Loose Nanofiltration Membrane Incorporating CeZnFe Layered Double Hydroxide with Enhanced Dye/Salt Separation Performance and Self-Cleaning Ability
Abstract
1. Introduction
2. Materials and Methods
2.1. Materials
2.2. Synthesis of CeZnFe LDH
2.3. Fabrication of Membranes
2.4. Characterization of CeZnFe LDH and Fabricated Membranes
2.5. Separation Performance of Fabricated Membrane
2.6. Photocatalytic Properties, Self-Cleaning Ability, and Membrane Integrity
3. Results and Discussion
3.1. Characterization of CeZnFe LDH
3.2. Characterization of Fabricated Membranes
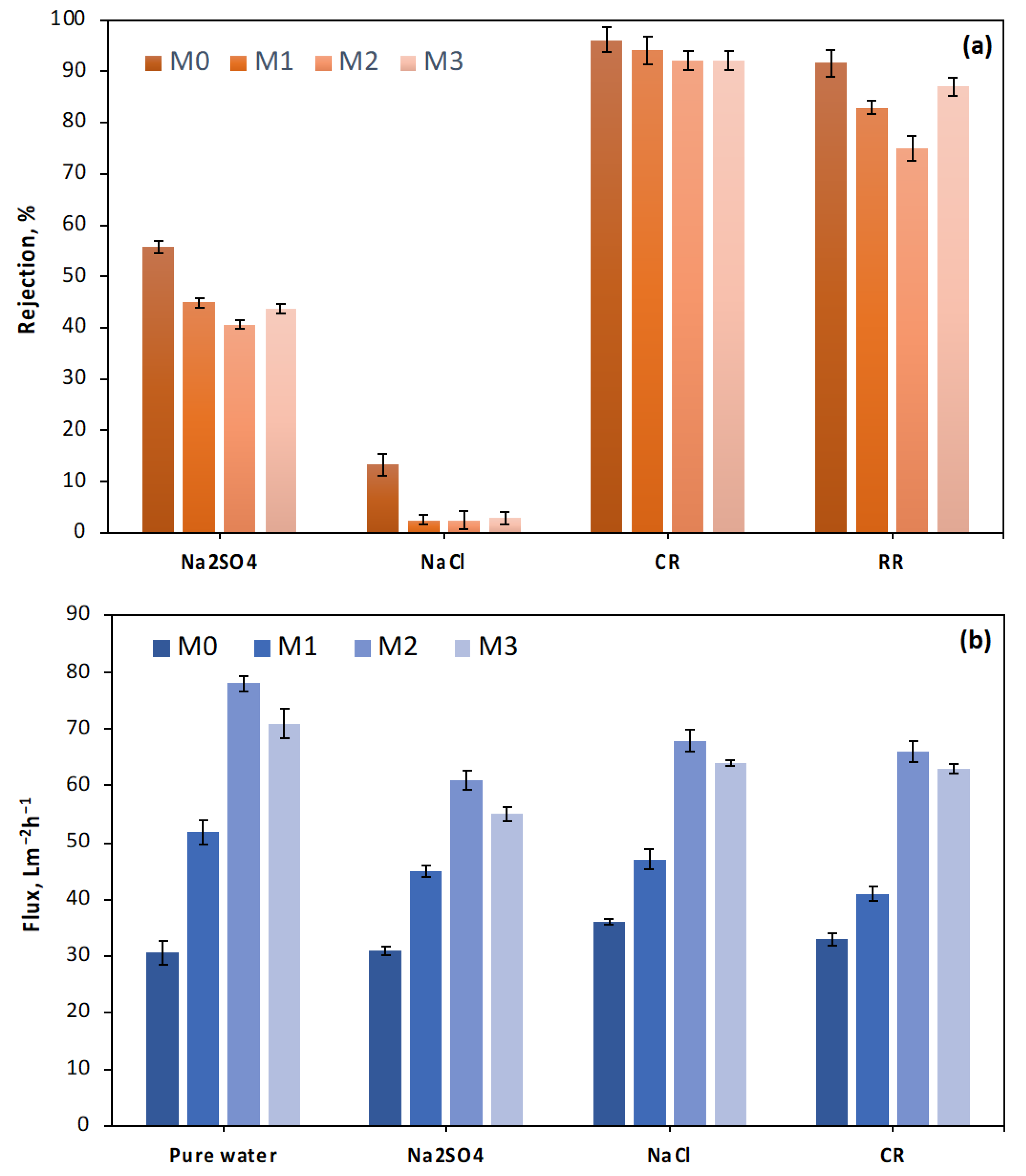
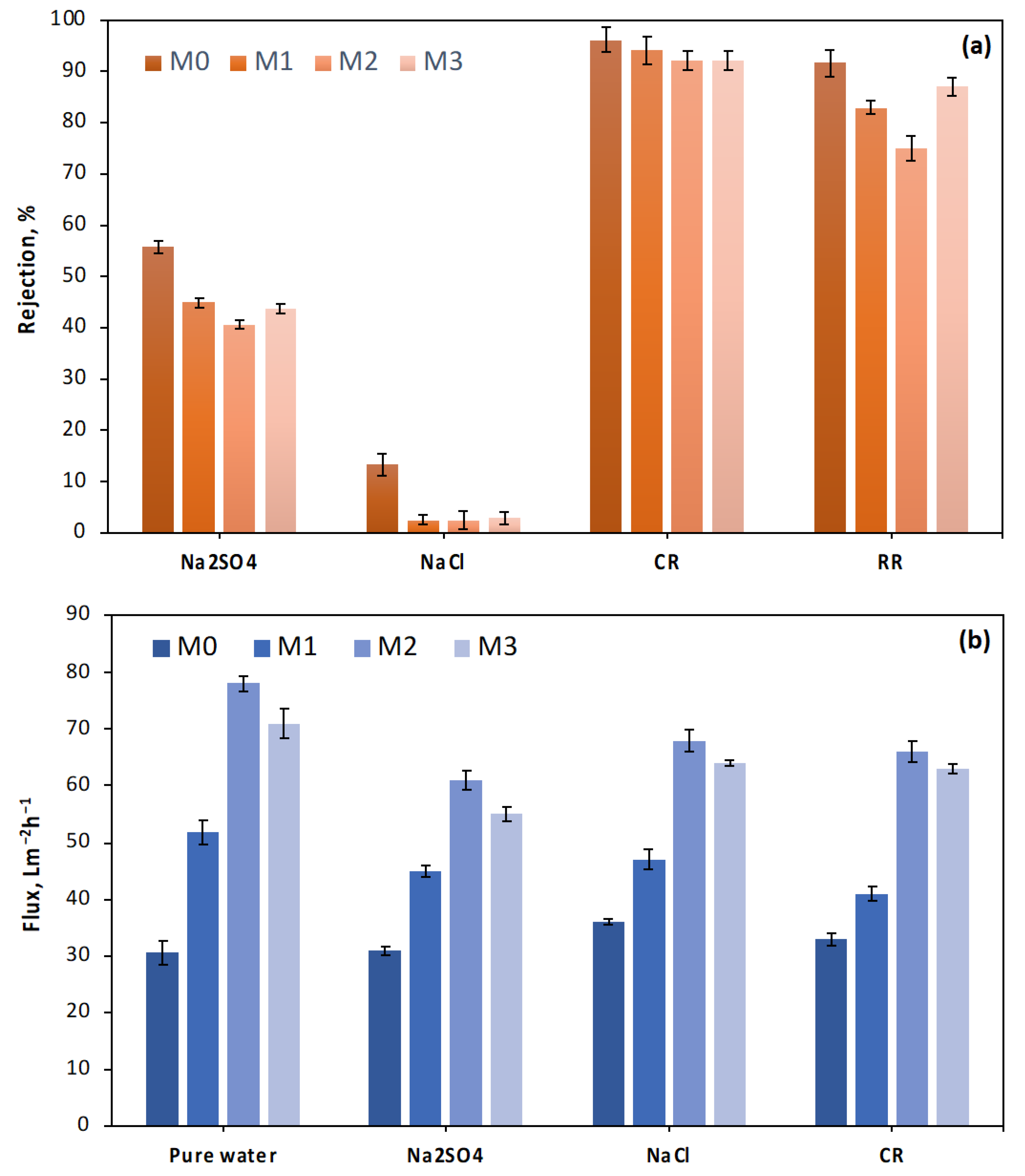
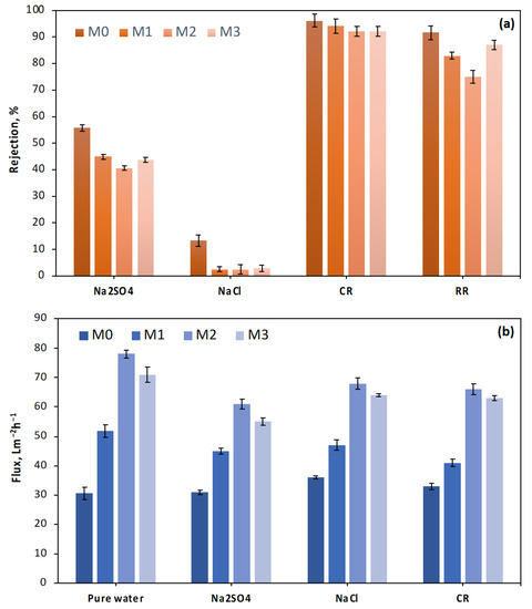
3.3. Dye/Salt Separation Performance of Fabricated Membranes
3.4. Self-Cleaning Ability and Membrane Integrity
4. Conclusions
Author Contributions
Funding
Institutional Review Board Statement
Data Availability Statement
Conflicts of Interest
References
- Wei, X.; Liu, Y.; Zheng, J.; Wang, X.; Xia, S.; Van der Bruggen, B. A Critical Review on Thin-Film Nanocomposite Membranes Enabled by Nanomaterials Incorporated in Different Positions and with Diverse Dimensions: Performance Comparison and Mechanisms. J. Memb. Sci. 2022, 661, 120952. [Google Scholar] [CrossRef]
- Zheng, J.; Zhao, R.; Uliana, A.A.; Liu, Y.; de Donnea, D.; Zhang, X.; Xu, D.; Gao, Q.; Jin, P.; Liu, Y.; et al. Separation of Textile Wastewater Using a Highly Permeable Resveratrol-Based Loose Nanofiltration Membrane with Excellent Anti-Fouling Performance. Chem. Eng. J. 2022, 434, 134705. [Google Scholar] [CrossRef]
- Cao, L.; Zhang, Y.; Ni, L.; Feng, X. A Novel Loosely Structured Nanofiltration Membrane Bioreactor for Wastewater Treatment: Process Performance and Membrane Fouling. J. Memb. Sci. 2022, 644, 120128. [Google Scholar] [CrossRef]
- Yadav, D.; Karki, S.; Ingole, P.G. Current Advances and Opportunities in the Development of Nanofiltration (NF) Membranes in the Area of Wastewater Treatment, Water Desalination, Biotechnological and Pharmaceutical Applications. J. Environ. Chem. Eng. 2022, 10, 108109. [Google Scholar] [CrossRef]
