Novel, Fluorine-Free Membranes Based on Sulfonated Polyvinyl Alcohol and Poly(ether-block-amide) with Sulfonated Montmorillonite Nanofiller for PEMFC Applications
Abstract
1. Introduction
2. Experimental Methodology
2.1. Materials
2.2. Preparation of Membranes
2.3. Membrane Characterization
2.3.1. Water Uptake (WU) and Swelling Ratio (SR)
2.3.2. Ion Exchange Capacity (IEC)
2.3.3. Thermogravimetric Analysis (TGA) and Thermogravimetry/Mass Spectrometry (TG/MS)
2.3.4. Scanning Electron Microscopy (SEM)
2.3.5. Fourier-Transform Infrared Spectroscopy (FT-IR)
2.3.6. X-ray Diffraction (XRD)
2.3.7. Mechanical Stability
2.3.8. Chemical Stability
2.3.9. Performance of Membrane Electrode Assemblies (MEAs)
3. Results and Discussion
3.1. Water Uptake Capacity and Swelling Ratios of Prepared Membranes
3.2. Ion Exchange Capacity (IEC) of Prepared Membranes
3.3. Thermogravimetric Analysis (TGA) and Thermogravimetry/Mass Spectrometry (TG/MS)
3.4. Scanning Electron Microscopy (SEM) Analysis
3.5. Fourier-Transform Infrared Spectroscopy (FTIR) Analysis
3.6. X-ray Diffraction (XRD) Analysis
3.7. Mechanical Properties
3.8. Chemical Stability Test
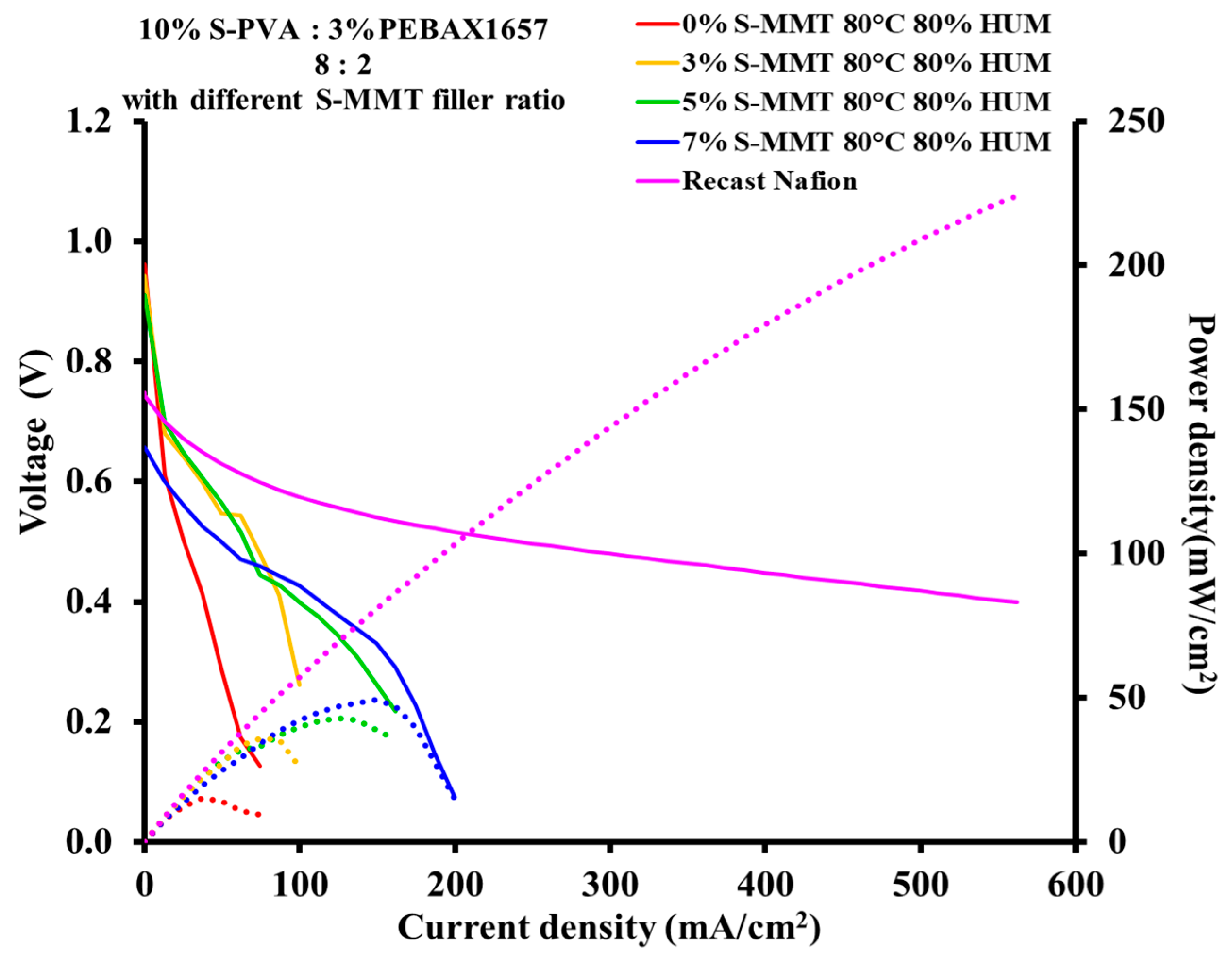
3.9. Fuel Cell Performance Test
4. Conclusions
Author Contributions
Funding
Institutional Review Board Statement
Data Availability Statement
Conflicts of Interest
References
- Al-Mashhadani, M.H.I.; Salmanzade, K.; Tompos, A.; Selim, A. Promising Fluorine-Free Ion Exchange Membranes Based on a Poly(Ether-Block-Amide) Copolymer and Sulfonated Montmorillonite: Influence of Different Copolymer Segment Ratios. Membranes 2024, 14, 17. [Google Scholar] [CrossRef] [PubMed]
- Wang, C.; Zhou, Y.; Xu, C.; Zhao, X.; Li, J.; Ren, Q. Synthesis and Properties of New Side-Chain-Type Poly (Arylene Ether Sulfone) s Containing Tri-Imidazole Cations as Anion-Exchange Membranes. Int. J. Hydrogen Energy 2018, 43, 20739–20749. [Google Scholar] [CrossRef]
- Sahin, A. The Development of Speek/Pva/Teos Blend Membrane for Proton Exchange Membrane Fuel Cells. Electrochim. Acta 2018, 271, 127–136. [Google Scholar] [CrossRef]
- Baroutaji, A.; Carton, J.G.; Sajjia, M.; Olabi, A.G. Materials in PEM Fuel Cells. In Reference Module in Materials Science and Materials Engineering; Elsevier: Amsterdam, The Netherlands, 2015. [Google Scholar] [CrossRef]
- Peighambardoust, S.J.; Rowshanzamir, S.; Amjadi, M. Review of the Proton Exchange Membranes for Fuel Cell Applications. Int. J. Hydrogen Energy 2010, 35, 9349–9384. [Google Scholar] [CrossRef]
- Zaidi, S.M.J. Research Trends in Polymer Electrolyte Membranes for PEMFC. Polym. Membr. Fuel Cells 2009, 7–25. [Google Scholar] [CrossRef]
- Hickner, M.A.; Ghassemi, H.; Kim, Y.S.; Einsla, B.R.; McGrath, J.E. Alternative Polymer Systems for Proton Exchange Membranes (PEMs). Chem. Rev. 2004, 104, 4587–4612. [Google Scholar] [CrossRef] [PubMed]
