock copolymers containing polyether segments for separation of C4 hydrocarbons. J. Membr. Sci. 2023, 666, 121176. [Google Scholar] [CrossRef]
- Favre, E.; Schaetzel, P.; Nguygen, Q.T.; Clément, R.; Néel, J. Sorption, diffusion and vapor permeation of various penetrants through dense poly(dimethylsiloxane) membranes: A transport analysis. J. Membr. Sci. 1994, 92, 169–184. [Google Scholar] [CrossRef]
- Abeles, B.; Chen, L.F.; Johnson, J.W.; Drake, J.M. Capillary Condensation and Surface Flow in Microporous Vycor Glass. Isr. J. Chem. 1991, 31, 99–106. [Google Scholar] [CrossRef]
- Lee, K.-H.; Hwang, S.-T. The transport of condensible vapors through a microporous vycor glass membrane. J. Colloid Interface Sci. 1986, 110, 544–555. [Google Scholar] [CrossRef]
- Han, H.; Scofield, J.M.P.; Gurr, P.A.; Webley, P.A.; Qiao, G.G. Ultrathin membrane with robust and superior CO2 permeance by precision control of multilayer structures. Chem. Eng. J. 2023, 462, 142087. [Google Scholar] [CrossRef]
- Kárászová, M.; Zach, B.; Petrusová, Z.; Červenka, V.; Bobák, M.; Šyc, M.; Izák, P. Post-combustion carbon capture by membrane separation, Review. Sep. Purif. Technol. 2020, 238, 116448. [Google Scholar] [CrossRef]
- Yave, W.; Car, A.; Wind, J.; Peinemann, K.-V. Nanometric thin film membranes manufactured on square meter scale: Ultra-thin films for CO2 capture. Nanotechnology 2010, 21, 395301. [Google Scholar] [CrossRef] [PubMed]
- Lillepärg, J.; Sperling, E.; Blanke, M.; Held, M.; Shishatskiy, S. Multicomponent Network Formation in Selective Layer of Composite Membrane for CO2 Separation. Membranes 2021, 11, 174. [Google Scholar] [CrossRef] [PubMed]
- Brennecke, F.; Clodt, J.; Pohlmann, J.; Abetz, C.; Brinkmann, T.; Abetz, V. Computational fluid dynamics simulation of the roll-to-roll coating process for the production of thin film composite membranes including validation. J. Adv. Manuf. Process. 2021, 3, e10076. [Google Scholar] [CrossRef]
- Grünauer, J.; Filiz, V.; Shishatskiy, S.; Abetz, C.; Abetz, V. Scalable application of thin film coating techniques for supported liquid membranes for gas separation made from ionic liquids. J. Membr. Sci. 2016, 518, 178–191. [Google Scholar] [CrossRef]
- Lillepärg, J.; Breitenkamp, S.; Shishatskiy, S.; Pohlmann, J.; Wind, J.; Scholles, C.; Brinkmann, T. Characteristics of Gas Permeation Behaviour in Multilayer Thin Film Composite Membranes for CO2 Separation. Membranes 2019, 9, 22. [Google Scholar] [CrossRef]
- Yave, W.; Car, A. Polymeric Membranes for Post-Combustion Carbon Dioxide (CO2) Capture; Basile, A., Nunes, S.P., Eds.; Woodhead Publishing: Sawston, UK, 2011; pp. 160–183. [Google Scholar] [CrossRef]
- Fuoco, A.; Monteleone, M.; Esposito, E.; Bruno, R.; Ferrando-Soria, J.; Pardo, E.; Armentano, D.; Jansen, J.C. Gas Transport in Mixed Matrix Membranes: Two Methods for Time Lag Determination. Computation 2020, 8, 28. [Google Scholar] [CrossRef]
- De Angelis, M.G.; Merkel, T.C.; Bondar, V.I.; Freeman, B.D.; Doghieri, F.; Sarti, G.C. Hydrocarbon and fluorocarbon solubility and dilation in poly(dimethylsiloxane): Comparison of experimental data with predictions of the Sanchez–Lacombe equation of state. J. Polym. Sci. Part B Polym. Phys. 1999, 37, 3011–3026. [Google Scholar] [CrossRef]
- Kamiya, Y.; Naito, Y.; Hirose, T.; Mizoguchi, K. Sorption and partial molar volume of gases in poly (dimethyl siloxane). J. Polym. Sci. Part B Polym. Phys. 1990, 28, 1297–1308. [Google Scholar] [CrossRef]
- Lin, H.; Freeman, B.D. Gas solubility, diffusivity and permeability in poly(ethylene oxide). J. Membr. Sci. 2004, 239, 105–117. [Google Scholar] [CrossRef]
- Merkel, T.C.; Bondar, V.I.; Nagai, K.; Freeman, B.D.; Pinnau, I. Gas sorption, diffusion, and permeation in poly(dimethylsiloxane). J. Polym. Sci. Pol. Phys. 2000, 38, 415–434. [Google Scholar] [CrossRef]