- Jin, P.; Zheng, J.; Gao, Q.; Kyoungjin An, A.; Zhu, J.; Van Der Bruggen, B. Loose Nanofiltration Membranes for the Treatment of Textile Wastewater: A Review Article Info. J. Membr. Sci. Res. 2022, 8, 538529. [Google Scholar] [CrossRef]
- Xu, M.; Feng, X.; Liu, Z.; Han, X.; Zhu, J.; Wang, J.; Van der Bruggen, B.; Zhang, Y. MOF Laminates Functionalized Polyamide Self-Cleaning Membrane for Advanced Loose Nanofiltration. Sep. Purif. Technol. 2021, 275, 119150. [Google Scholar] [CrossRef]
- Feng, X.; Peng, D.; Zhu, J.; Wang, Y.; Zhang, Y. Recent Advances of Loose Nanofiltration Membranes for Dye/Salt Separation. Sep. Purif. Technol. 2022, 285, 120228. [Google Scholar] [CrossRef]
- Bai, X.; Zhang, Y.; Wang, H.; Zhang, H.; Liu, J. Study on the Modification of Positively Charged Composite Nanofiltration Membrane by TiO2 Nanoparticles. Desalination 2013, 313, 57–65. [Google Scholar] [CrossRef]
- Balcik, C.; Ozbey-Unal, B.; Cifcioglu-Gozuacik, B.; Keyikoglu, R.; Karagunduz, A.; Khataee, A. Fabrication of PSf Nanocomposite Membranes Incorporated with ZnFe Layered Double Hydroxide for Separation and Antifouling Aspects. Sep. Purif. Technol. 2022, 285, 120354. [Google Scholar] [CrossRef]
- Liang, C.-Z.; Sun, S.-P.; Li, F.-Y.; Ong, Y.-K.; Chung, T.-S. Treatment of Highly Concentrated Wastewater Containing Multiple Synthetic Dyes by a Combined Process of Coagulation/Flocculation and Nanofiltration. J. Memb. Sci. 2014, 469, 306–315. [Google Scholar] [CrossRef]
- Zheng, Y.; Yao, G.; Cheng, Q.; Yu, S.; Liu, M.; Gao, C. Positively Charged Thin-Film Composite Hollow Fiber Nanofiltration Membrane for the Removal of Cationic Dyes through Submerged Filtration. Desalination 2013, 328, 42–50. [Google Scholar] [CrossRef]
- Cheng, J.; Li, Z.; Bao, X.; Zhang, R.; Yin, S.; Huang, W.; Sun, K.; Shi, W. A Novel Polyester-Amide Loose Composite Nanofiltration Membrane for Effective Dye/Salt Separation: The Effect of Long Molecule on the Interfacial Polymerization. J. Memb. Sci. 2022, 657, 120675. [Google Scholar] [CrossRef]