- Samms, S.R.; Wasmus, S.; Savinell, R.F. Thermal Stability of Nafion® in Simulated Fuel Cell Environments. J. Electrochem. Soc. 1996, 143, 1498–1504. [Google Scholar] [CrossRef]
- Tang, H.; Peikang, S.; Wang, F.; Pan, M. A Degradation Study of Nafion Proton Exchange Membrane of PEM Fuel Cells. J. Power Sources 2007, 170, 85–92. [Google Scholar] [CrossRef]
- Selim, A.; Szijjártó, G.P.; Románszki, L.; Tompos, A. Development of WO3–Nafion Based Membranes for Enabling Higher Water Retention at Low Humidity and Enhancing PEMFC Performance at Intermediate Temperature Operation. Polymers 2022, 14, 2492. [Google Scholar] [CrossRef]
- Şahin, A.; Ar, İ. Synthesis, Characterization and Fuel Cell Performance Tests of Boric Acid and Boron Phosphate Doped, Sulphonated and Phosphonated Poly (Vinyl Alcohol) Based Composite Membranes. J. Power Sources 2015, 288, 426–433. [Google Scholar] [CrossRef]
- Gong, C.; Zheng, X.; Liu, H.; Wang, G.; Cheng, F.; Zheng, G.; Wen, S.; Law, W.-C.; Tsui, C.-P.; Tang, C.-Y. A New Strategy for Designing High-Performance Sulfonated Poly(Ether Ether Ketone) Polymer Electrolyte Membranes Using Inorganic Proton Conductor-Functionalized Carbon Nanotubes. J. Power Sources 2016, 325, 453–464. [Google Scholar] [CrossRef]
- Ye, Y.-S.; Rick, J.; Hwang, B.-J. Water Soluble Polymers as Proton Exchange Membranes for Fuel Cells. Polymers 2012, 4, 913–963. [Google Scholar] [CrossRef]
- Yang, T. Composite Membrane of Sulfonated Poly (Ether Ether Ketone) and Sulfated Poly (Vinyl Alcohol) for Use in Direct Methanol Fuel Cells. J. Memb. Sci. 2009, 342, 221–226. [Google Scholar] [CrossRef]
- Wang, C.; Shen, B.; Xu, C.; Zhao, X.; Li, J. Side-Chain-Type Poly (Arylene Ether Sulfone) s Containing Multiple Quaternary Ammonium Groups as Anion Exchange Membranes. J. Memb. Sci. 2015, 492, 281–288. [Google Scholar] [CrossRef]
- Krishnan, N.N.; Lee, S.; Ghorpade, R.V.; Konovalova, A.; Jang, J.H.; Kim, H.-J.; Han, J.; Henkensmeier, D.; Han, H. Polybenzimidazole (PBI-OO) Based Composite Membranes Using Sulfophenylated TiO2 as Both Filler and Crosslinker, and Their Use in the HT-PEM Fuel Cell. J. Memb. Sci. 2018, 560, 11–20. [Google Scholar] [CrossRef]
- Elakkiya, S.; Arthanareeswaran, G.; Venkatesh, K.; Kweon, J. Enhancement of Fuel Cell Properties in Polyethersulfone and Sulfonated Poly (Ether Ether Ketone) Membranes Using Metal Oxide Nanoparticles for Proton Exchange Membrane Fuel Cell. Int. J. Hydrogen Energy 2018, 43, 21750–21759. [Google Scholar] [CrossRef]
- Wang, C.; Shen, B.; Zhou, Y.; Xu, C.; Chen, W.; Zhao, X.; Li, J. Sulfonated Aromatic Polyamides Containing Nitrile Groups as Proton Exchange Fuel Cell Membranes. Int. J. Hydrogen Energy 2015, 40, 6422–6429. [Google Scholar] [CrossRef]