- Sirard, S.M.; Green, P.F.; Johnston, K.P. Spectroscopic Ellipsometry Investigation of the Swelling of Poly(Dimethylsiloxane) Thin Films with High Pressure Carbon Dioxide. J. Phys. Chem. B 2001, 105, 766–772. [Google Scholar] [CrossRef]
- Horn, N.R.; Paul, D.R. Carbon dioxide plasticization and conditioning effects in thick vs. thin glassy polymer films. Polymer 2011, 52, 1619–1627. [Google Scholar] [CrossRef]
- Flichy, N.M.B.; Kazarian, S.G.; Lawrence, C.J.; Briscoe, B.J. An ATR−IR Study of Poly (Dimethylsiloxane) under High-Pressure Carbon Dioxide: Simultaneous Measurement of Sorption and Swelling. J. Phys. Chem. B 2002, 106, 754–759. [Google Scholar] [CrossRef]
- Rahman, M.M.; Filiz, V.; Shishatskiy, S.; Abetz, C.; Georgopanos, P.; Khan, M.M.; Neumann, S.; Abetz, V. Influence of Poly(ethylene glycol) Segment Length on CO2 Permeation and Stability of PolyActive Membranes and Their Nanocomposites with PEG POSS. ACS Appl. Mater. Interfaces 2014, 7, 12289–12298. [Google Scholar] [CrossRef] [PubMed]
- Rahman, M.M.; Lillepärg, J.; Neumann, S.; Shishatskiy, S.; Abetz, V. A thermodynamic study of CO2 sorption and thermal transition of PolyActive™ under elevated pressure. Polymer 2016, 93, 132–141. [Google Scholar] [CrossRef]
- Blume, I.; Smit, E.; Wessling, M.; Smolders, C.A. Diffusion through rubbery and glassy polymer membranes. Makromol. Chemie. Macromol. Symp. 1991, 45, 237–257. [Google Scholar] [CrossRef]
- Shamu, A.; Dunnewold, M.; Miedema, H.; Borneman, Z.; Nijmeijer, K. Permeation of supercritical CO2 through dense polymeric membranes. J. Supercrit. Fluids 2019, 144, 63–70. [Google Scholar] [CrossRef]
- Henis, J.M.S.; Tripodi, M.K. Composite hollow fiber membranes for gas separation: The resistance model approach. J. Membr. Sci. 1981, 8, 233–246. [Google Scholar] [CrossRef]
- Knudsen, M. Die Gesetze der Molekularströmung und der inneren Reibungsströmung der Gase durch Röhren. Ann. Der Phys. 1909, 333, 75–130. [Google Scholar] [CrossRef]
- Barrer, R.M.; Rideal, E.K. Activated diffusion in membranes. Trans. Faraday Soc. 1939, 35, 644–656. [Google Scholar] [CrossRef]
- Jordan, S.M.; Koros, W.J. Permeability of pure and mixed gases in silicone rubber at elevated pressures. J. Polym. Sci. Part B Polym. Phys. 1990, 28, 795–809. [Google Scholar] [CrossRef]
- Heidari, M.; Hosseini, S.S.; Nasrin, M.O.; Ghadimi, A. Synthesis and fabrication of adsorptive carbon nanoparticles (ACNs)/PDMS mixed matrix membranes for efficient CO2/CH4 and C3H8/CH4 separation. Sep. Purif. Technol. 2019, 209, 503–515. [Google Scholar] [CrossRef]
- Rahman, M.M.; Abetz, C.; Shishatskiy, S.; Martin, J.; Müller, A.J.; Abetz, V. CO2 Selective PolyActive Membrane: Thermal Transitions and Gas Permeance as a Function of Thickness. ACS Appl. Mater. Interfaces 2018, 10, 26733–26744. [Google Scholar] [CrossRef] [PubMed]
- Yu, C.; Xie, Q.; Bao, Y.; Shan, G.; Pan, P. Crystalline and Spherulitic Morphology of Polymers Crystallized in Confined Systems. Crystals 2017, 7, 147. [Google Scholar] [CrossRef]
- Wijmans, J.G.; Baker, R.W. The solution-diffusion model: A review. J. Membr. Sci. 1995, 107, 1–21. [Google Scholar] [CrossRef]
- Lundberg, J.L. Molecular clustering and segregation in sorption systems. Pure Appl. Chem. 1972, 31, 261–282. [Google Scholar] [CrossRef]
- Nguyen, Q.T.; Favre, E.; Ping, Z.H.; Néel, J. Clustering of solvents in membranes and its influence on membrane transport properties. J. Membr. Sci. 1996, 113, 137–150. [Google Scholar] [CrossRef]
- Sun, Y.-M.; Chen, J. Sorption/desorption properties of ethanol, toluene, and xylene in poly(dimethylsiloxane) membranes. J. Appl. Polym. Sci. 1994, 51, 1797–1804. [Google Scholar] [CrossRef]
- Cardini, G.; Schettino, V.; Klein, M.L. Structure and dynamics of carbon dioxide clusters: A molecular dynamics study. J. Chem. Phys. 1989, 90, 4441–4449. [Google Scholar] [CrossRef]
- Uchytil, P.; Loimer, T. Large mass flux differences for opposite flow directions of a condensable gas through an asymmetric porous membrane. J. Membr. Sci. 2014, 470, 451–457. [Google Scholar] [CrossRef]