- Zhu, J.; Tian, M.; Hou, J.; Wang, J.; Lin, J.; Zhang, Y.; Liu, J.; Van der Bruggen, B. Surface Zwitterionic Functionalized Graphene Oxide for a Novel Loose Nanofiltration Membrane. J. Mater. Chem. A Mater. 2016, 4, 1980–1990. [Google Scholar] [CrossRef]
- Zhu, J.; Tian, M.; Zhang, Y.; Zhang, H.; Liu, J. Fabrication of a Novel “Loose” Nanofiltration Membrane by Facile Blending with Chitosan–Montmorillonite Nanosheets for Dyes Purification. Chem. Eng. J. 2015, 265, 184–193. [Google Scholar] [CrossRef]
- Zhang, L.; Xu, L.; Yu, H.; Yao, P.; Zhang, M.; Guo, F.; Yu, L. Capsaicin Mimic-Polyethyleneimine Crosslinked Antifouling Loose Nanofiltration Membrane for Effective Dye/Salt Wastewater Treatment. J. Memb. Sci. 2022, 641, 119923. [Google Scholar] [CrossRef]
- Liu, B.; Xue, Z.; Wu, Z.; Zeng, H.; Zhao, C.; Deng, L.; Shi, Z. Layer-by-Layer-Assembled Loose Nanofiltration Membrane for Persulfate Activity Enhancement: Performance and Process Regulation. ACS EST Water 2022, 2, 1614–1624. [Google Scholar] [CrossRef]
- Xu, S.; Zhao, C.; Li, G.; Shi, Z.; Liu, B. In Situ Oxidized TiO 2 /MXene Ultrafiltration Membrane with Photocatalytic Self-Cleaning and Antibacterial Properties. RSC Adv. 2023, 13, 15843–15855. [Google Scholar] [CrossRef]
- Sohrabi, H.; Khataee, A.; Ghasemzadeh, S.; Majidi, M.R.; Orooji, Y. Layer Double Hydroxides (LDHs)- Based Electrochemical and Optical Sensing Assessments for Quantification and Identification of Heavy Metals in Water and Environment Samples: A Review of Status and Prospects. Trends Environ. Anal. Chem. 2021, 31, e00139. [Google Scholar] [CrossRef]
- Balcik, C.; Ozbey-Unal, B.; Sahin, B.; Buse Aydın, E.; Cifcioglu-Gozuacik, B.; Keyikoglu, R.; Khataee, A. Development of ZnFeCe Layered Double Hydroxide Incorporated Thin Film Nanocomposite Membrane with Enhanced Separation Performance and Antibacterial Properties. Water 2023, 15, 264. [Google Scholar] [CrossRef]
- Zhao, S.; Zhu, H.; Wang, Z.; Song, P.; Ban, M.; Song, X. A Loose Hybrid Nanofiltration Membrane Fabricated via Chelating-Assisted in-Situ Growth of Co/Ni LDHs for Dye Wastewater Treatment. Chem. Eng. J. 2018, 353, 460–471. [Google Scholar] [CrossRef]