- Mollá, S.; Compañ, V.; Gimenez, E.; Blazquez, A.; Urdanpilleta, I. Novel Ultrathin Composite Membranes of Nafion/PVA for PEMFCs. Int. J. Hydrogen Energy 2011, 36, 9886–9895. [Google Scholar] [CrossRef]
- Şahin, A.; Balbaşi, M.; Ar, I. Synthesis and Characterization of Sulphonated Polystyrene/Polyvinyl Alcohol Composite Membrane with Boric Acid and Boron Phosphate Support. J. Fac. Eng. Archit. Gazi Univ. 2009, 24, 137–144. [Google Scholar]
- Gohel, J.V.; Mishra, P.S.; Murthy, Z.V.P. TiO2 Nanoparticles Prepared by Mechanical Reduction Technique for Superior DMFC Nanocomposite PVA Membranes. Sep. Sci. Technol. 2019, 54, 233–246. [Google Scholar] [CrossRef]
- Shabanpanah, S.; Omrani, A. Improved Proton Conductivity and Methanol Permeability of PVA-Based Proton Exchange Membranes Using Diphenylamine-4-Sulfonic Acid Sodium Salt and Silica Nanoparticles. Polym.-Plast. Technol. Mater. 2019, 58, 1662–1677. [Google Scholar] [CrossRef]
- Altaf, F.; Gill, R.; Batool, R.; Drexler, M.; Alamgir, F.; Abbas, G.; Jacob, K. Proton Conductivity and Methanol Permeability Study of Polymer Electrolyte Membranes with Range of Functionalized Clay Content for Fuel Cell Application. Eur. Polym. J. 2019, 110, 155–167. [Google Scholar] [CrossRef]
- Yang, T. Preliminary Study of SPEEK/PVA Blend Membranes for DMFC Applications. Int. J. Hydrogen Energy 2008, 33, 6772–6779. [Google Scholar] [CrossRef]
- El-Toony, M.M.; Abdel-Hady, E.E.; El-Kelsh, N.A. Casting of Poly Hydroxybutarate/Poly (Vinyl Alcohol)Membranes for Proton Exchange Fuel Cells. Electrochim. Acta 2014, 150, 290–297. [Google Scholar] [CrossRef]
- Remiš, T.; Kadlec, J. Influence of Silicon Oxide (SiO2) and Sulfosuccinic Acid (SSA) Loading on Properties of Poly(Vinyl Alcohol) (PVA) Derived Composite Membranes. J. Phys. Conf. Ser. 2018, 1045, 012035. [Google Scholar] [CrossRef]
- Rhim, J.W.; Park, H.B.; Lee, C.S.; Jun, J.H.; Kim, D.S.; Lee, Y.M. Crosslinked Poly(Vinyl Alcohol) Membranes Containing Sulfonic Acid Group: Proton and Methanol Transport through Membranes. J. Memb. Sci. 2004, 238, 143–151. [Google Scholar] [CrossRef]
- Awad, S.; Abdel-Hady, E.E.; Mohamed, H.F.M.; Elsharkawy, Y.S.; Gomaa, M.M. Non-Fluorinated PVA/SSA Proton Exchange Membrane Studied by Positron Annihilation Technique for Fuel Cell Application. Polym. Adv. Technol. 2021, 32, 3322–3332. [Google Scholar] [CrossRef]
- Clarizia, G.; Bernardo, P. Polyether Block Amide as Host Matrix for Nanocomposite Membranes Applied to Different Sensitive Fields. Membranes 2022, 12, 1096. [Google Scholar] [CrossRef]
- Selim, A.; Knozowska, K.; Ośmiałowski, B.; Kujawa, J.; Mizsey, P.; Kujawski, W. The Fabrication, Characterization, and Pervaporation Performance of Poly (Ether-Block-Amide) Membranes Blended with 4-(Trifluoromethyl)-N (Pyridine-2-Yl) Benzamide and 4-(Dimethylamino)-N (Pyridine-2-Yl) Benzamide Fillers. Sep. Purif. Technol. 2021, 268, 118707. [Google Scholar] [CrossRef]
