A Case Study on Recycling Industrial Wastewater with Nanofiltration Membrane Separation Technology
Simple Summary
Abstract
1. Introduction
2. Experimental
2.1. Material
2.2. Wastewater Used in the Experiment
2.3. Experimental Methods
- (a)
- Firstly, an optimal membrane material for treating the wastewater was selected among the four membrane materials. Four membranes, NF90, NF270, XN45, and XLE, were used to conduct filtration experiments at the same time, with a running time of 4 h, a membrane system pressure of 100 psi, a flow rate of 1 L/min, a temperature of 25 °C, maintaining the pH of the raw water, and the volume of feedwater of 20 L. Samples were taken to test water flux and salt rejection every half an hour, and samples were collected after 4 h to determine the COD value and other relevant parameters of the treated wastewater. Based on the results of the experiments, one suitable membrane material was selected. The above experiments were conducted a total of four times, maintaining consistent experimental conditions and parameters throughout. The test results presented are the average values derived from these four repetitions. Specific data from repeated experiments, including original measurements, calculated averages, and standard deviations, will be presented in the Supplementary Material.
- (b)
- Tests were conducted with reference to the Dow Membrane Technical Manual (2022) for operating parameters. An orthogonal testing method was used to analyze the effects of temperature, pressure, and flow rate on the membrane operating parameters.
- (c)
- According to the optimized conditions, long-term experiments were carried out. At the same time, after 12 h of operation, the membranes were cleaned in different ways, using NaOH, clean water, and HCl, respectively, and the membranes were cleaned every 6 h. The cleaning method was as follows: remove the membranes, put them in the cleaning solution, shake the membranes at room temperature for 1 h, rinse them with tap water after removal, and then return them to the membrane device for further operation. We compared different cleaning methods for membrane fouling and selected the most suitable treatment for practical application.
2.4. Methods of Analysis and Characterization
3. Results and Discussion
3.1. Water Quality Analysis
3.2. Comparison and Selection of Nanofiltration Membranes
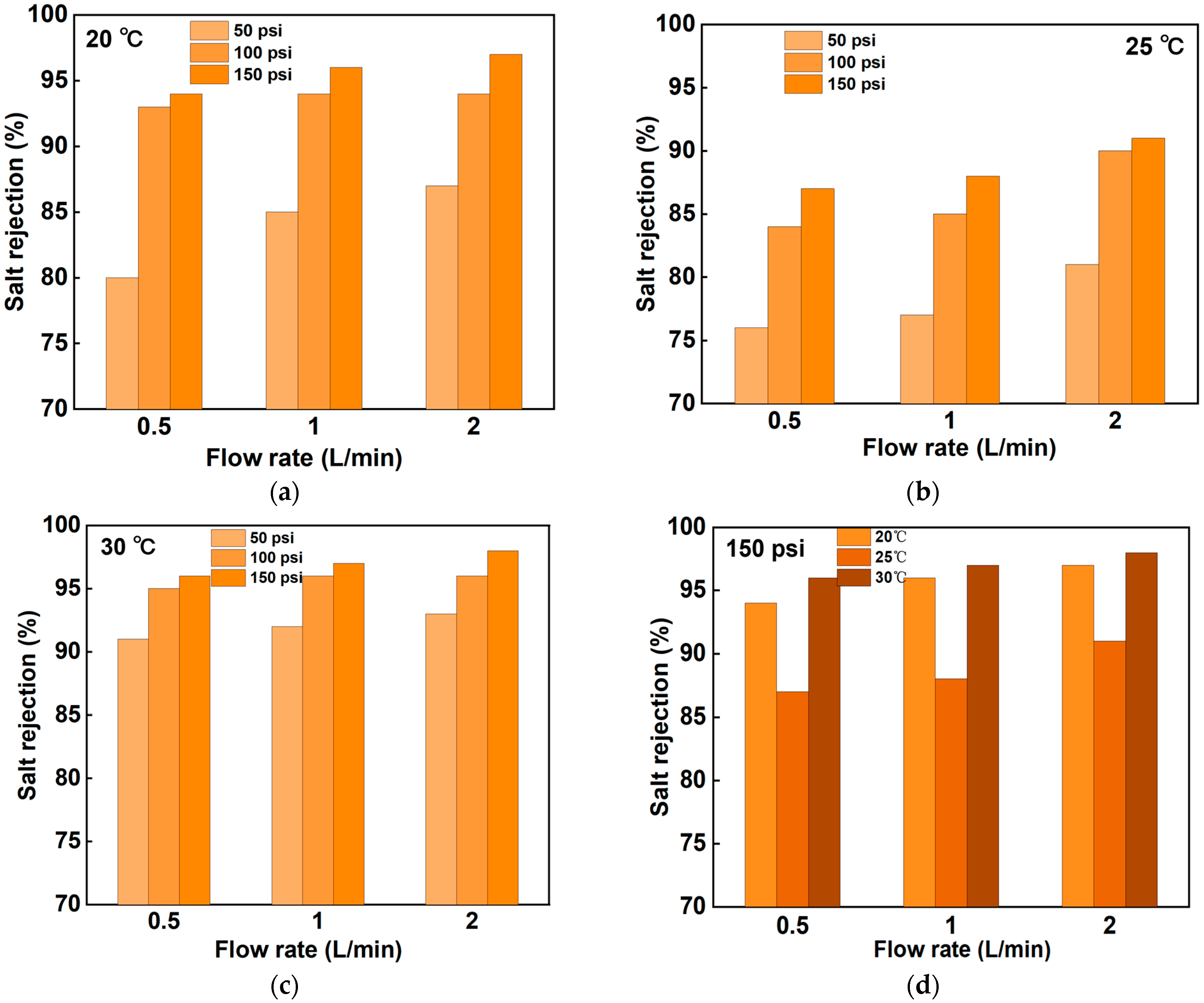
3.3. Determination of Optimum Operating Parameters for NF90
3.4. Continuous Operation Results
4. Conclusions
Supplementary Materials
Author Contributions
Funding
Institutional Review Board Statement