- Wu, Z.; Gu, Y.; Xin, S.; Lu, L.; Huang, Z.; Li, M.; Cui, Y.; Fu, R.; Wang, S. CuxNiyCo-LDH Nanosheets on Graphene Oxide: An Efficient and Stable Fenton-like Catalyst for Dual-Mechanism Degradation of Tetracycline. Chem. Eng. J. 2022, 434, 134574. [Google Scholar] [CrossRef]
- Mureseanu, M.; Radu, T.; Andrei, R.-D.; Darie, M.; Carja, G. Green Synthesis of G-C3N4/CuONP/LDH Composites and Derived g-C3N4/MMO and Their Photocatalytic Performance for Phenol Reduction from Aqueous Solutions. Appl. Clay Sci. 2017, 141, 1–12. [Google Scholar] [CrossRef]
- Di, G.; Zhu, Z.; Huang, Q.; Zhang, H.; Zhu, J.; Qiu, Y.; Yin, D.; Zhao, J. Targeted Modulation of G-C3N4 Photocatalytic Performance for Pharmaceutical Pollutants in Water Using ZnFe-LDH Derived Mixed Metal Oxides: Structure-Activity and Mechanism. Sci. Total Environ. 2019, 650, 1112–1121. [Google Scholar] [CrossRef] [PubMed]
- Keyikoglu, R.; Khataee, A.; Lin, H.; Orooji, Y. Vanadium (V)-Doped ZnFe Layered Double Hydroxide for Enhanced Sonocatalytic Degradation of Pymetrozine. Chem. Eng. J. 2022, 434, 134730. [Google Scholar] [CrossRef]
- Chen, J.; Shen, S.; Wu, P.; Guo, L. Nitrogen-Doped CeO x Nanoparticles Modified Graphitic Carbon Nitride for Enhanced Photocatalytic Hydrogen Production. Green. Chem. 2015, 17, 509–517. [Google Scholar] [CrossRef]
- Nejati, K.; Akbari, A.R.; Davari, S.; Asadpour-Zeynali, K.; Rezvani, Z. Zn–Fe-Layered Double Hydroxide Intercalated with Vanadate and Molybdate Anions for Electrocatalytic Water Oxidation. New J. Chem. 2018, 42, 2889–2895. [Google Scholar] [CrossRef]
- Zhu, J.; Zhu, Z.; Zhang, H.; Lu, H.; Zhang, W.; Qiu, Y.; Zhu, L.; Küppers, S. Calcined Layered Double Hydroxides/Reduced Graphene Oxide Composites with Improved Photocatalytic Degradation of Paracetamol and Efficient Oxidation-Adsorption of As(III). Appl. Catal. B 2018, 225, 550–562. [Google Scholar] [CrossRef]
- Thomas, S.; Daniel, S. Layered Double Hydroxide Polymer Nanocomposites; Thomas, S., Daniel, S., Eds.; Elsevier: Amsterdam, The Netherlands, 2019; ISBN 9780081022610. [Google Scholar]