- Gu, J.; Shi, X.; Bai, Y.; Zhang, H.; Zhang, L.; Huang, H. Silicalite-Filled PEBA Membranes for Recovering Ethanol from Aqueous Solution by Pervaporation. Chem. Eng. Technol. Ind. Chem.-Plant Equip.-Process Eng.-Biotechnol. 2009, 32, 155–160. [Google Scholar] [CrossRef]
- Martínez-Izquierdo, L.; Perea-Cachero, A.; Malankowska, M.; Téllez, C.; Coronas, J. A Comparative Study between Single Gas and Mixed Gas Permeation of Polyether-Block-Amide Type Copolymer Membranes. J. Environ. Chem. Eng. 2022, 10, 108324. [Google Scholar] [CrossRef]
- Ebadi, R.; Maghsoudi, H.; Babaluo, A.A. Fabrication and Characterization of Pebax-1657 Mixed Matrix Membrane Loaded with Si-CHA Zeolite for CO2 Separation from CH4. J. Nat. Gas. Sci. Eng. 2021, 90, 103947. [Google Scholar] [CrossRef]
- Nasrollahi, N.; Ghalamchi, L.; Vatanpour, V.; Khataee, A.; Yousefpoor, M. Novel Polymeric Additives in the Preparation and Modification of Polymeric Membranes: A Comprehensive Review. J. Ind. Eng. Chem. 2022, 109, 100–124. [Google Scholar] [CrossRef]
- Li, W.; Chang, Z.; Lin, L.; Xu, X. Effect of Montmorillonite on PEBAX®1074-Based Mixed Matrix Membranes to Be Used in Humidifiers in Proton Exchange Membrane Fuel Cells. e-Polymers 2020, 20, 171–184. [Google Scholar] [CrossRef]
- Nagar, H.; Sumana, C.; Rao, V.V.B.; Sridhar, S. Performance Evaluation of Sodium Alginate–Pebax Polyion Complex Membranes for Application in Direct Methanol Fuel Cells. J. Appl. Polym. Sci. 2017, 134, 44485. [Google Scholar] [CrossRef]
- Wang, F.; Han, S.; Zhang, Y.; Gao, L.; Li, X.; Zhao, L.; Ye, H.; Li, H.; Xin, Q.; Zhang, Y. Constructing Rapid Water Vapor Transport Channels within Mixed Matrix Membranes Based on Two-Dimensional Mesoporous Nanosheets. Commun. Chem. 2022, 5, 65. [Google Scholar] [CrossRef]
- Xing, D.; He, G.; Hou, Z.; Ming, P.; Song, S. Preparation and Characterization of a Modified Montmorillonite/Sulfonated Polyphenylether Sulfone/PTFE Composite Membrane. Int. J. Hydrogen Energy 2011, 36, 2177–2183. [Google Scholar] [CrossRef]
- Gouda, M.H.; Elessawy, N.A.; Santos, D.M.F. Synthesis and Characterization of Novel Green Hybrid Nanocomposites for Application as Proton Exchange Membranes in Direct Borohydride Fuel Cells. Energies 2020, 13, 1180. [Google Scholar] [CrossRef]
- Ghosh, P.; Ganguly, S.; Kargupta, K. Phosphosilicate Nano-Network (PPSN)-Polybenzimidazole (PBI) Composite Electrolyte Membrane for Enhanced Proton Conductivity, Durability and Power Generation of HT-PEMFC. Int. J. Hydrogen Energy 2022, 47, 32287–32302. [Google Scholar] [CrossRef]
- Verde Nolasco, D. Optimization of Membrane Electrode Assembly for PEM Fuel Cells. Master’s Thesis, Budapest University of Technology and Economics, Budapest, Hungary, 2021. [Google Scholar]