Data Availability Statement
Acknowledgments
Conflicts of Interest
References
- Pan, H.; Xu, X. Research on Factors Affecting Boiler Feedwater Quality and Its Improvement. Open J. Appl. Sci. 2022, 12, 901–911. [Google Scholar] [CrossRef]
- Shokri, A.; Sanavi Fard, M. Principles, Operational Challenges. Perspectives in Boiler Feedwater Treatment Process. Environ. Adv. 2023, 13, 100389. [Google Scholar] [CrossRef]
- Van Limpt, B.; Van Der Wal, A. Water and Chemical Savings in Cooling Towers by Using Membrane Capacitive Deionization. Desalination 2014, 342, 148–155. [Google Scholar] [CrossRef]
- Yu, X.; Yang, H.; Lei, H.; Shapiro, A. Experimental Evaluation on Concentrating Cooling Tower Blowdown Water by Direct Contact Membrane Distillation. Desalination 2013, 323, 134–141. [Google Scholar] [CrossRef]
- Wang, Z.; Fan, Z.; Xie, L.; Wang, S. Study of Integrated Membrane Systems for the Treatment of Wastewater from Cooling Towers. Desalination 2006, 191, 117–124. [Google Scholar] [CrossRef]
- Zhang, J.; Zeng, H.; Ye, C.; Chen, L.; Yan, X. Pilot Test of UF Pretreatment Prior to RO for Cooling Tower Blowdown Reuse of Power Plant. Desalination 2008, 222, 9–16. [Google Scholar] [CrossRef]
- Takht Ravanchi, M.; Kaghazchi, T.; Kargari, A. Application of Membrane Separation Processes in Petrochemical Industry: A Review. Desalination 2009, 235, 199–244. [Google Scholar] [CrossRef]
- Yadav, D.; Karki, S.; Ingole, P.G. Current Advances and Opportunities in the Development of Nanofiltration (NF) Membranes in the Area of Wastewater Treatment, Water Desalination, Biotechnological and Pharmaceutical Applications. J. Environ. Chem. Eng. 2022, 10, 108109. [Google Scholar] [CrossRef]
- Karki, S.; Ingole, P.G. Development of Polymer-Based New High-Performance Thin-Film Nanocomposite Nanofiltration Membranes by Vapor Phase Interfacial Polymerization for the Removal of Heavy Metal Ions. Chem. Eng. J. 2022, 446, 137303. [Google Scholar] [CrossRef]
- Johnson, D.J.; Hilal, N. Nanocomposite Nanofiltration Membranes: State of Play and Recent Advances. Desalination 2022, 524, 115480. [Google Scholar] [CrossRef]
- Song, W.; Li, N.; Ding, S.; Wang, X.; Li, H.; Zhang, Y.; Feng, X.; Lu, J.; Ding, J. Nanofiltration Desalination of Reverse Osmosis Concentrate Pretreated by Advanced Oxidation with Ultrafiltration: Response Surface Optimization and Exploration of Membrane Fouling. J. Environ. Chem. Eng. 2021, 9, 106340. [Google Scholar] [CrossRef]
- Yang, L.; Xia, C.; Jiang, J.; Chen, X.; Zhou, Y.; Yuan, C.; Bai, L.; Meng, S.; Cao, G. Removal of Antibiotics and Estrogens by Nanofiltration and Reverse Osmosis Membranes. J. Hazard. Mater. 2024, 461, 132628. [Google Scholar] [CrossRef] [PubMed]