- Mutharasi, Y.; Zhang, Y.; Weber, M.; Maletzko, C.; Chung, T.-S. Novel Reverse Osmosis Membranes Incorporated with Co-Al Layered Double Hydroxide (LDH) with Enhanced Performance for Brackish Water Desalination. Desalination 2021, 498, 114740. [Google Scholar] [CrossRef]
- Zhao, Y.; Wu, M.; Shen, P.; Uytterhoeven, C.; Mamrol, N.; Shen, J.; Gao, C.; Van der Bruggen, B. Composite Anti-Scaling Membrane Made of Interpenetrating Networks of Nanofibers for Selective Separation of Lithium. J. Memb. Sci. 2021, 618, 118668. [Google Scholar] [CrossRef]
- Zhao, Y.; Lu, W.; Mamrol, N.; Croes, T.; Mai, Z.; Houtmeyers, S.; Dewil, R.; Zhang, Y.; Yang, X.; Van der Bruggen, B. Self-Assembled Embedding of Ion Exchange Materials into Nanofiber-Based Hydrogel Framework for Fluoride Capture. Chem. Eng. J. 2022, 431, 134201. [Google Scholar] [CrossRef]
- Zhao, Y.; Li, N.; Xia, S. Polyamide Nanofiltration Membranes Modified with Zn–Al Layered Double Hydroxides for Natural Organic Matter Removal. Compos. Sci. Technol. 2016, 132, 84–92. [Google Scholar] [CrossRef]
- Hegab, H.M.; Zou, L. Graphene Oxide-Assisted Membranes: Fabrication and Potential Applications in Desalination and Water Purification. J. Memb. Sci. 2015, 484, 95–106. [Google Scholar] [CrossRef]
- Dong, H.; Wu, L.; Zhang, L.; Chen, H.; Gao, C. Clay Nanosheets as Charged Filler Materials for High-Performance and Fouling-Resistant Thin Film Nanocomposite Membranes. J. Memb. Sci. 2015, 494, 92–103. [Google Scholar] [CrossRef]
- Labban, O.; Liu, C.; Chong, T.H.; Lienhard, J.H. Relating Transport Modeling to Nanofiltration Membrane Fabrication: Navigating the Permeability-Selectivity Trade-off in Desalination Pretreatment. J. Memb. Sci. 2018, 554, 26–38. [Google Scholar] [CrossRef]
- Labuto, G.; Sanches, S.; Crespo, J.G.; Pereira, V.J.; Huertas, R.M. Stability of Polymeric Membranes to UV Exposure before and after Coating with TiO2 Nanoparticles. Polymers 2021, 14, 124. [Google Scholar] [CrossRef]
- Ong, C.S.; Lau, W.J.; Al-anzi, B.; Ismail, A.F. Photodegradation Stability Study of PVDF- and PEI-Based Membranes for Oily Wastewater Treatment Process. Membr. Water Treat. 2017, 8, 211–223. [Google Scholar] [CrossRef]