- Selim, A.; Szijjártó, G.P.; Tompos, A. Insights into the Influence of Different Pre-Treatments on Physicochemical Properties of Nafion XL Membrane and Fuel Cell Performance. Polymers 2022, 14, 3385. [Google Scholar] [CrossRef]
- Radmanesh, F.; Rijnaarts, T.; Moheb, A.; Sadeghi, M.; de Vos, W.M. Enhanced Selectivity and Performance of Heterogeneous Cation Exchange Membranes through Addition of Sulfonated and Protonated Montmorillonite. J. Colloid Interface Sci. 2019, 533, 658–670. [Google Scholar] [CrossRef] [PubMed]
- Tsuge, S.; Ohtani, H.; Watanabe, C. Pyrolysis-GC/MS Data Book of Synthetic Polymers. Pyrograms, Thermograms and MS of Pyrolyzates; Elsevier: Amsterdam, Netherlands, 2012. [Google Scholar]
- Chandra Kishore, S.; Perumal, S.; Atchudan, R.; Alagan, M.; Wadaan, M.A.; Baabbad, A.; Manoj, D. Recent Advanced Synthesis Strategies for the Nanomaterial-Modified Proton Exchange Membrane in Fuel Cells. Membranes 2023, 13, 590. [Google Scholar] [CrossRef]
- Raduwan, N.F.; Shaari, N.; Kamarudin, S.K.; Masdar, M.S.; Yunus, R.M. An Overview of Nanomaterials in Fuel Cells: Synthesis Method and Application. Int. J. Hydrogen Energy 2022, 47, 18468–18495. [Google Scholar] [CrossRef]
- Lee, C.; Park, J.; Jeon, Y.; Park, J.I.; Einaga, H.; Truong, Y.B.; Kyratzis, I.L.; Mochida, I.; Choi, J.; Shul, Y.G. Phosphate-Modified TiO2/ZrO2 Nanofibrous Web Composite Membrane for Enhanced Performance and Durability of High-Temperature Proton Exchange Membrane Fuel Cells. Energy Fuels 2017, 31, 7645–7652. [Google Scholar] [CrossRef]
- Parnian, M.J.; Rowshanzamir, S.; Alipour Moghaddam, J. Investigation of Physicochemical and Electrochemical Properties of Recast Nafion Nanocomposite Membranes Using Different Loading of Zirconia Nanoparticles for Proton Exchange Membrane Fuel Cell Applications. Mater. Sci. Energy Technol. 2018, 1, 146–154. [Google Scholar] [CrossRef]
- Liu, H.; Gong, C.; Wang, J.; Liu, X.; Liu, H.; Cheng, F.; Wang, G.; Zheng, G.; Qin, C.; Wen, S. Chitosan/Silica Coated Carbon Nanotubes Composite Proton Exchange Membranes for Fuel Cell Applications. Carbohydr. Polym. 2016, 136, 1379–1385. [Google Scholar] [CrossRef]
- Martínez-Felipe, A.; Moliner-Estopiñán, C.; Imrie, C.T.; Ribes-Greus, A. Characterization of Crosslinked Poly(Vinyl Alcohol)-Based Membranes with Different Hydrolysis Degrees for Their Use as Electrolytes in Direct Methanol Fuel Cells. J. Appl. Polym. Sci. 2012, 124, 1000–1011. [Google Scholar] [CrossRef]
- Esposito, G.R.; Dingemans, T.J.; Pearson, R.A. Changes in Polyamide 11 Microstructure and Chemistry during Selective Laser Sintering. Addit. Manuf. 2021, 48, 102445. [Google Scholar] [CrossRef]
