Mesoporous SiC-Based Photocatalytic Membranes and Coatings for Water Treatment
Abstract
1. Introduction
2. Materials and Methods
2.1. Materials
2.2. Support Treatment and Membrane Preparation
2.3. Materials Characterization
2.4. Evaluation of MB Removal in Diffusion Mode Configuration
2.5. Evaluation of MB Removal in Permeation Mode Configuration
3. Results and Discussion
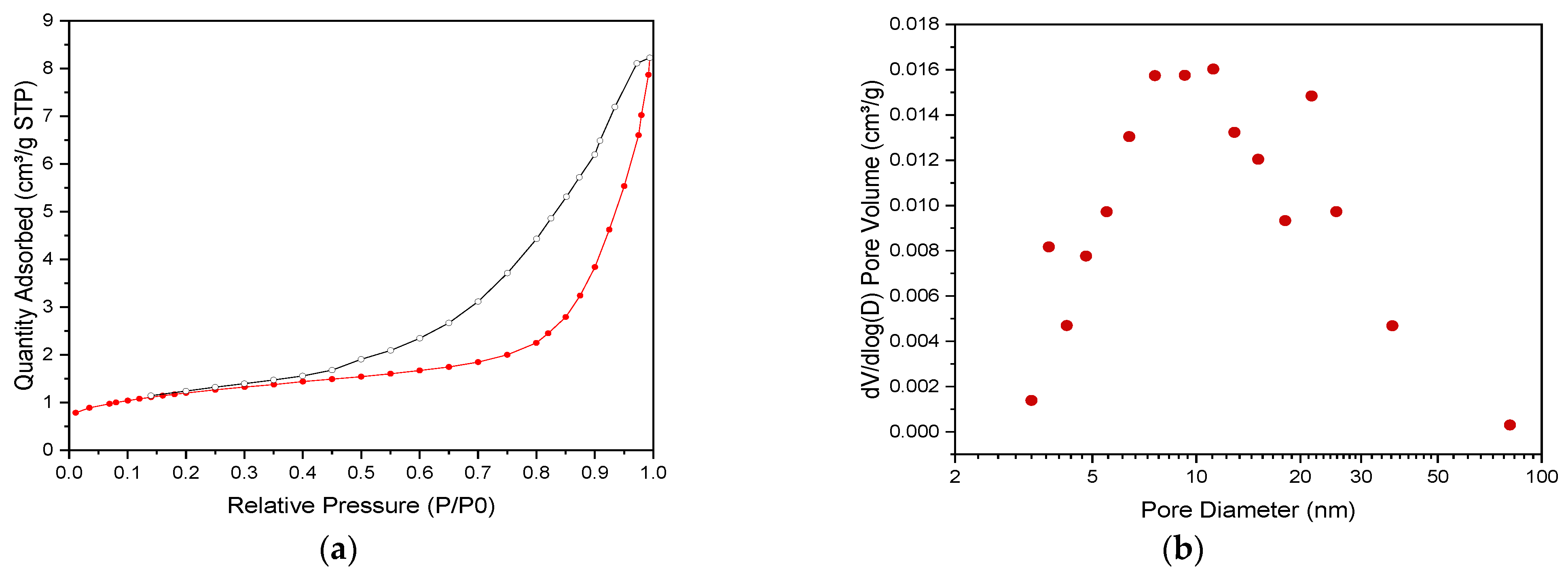
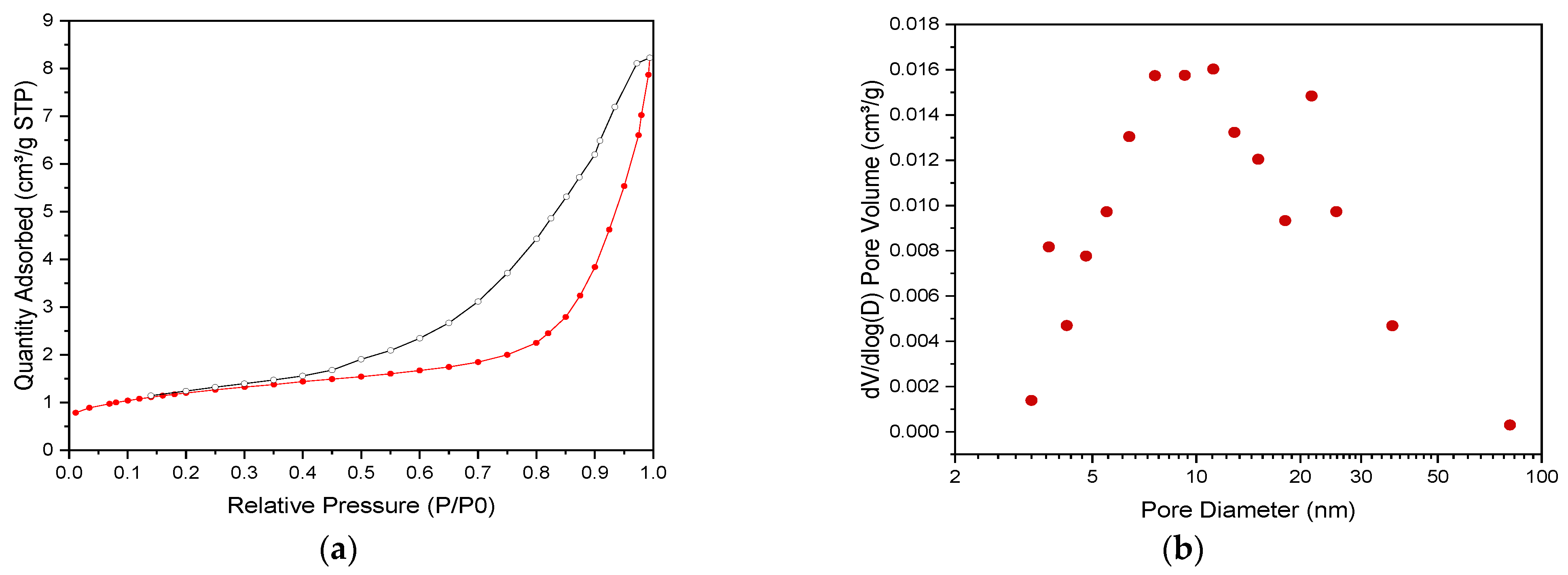
3.1. Material Characterization
3.2. Membrane Characterisation
3.2.1. Membrane Morphology
3.2.2. Gas Permeability Measurements
3.2.3. Water Permeability Measurements
3.3. Photocatalytic Activity
3.3.1. Electronic Characterization of the SiC-Based Layer
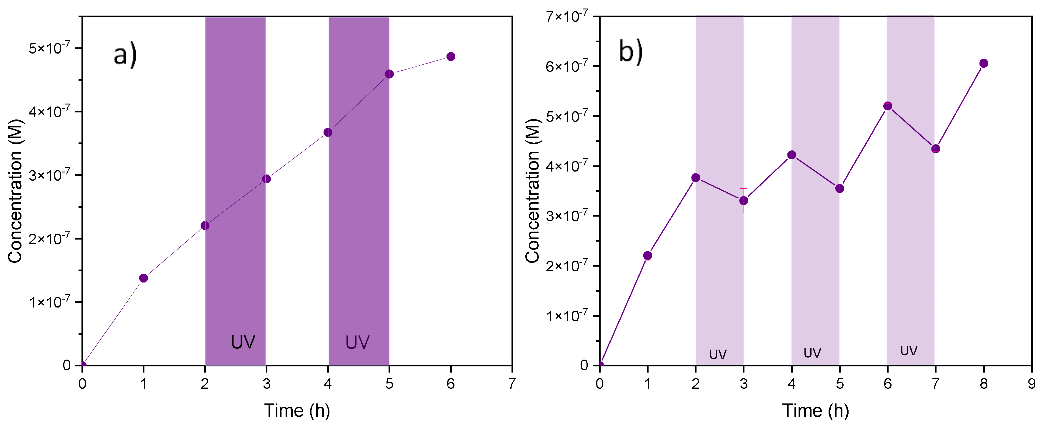
3.3.2. Evaluation of MB Elimination Efficiency in Diffusion Mode Configuration
3.3.3. Evaluation of MB Elimination Efficiency in Continuous Mode Configuration
4. Conclusions
Supplementary Materials
Author Contributions
Funding
Data Availability Statement
Acknowledgments
Conflicts of Interest
References
- UN-Water. The United Nations World Water Development Report 2020: Water and Climate Change; United Nations: New York, NY, USA, 2020; p. 219. [Google Scholar]
- Lellis, B.; Fávaro-Polonio, C.Z.; Pamphile, J.A.; Polonio, J.C. Effects of textile dyes on health and the environment and bioremediation potential of living organisms. Biotechnol. Res. Innov. 2019, 3, 275–290. [Google Scholar] [CrossRef]
- Gupta, A.; Khan, S.A.; Khan, T.A. Remediation of Textile Wastewater by Ozonation. In Sustainable Practices in the Textile Industry; Rather, L.J., Shabbir, M., Haji, A., Eds.; John Wiley & Sons, Inc.: Hoboken, NJ, USA, 2021. [Google Scholar] [CrossRef]