- Evdochenko, E.; Kamp, J.; Femmer, R.; Xu, Y.; Nikonenko, V.V.; Wessling, M. Unraveling the Effect of Charge Distribution in a Polyelectrolyte Multilayer Nanofiltration Membrane on Its Ion Transport Properties. J. Membr. Sci. 2020, 611, 118045. [Google Scholar] [CrossRef]
- Hilal, N.; Al-Zoubi, H.; Darwish, N.A.; Mohammad, A.W.; Abu Arabi, M. A Comprehensive Review of Nanofiltration Membranes: Treatment, Pretreatment, Modelling, and Atomic Force Microscopy. Desalination 2004, 170, 281–308. [Google Scholar] [CrossRef]
- Oatley-Radcliffe, D.L.; Walters, M.; Ainscough, T.J.; Williams, P.M.; Mohammad, A.W.; Hilal, N. Nanofiltration Membranes and Processes: A Review of Research Trends over the Past Decade. J. Water Process Eng. 2017, 19, 164–171. [Google Scholar] [CrossRef]
- Carvalho, A.L.; Maugeri, F.; Silva, V.; Hernández, A.; Palacio, L.; Pradanos, P. AFM Analysis of the Surface of Nanoporous Membranes: Application to the Nanofiltration of Potassium Clavulanate. J. Mater. Sci. 2011, 46, 3356–3369. [Google Scholar] [CrossRef]
- Cathie Lee, W.P.; Mah, S.-K.; Leo, C.P.; Wu, T.Y.; Chai, S.-P. Phosphorus Removal by NF90 Membrane: Optimisation Using Central Composite Design. J. Taiwan Inst. Chem. Eng. 2014, 45, 1260–1269. [Google Scholar] [CrossRef]
- Bonnelye, V.; Sanz, M.A.; Durand, J.-P.; Plasse, L.; Gueguen, F.; Mazounie, P. Reverse Osmosis on Open Intake Seawater: Pre-Treatment Strategy. Desalination 2004, 167, 191–200. [Google Scholar] [CrossRef]
- Gloede, M.; Melin, T. Physical Aspects of Membrane Scaling. Desalination 2008, 224, 71–75. [Google Scholar] [CrossRef]
- GB/T 19923-2024; Reuse of Urban Recycling Water-Water Quality Standard for Industrial Uses. State Administration for Market Regulation: Beijing, China, 2024.
- GB/T 11914-2022; Water Quality-Determination of the Chemical Oxygen Demand-Dichromate Method. Ministry of Ecology and Environment People’s Republic of China: Beijing, China, 2022.
- ISO 6059-1984; Water Quality—Determination of the Sum of Calcium and Magnesium—EDTA Titrimetric Method. International Organization for Standardization: Geneva, Switzerland, 1984.
- SL 83-1994; Determination of Alkalinity, Bicarbonate and Carbonate (Acid Titration Method). Ministry of Water Resources of the People’s Republic of China: Beijing, China, 1995.
- HJ 585-2010; Water quality—Determination of Free Chlorine and Total Chlorine—Titrimetric Method Using N, N-diethyl-1, 4-Phenylenediamine. Ministry of Ecology and Environment People’s Republic of China: Beijing, China, 2010.