- Laberty-Robert, C.; Vallé, K.; Pereira, F.; Sanchez, C. Design and Properties of Functional Hybrid Organic–Inorganic Membranes for Fuel Cells. Chem. Soc. Rev. 2011, 40, 961–1005. [Google Scholar] [CrossRef]
- Yang, C.C. Fabrication and Characterization of Poly(Vinyl Alcohol)/Montmorillonite/ Poly(Styrene Sulfonic Acid) Proton-Conducting Composite Membranes for Direct Methanol Fuel Cells. Int. J. Hydrogen Energy 2011, 36, 4419–4431. [Google Scholar] [CrossRef]
- Perez, G.A.P.; Dumont, M.J. Polyvinyl Sulfonated Catalyst and the Effect of Sulfonic Sites on the Dehydration of Carbohydrates. Chem. Eng. J. 2021, 419, 129573. [Google Scholar] [CrossRef]
- Liu, Q.; Zhang, S.; Wang, Z.; Han, J.; Song, C.; Xu, P.; Wang, X.; Fu, S.; Jian, X. Investigation into the Performance Decay of Proton-Exchange Membranes Based on Sulfonated Heterocyclic Poly(Aryl Ether Ketone)s in Fenton’s Reagent. Phys. Chem. Chem. Phys. 2022, 24, 1760–1769. [Google Scholar] [CrossRef] [PubMed]
- Kwon, T.; Lim, Y.; Cho, J.; Lawler, R.; Min, B.J.; Goddard, W.A.; Jang, S.S.; Kim, J.Y. Antioxidant Technology for Durability Enhancement in Polymer Electrolyte Membranes for Fuel Cell Applications. Mater. Today 2022, 58, 135–163. [Google Scholar] [CrossRef]










| Composition of Membrane | Name of Membrane |
|---|---|
| S-PVA 8:2 PEBAX1657 without S-MMT | SPP 0% S-MMT |
| S-PVA 8:2 PEBAX1657 with 3% S-MMT | SPP 3% S-MMT |
| S-PVA 8:2 PEBAX1657 with 5% S-MMT | SPP 5% S-MMT |
| S-PVA 8:2 PEBAX1657 with 7% S-MMT | SPP 7% S-MMT |
| Component | Description | Type |
|---|---|---|
| GDL | 40 × 40 × 0.250 mm3 | H23C6-type carbon paper from Freudenberg FCCT SE & Co |
| Catalyst | Loading: 0.15 mg Pt/cm2, both on the cathode and anode sides | QuinTech C-40-PT with 40 m/m% Pt content |
| Catalyst ink | 30 mg of catalyst, 320 μL of Nafion solution, and 320 μL of 2-propanol | Nafion solution (5 m/m% Quintech NS05) 2-propanol (99.99 v/v%, Molar Chemicals Kft.) |
| PEM | 70 × 70 mm2. Our homemade membranes were soaked with 0.5 M sulphuric acid | |
| Gasket | 70 × 70 × 0.15 with a 41 × 41 mm2 window | BRALEN FA 03-01 |
| Sample | Residue (%) |
|---|---|
| SPP 0% S-MMT | 17.36% |
| SPP 3% S-MMT | 18.42% |
| SPP 5% S-MMT | 19.01% |
| SPP 7% S-MMT | 20.45% |
| Wavelength (cm−1) | Functional Group/Bond | Observation/Description |
|---|---|---|
| 1020 cm−1 | C-O-C stretching vibration | Attributable to ether groups in the membrane components [32,39,46]. |
| 1130 cm−1 | C-C bond | Stretching vibration in the membrane constituents [32,39,46]. |
| 1416 cm−1 | Carboxylate groups | Stretching vibration indicates the presence of carboxylate in the membrane [32,39,46]. |
| 1630 cm−1 | Carbonyl (C=O) in SPP S-MMT blends | Red shift due to hydrogen bonding between OH groups in PVA and C=O groups in PEBAX. Peak intensity increases with S-MMT content. |