| Membrane Type | PIP (wt%) | TMC/n-Hexane (wt/v%) | LDH Content in PIP (wt%) |
|---|---|---|---|
| M0 | 0.8 | 0.10 | 0.000 |
| M1 | 0.8 | 0.10 | 0.025 |
| M2 | 0.8 | 0.10 | 0.050 |
| M3 | 0.8 | 0.10 | 0.100 |
Disclaimer/Publisher’s Note: The statements, opinions and data contained in all publications are solely those of the individual author(s) and contributor(s) and not of MDPI and/or the editor(s). MDPI and/or the editor(s) disclaim responsibility for any injury to people or property resulting from any ideas, methods, instructions or products referred to in the content. |
© 2023 by the authors. Licensee MDPI, Basel, Switzerland. This article is an open access article distributed under the terms and conditions of the Creative Commons Attribution (CC BY) license (https://creativecommons.org/licenses/by/4.0/).
Share and Cite
Balcik, C.; Ozbey-Unal, B.; Sahin, B.; Keyikoğlu, R.; Khataee, A. Loose Nanofiltration Membrane Incorporating CeZnFe Layered Double Hydroxide with Enhanced Dye/Salt Separation Performance and Self-Cleaning Ability. Membranes 2023, 13, 711. https://doi.org/10.3390/membranes13080711
Balcik C, Ozbey-Unal B, Sahin B, Keyikoğlu R, Khataee A. Loose Nanofiltration Membrane Incorporating CeZnFe Layered Double Hydroxide with Enhanced Dye/Salt Separation Performance and Self-Cleaning Ability. Membranes. 2023; 13(8):711. https://doi.org/10.3390/membranes13080711
Chicago/Turabian StyleBalcik, Cigdem, Bahar Ozbey-Unal, Busra Sahin, Ramazan Keyikoğlu, and Alireza Khataee. 2023. "Loose Nanofiltration Membrane Incorporating CeZnFe Layered Double Hydroxide with Enhanced Dye/Salt Separation Performance and Self-Cleaning Ability" Membranes 13, no. 8: 711. https://doi.org/10.3390/membranes13080711
APA StyleBalcik, C., Ozbey-Unal, B., Sahin, B., Keyikoğlu, R., & Khataee, A. (2023). Loose Nanofiltration Membrane Incorporating CeZnFe Layered Double Hydroxide with Enhanced Dye/Salt Separation Performance and Self-Cleaning Ability. Membranes, 13(8), 711. https://doi.org/10.3390/membranes13080711