- HJ/T 345-2007; Water quality—Determination of Iron—Phenanthroline Spectrophotometry. Ministry of Ecology and Environment People’s Republic of China: Beijing, China, 2007.
- Kim, S.; Chu, K.H.; Al-Hamadani, Y.A.J.; Park, C.M.; Jang, M.; Kim, D.-H.; Yu, M.; Heo, J.; Yoon, Y. Removal of Contaminants of Emerging Concern by Membranes in Water and Wastewater: A Review. Chem. Eng. J. 2018, 335, 896–914. [Google Scholar] [CrossRef]
- Yang, L.; She, Q.; Wan, M.P.; Wang, R.; Chang, V.W.-C.; Tang, C.Y. Removal of Haloacetic Acids from Swimming Pool Water by Reverse Osmosis and Nanofiltration. Water Res. 2017, 116, 116–125. [Google Scholar] [CrossRef]
- Košutić, K.; Dolar, D.; Ašperger, D.; Kunst, B. Removal of Antibiotics from a Model Wastewater by RO/NF Membranes. Sep. Purif. Technol. 2007, 53, 244–249. [Google Scholar] [CrossRef]
- Greenlee, L.F.; Lawler, D.F.; Freeman, B.D.; Marrot, B.; Moulin, P. Reverse Osmosis Desalination: Water Sources, Technology, and Today’s Challenges. Water Res. 2009, 43, 2317–2348. [Google Scholar] [CrossRef]
- Awais Ashraf, M.; Li, X.; Wang, J.; Guo, S.; Xu, B.-H. DiaNanofiltration-Based Process for Effective Separation of Li+ from the High Mg2+/Li+ Ratio Aqueous Solution. Sep. Purif. Technol. 2020, 247, 116965. [Google Scholar] [CrossRef]
- Jawor, A.; Hoek, E.M.V. Effects of Feed Water Temperature on Inorganic Fouling of Brackish Water RO Membranes. Desalination 2009, 235, 44–57. [Google Scholar] [CrossRef]
- Mo, H.; Tay, K.G.; Ng, H.Y. Fouling of Reverse Osmosis Membrane by Protein (BSA): Effects of pH, Calcium, Magnesium, Ionic Strength and Temperature. J. Membr. Sci. 2008, 315, 28–35. [Google Scholar] [CrossRef]
- Roy, Y.; Warsinger, D.M.; Lienhard, J.H. Effect of Temperature on Ion Transport in Nanofiltration Membranes: Diffusion, Convection, and Electromigration. Desalination 2017, 420, 241–257. [Google Scholar] [CrossRef]
- Zheng, W.; Chen, Y.; Xu, X.; Peng, X.; Niu, Y.; Xu, P.; Li, T. Research on the Factors Influencing Nanofiltration Membrane Fouling and the Prediction of Membrane Fouling. J. Water Process Eng. 2024, 59, 104876. [Google Scholar] [CrossRef]
- Al-Amoudi, A.; Lovitt, R.W. Fouling Strategies and the Cleaning System of NF Membranes and Factors Affecting Cleaning Efficiency. J. Membr. Sci. 2007, 303, 4–28. [Google Scholar] [CrossRef]
- Huang, J.; Luo, J.; Chen, X.; Feng, S.; Wan, Y. New Insights into Effect of Alkaline Cleaning on Fouling Behavior of Polyamide Nanofiltration Membrane for Wastewater Treatment. Sci. Total Environ. 2021, 780, 146632. [Google Scholar] [CrossRef]





| Membrane | Type | Water Flux (L/m2·h) | Interception Molecular Weight (Dalton) | Rejection Rate (%) |
|---|---|---|---|---|
| NF90 | NF | 43 | 100–150 | ≥99.0 |
| NF270 | NF | 70 | 300–400 | ≥97.0 |
| XN45 | NF | 60 | 400–700 | 90.0–97.0 |
| XLE | RO | 30 | 200–300 | ≥99 |
| Source of Industrial Wastewater | Proportion (%) |
|---|---|
| storage tank | 11.54% |
| quality control workshop | 5.77% |
| adhesive coating workshop | 5.77% |
| soft water daily tank | 76.92% |