| 1650 cm−1 | Carbonyl (C=O) stretching in pure PEBAX | Indicates a minor shift when compared to the spectrum of PEBAX with hydrogen bonding interactions [1]. |
| 1657 cm−1 | Amide groups of PEBAX | Reference for pure PEBAX. Overlaps in the presence of S-MMT, suggesting interaction with hydroxyl groups in sulfonic acid [1]. |
| 1730–1735 cm−1 | Ester carbonyl (-COO-) groups | Appearance due to esterification of carboxyl groups in SSA with hydroxyl groups in PVA, indicating the presence of SSA-modified PVA [32,39,46]. |
| 2940 cm−1 | C-H stretching vibration | Attributed to stretching vibrations of the C-H groups present in the membrane components [32,39,46]. |
| 3150 cm−1 | O-H stretching vibration | Represents stretching vibrations of O-H groups, which is indicative of hydroxyl content in the membranes [32,39,46]. |
Disclaimer/Publisher’s Note: The statements, opinions and data contained in all publications are solely those of the individual author(s) and contributor(s) and not of MDPI and/or the editor(s). MDPI and/or the editor(s) disclaim responsibility for any injury to people or property resulting from any ideas, methods, instructions or products referred to in the content. |
© 2024 by the authors. Licensee MDPI, Basel, Switzerland. This article is an open access article distributed under the terms and conditions of the Creative Commons Attribution (CC BY) license (https://creativecommons.org/licenses/by/4.0/).
Share and Cite
Al-Mashhadani, M.H.I.; Szijjártó, G.P.; Sebestyén, Z.; Károly, Z.; Mihály, J.; Tompos, A. Novel, Fluorine-Free Membranes Based on Sulfonated Polyvinyl Alcohol and Poly(ether-block-amide) with Sulfonated Montmorillonite Nanofiller for PEMFC Applications. Membranes 2024, 14, 211. https://doi.org/10.3390/membranes14100211
Al-Mashhadani MHI, Szijjártó GP, Sebestyén Z, Károly Z, Mihály J, Tompos A. Novel, Fluorine-Free Membranes Based on Sulfonated Polyvinyl Alcohol and Poly(ether-block-amide) with Sulfonated Montmorillonite Nanofiller for PEMFC Applications. Membranes. 2024; 14(10):211. https://doi.org/10.3390/membranes14100211
Chicago/Turabian StyleAl-Mashhadani, Manhal H. Ibrahim, Gábor Pál Szijjártó, Zoltán Sebestyén, Zoltán Károly, Judith Mihály, and András Tompos. 2024. "Novel, Fluorine-Free Membranes Based on Sulfonated Polyvinyl Alcohol and Poly(ether-block-amide) with Sulfonated Montmorillonite Nanofiller for PEMFC Applications" Membranes 14, no. 10: 211. https://doi.org/10.3390/membranes14100211
APA StyleAl-Mashhadani, M. H. I., Szijjártó, G. P., Sebestyén, Z., Károly, Z., Mihály, J., & Tompos, A. (2024). Novel, Fluorine-Free Membranes Based on Sulfonated Polyvinyl Alcohol and Poly(ether-block-amide) with Sulfonated Montmorillonite Nanofiller for PEMFC Applications. Membranes, 14(10), 211. https://doi.org/10.3390/membranes14100211