- Alpers, A.; Keil, B.; Lüdtke, O.; Ohlrogge, K. Organic Vapor Separation: Process Design with Regards to High-Flux Membranes and the Dependence on Real Gas Behavior at High Pressure Applications. Ind. Eng. Chem. Res. 1999, 38, 3754–3760. [Google Scholar] [CrossRef]
- Da Conceicao, M.; Nemetz, L.; Rivero, J.; Hornbostel, K.; Lipscomb, G. Gas Separation Membrane Module Modeling: A Comprehensive Review. Membranes 2023, 13, 639. [Google Scholar] [CrossRef]
- Keller, J.U.; Staudt, R. Gas Adsorption Equilibria: Experimental Methods and Adsorptive Isotherms; Springer Science & Business Media: New York, NY, USA, 2005; pp. 129–135. [Google Scholar]











| Sample Nomenclature | Sample Composition | Note |
|---|---|---|
| UF-PAN 1 | Microporous PAN membrane on polyester non-woven. | Standard support for TFCMs, as described elsewhere [38]. |
| PDMS1280 2 -PAN | PDMS 1280 nm on UF-PAN support (Figure S2a) 3. | Separation layer of PDMS prepared from high-concentration solution. |
| GL | PDMS 600 nm on UF-PAN support. | Standard PDMS gutter layer membrane 4, as described elsewhere [39]. |
| POMS6250-GL | POMS on GL membrane (Figure S2b). | POMS layer deposited using 8 wt% casting solution. |
| PA77-GL | PDMS as top layer on PA selective layer-coated GL membrane (Figure S2c,d). | Standard TFCM, as described elsewhere [40]. |
| PA186-GL | PDMS as top layer on PA selective layer-coated GL membrane. | PA layer deposited using 1 wt% casting solution. |
| PA film | PA 388 µm, 173 µm, and 19 µm thick films. | Isotropic films with uniform thickness. |
| PDMS film | PDMS 285 µm and 261 µm thick films. | Isotropic films with uniform thickness. |
| Parameter | Value, 95% Confidence |
|---|---|
| Membrane area | ±0.5% |
| Volumetric flowrate | ±0.9% of S.P. 1 |
| Feed and permeate pressure determined with LEO3 sensors | 0.2% F.S. 1 |
| Measuring load 1 | ±0.01 mg 1 |
| Pressure determined with sensor (0–50) bar | 0.5% F.S. 1 |
| Huber thermostat temperature stability | ±0.05 °C 1 |
| Temperature determined with sensor Pt100 | ±0.05 K at temperature below 370 K 1 |
| Material | Density in FC770 1 g cm−3 | Uncertainty g cm−3 | Density in He 2 g cm−3 | Uncertainty g cm−3 |
|---|---|---|---|---|
| PDMS | 1.100 | ±0.012 | 1.164 | ±7 × 10−6 |
| PA | 1.176 | ±0.005 | 1.188 3 | ±8 × 10−6 |
Disclaimer/Publisher’s Note: The statements, opinions and data contained in all publications are solely those of the individual author(s) and contributor(s) and not of MDPI and/or the editor(s). MDPI and/or the editor(s) disclaim responsibility for any injury to people or property resulting from any ideas, methods, instructions or products referred to in the content. |
© 2024 by the authors. Licensee MDPI, Basel, Switzerland. This article is an open access article distributed under the terms and conditions of the Creative Commons Attribution (CC BY) license (https://creativecommons.org/licenses/by/4.0/).
Share and Cite
Schuldt, K.; Lillepärg, J.; Pohlmann, J.; Brinkmann, T.; Shishatskiy, S. Permeance of Condensable Gases in Rubbery Polymer Membranes at High Pressure. Membranes 2024, 14, 66. https://doi.org/10.3390/membranes14030066
Schuldt K, Lillepärg J, Pohlmann J, Brinkmann T, Shishatskiy S. Permeance of Condensable Gases in Rubbery Polymer Membranes at High Pressure. Membranes. 2024; 14(3):66. https://doi.org/10.3390/membranes14030066
Chicago/Turabian StyleSchuldt, Karina, Jelena Lillepärg, Jan Pohlmann, Torsten Brinkmann, and Sergey Shishatskiy. 2024. "Permeance of Condensable Gases in Rubbery Polymer Membranes at High Pressure" Membranes 14, no. 3: 66. https://doi.org/10.3390/membranes14030066
APA StyleSchuldt, K., Lillepärg, J., Pohlmann, J., Brinkmann, T., & Shishatskiy, S. (2024). Permeance of Condensable Gases in Rubbery Polymer Membranes at High Pressure. Membranes, 14(3), 66. https://doi.org/10.3390/membranes14030066