- Kumar, A. A Review on the Factors Affecting the Photocatalytic Degradation of Hazardous Materials. Mater. Sci. Eng. Int. J. 2017, 1, 106–114. [Google Scholar] [CrossRef]
- Li, S.; Cai, M.; Wang, C.; Liu, Y. Ta3N5/CdS Core–Shell S-scheme Heterojunction Nanofibers for Efficient Photocatalytic Removal of Antibiotic Tetracycline and Cr(VI): Performance and Mechanism Insights. Adv. Fiber Mater. 2023, 5, 994–1007. [Google Scholar] [CrossRef]
- Li, X.; Liu, T.; Zhang, Y.; Cai, J.; He, M.; Li, M.; Chen, Z.; Zhang, L. Growth of BiOBr/ZIF-67 Nanocomposites on Carbon Fiber Cloth as Filter-Membrane-Shaped Photocatalyst for Degrading Pollutants in Flowing Wastewater. Adv. Fiber Mater. 2022, 4, 1620–1631. [Google Scholar] [CrossRef]
- Li, S.; Wang, C.; Liu, Y.; Liu, Y.; Cai, M.; Zhao, W.; Duan, X. S-scheme MIL-101(Fe) octahedrons modified Bi2WO6 microspheres for photocatalytic decontamination of Cr(VI) and tetracycline hydrochloride: Synergistic insights, reaction pathways, and toxicity analysis. Chem. Eng. J. 2023, 455, 140943. [Google Scholar] [CrossRef]
- Luan, P.; Zhao, X.; Copenhaver, K.; Ozcan, S.; Zhu, H. Turning Natural Herbaceous Fibers into Advanced Materials for Sustainability. Adv. Fiber Mater. 2022, 4, 736–757. [Google Scholar] [CrossRef]
- Liu, R.; Hou, L.; Yue, G.; Li, H.; Zhang, J.; Liu, J.; Miao, B.; Wang, N.; Bai, J.; Cui, Z.; et al. Progress of Fabrication and Applications of Electrospun Hierarchically Porous Nanofibers. Adv. Fiber Mater. 2022, 4, 604–630. [Google Scholar] [CrossRef]
- Mozia, S. Photocatalytic membrane reactors (PMRs) in water and wastewater treatment. A review. Sep. Purif. Technol. 2010, 73, 71–91. [Google Scholar] [CrossRef]