| Water Quality Parameters | Conductivity (μs/cm) | pH | Total Alkalinity (mg/L) | Total Hardness (mg/L) | Cl− (mg/L) | Total Iron (mg/L) |
| result | 2958 | 8.81 | 380 | 810 | 200 | 0.05 |
| Item | Maximum Contaminant Level |
|---|---|
| pH | 6.5~8.5 |
| BOD (mg/L) | ≤10 |
| COD (mg/L) | ≤60 |
| Cl− (mg/L) | ≤250 |
| total hardness | ≤450 |
| total alkalinity | ≤350 |
| TP (mg/L) | ≤1 |
| Item | Result | Maximum Contaminant Level | Unit |
|---|---|---|---|
| Cl− | 200 | ≤250 | mg/L |
| total iron | 0.05 | ≤0.3 | mg/L |
| total alkalinity | 380 | ≤350 | mg/L |
| total hardness | 810 | ≤450 | mg/L |
| pH | 8.81 | 6.0~9.0 |
| Water Quality Parameters | Wastewater | NF90 | NF270 | XN45 | XLE |
|---|---|---|---|---|---|
| COD | 52 | <1 | 23 | 14 | <1 |
| pH | 7.71 | 5.50 | 3.29 | 6.93 | 3.64 |
| conductivity (μs/cm) | 3035 | 553.6 | 2171 | 2576 | 114.1 |
| total alkalinity (mg/L) | 237.7 | 145.15 | 200.2 | 187.69 | 150.15 |
| total chlorine (mg/L) | 1.6 | 0.63 | 1.12 | 0.63 | 1.12 |
| Operating Parameters | Pressure (psi) | Flow Rate (L/min) | Temperature (°C) |
|---|---|---|---|
| NF90 | 70 | 1.8 | <45 °C |
| Method of Treatment | Conductivity (μs/cm) | pH | Total Alkalinity (mg/L) | Total Hardness (mg/L) | Cl−(mg/L) | Total Iron (ug/L) | COD (mg/L) |
|---|---|---|---|---|---|---|---|
| wastewater | 3096 | 7.92 | 50.69 | 326.33 | 9.65 | 9.57 | 52 |
| NF90 treated with distilled water | 292.8 | 6.62 | 38.79 | 28.03 | 8.70 | 2.78 | 19 |
| NF90 treated with HCl | 235.3 | 6.86 | 23.77 | 17.02 | 8.42 | 2.05 | 15 |
Disclaimer/Publisher’s Note: The statements, opinions and data contained in all publications are solely those of the individual author(s) and contributor(s) and not of MDPI and/or the editor(s). MDPI and/or the editor(s) disclaim responsibility for any injury to people or property resulting from any ideas, methods, instructions or products referred to in the content. |
© 2024 by the authors. Licensee MDPI, Basel, Switzerland. This article is an open access article distributed under the terms and conditions of the Creative Commons Attribution (CC BY) license (https://creativecommons.org/licenses/by/4.0/).
Share and Cite
Deng, Y.; Bai, X.; Lin, J.; Yang, L.; Lin, Y.; Lin, M.; Xiu, G. A Case Study on Recycling Industrial Wastewater with Nanofiltration Membrane Separation Technology. Membranes 2024, 14, 266. https://doi.org/10.3390/membranes14120266
Deng Y, Bai X, Lin J, Yang L, Lin Y, Lin M, Xiu G. A Case Study on Recycling Industrial Wastewater with Nanofiltration Membrane Separation Technology. Membranes. 2024; 14(12):266. https://doi.org/10.3390/membranes14120266
Chicago/Turabian StyleDeng, Yiqiang, Xiaoqian Bai, Jialong Lin, Linyan Yang, Yuqing Lin, Mingyue Lin, and Guangli Xiu. 2024. "A Case Study on Recycling Industrial Wastewater with Nanofiltration Membrane Separation Technology" Membranes 14, no. 12: 266. https://doi.org/10.3390/membranes14120266
APA StyleDeng, Y., Bai, X., Lin, J., Yang, L., Lin, Y., Lin, M., & Xiu, G. (2024). A Case Study on Recycling Industrial Wastewater with Nanofiltration Membrane Separation Technology. Membranes, 14(12), 266. https://doi.org/10.3390/membranes14120266