- Rani, C.N.; Karthikeyan, S.; Prince Arockia Doss, S. Photocatalytic ultrafiltration membrane reactors in water and wastewater treatment—A review. Chem. Eng. Process. Process Intensif. 2021, 165, 108445. [Google Scholar] [CrossRef]
- Tul Muntha, S.; Kausar, A.; Siddiq, M. Advances in Polymeric Nanofiltration Membrane: A Review. Polym. Plast. Technol. Eng. 2017, 56, 841–856. [Google Scholar] [CrossRef]
- Zhang, H.; Wan, Y.; Luo, J.; Darling, S.B. Drawing on Membrane Photocatalysis for Fouling Mitigation. ACS Appl. Mater. Interfaces 2021, 13, 14844–14865. [Google Scholar] [CrossRef]
- Ayral, A. Ceramic membranes photocatalytically functionalized on the permeate side and their application to water treatment. Membranes 2019, 9, 64. [Google Scholar] [CrossRef]
- Argurio, P.; Fontananova, E.; Molinari, R.; Drioli, E. Photocatalytic membranes in photocatalytic membrane reactors. Processes 2018, 6, 162. [Google Scholar] [CrossRef]
- Mastropietro, T.F.; Meringolo, C.; Poerio, T.; Scarpelli, F.; Godbert, N.; Di Profio, G.; Fontananova, E. Multistimuli Activation of TiO2/α-alumina membranes for degradation of methylene blue. Ind. Eng. Chem. Res. 2017, 56, 11049–11057. [Google Scholar] [CrossRef]
- Alem, A.; Sarpoolaky, H.; Keshmiri, M. Titania ultrafiltration membrane: Preparation, characterization and photocatalytic activity. J. Eur. Ceram. Soc. 2009, 29, 629–635. [Google Scholar] [CrossRef]
- Goei, R.; Dong, Z.; Lim, T.T. High-permeability pluronic-based TiO2 hybrid photocatalytic membrane with hierarchical porosity: Fabrication, characterizations and performances. Chem. Eng. J. 2013, 228, 1030–1039. [Google Scholar] [CrossRef]
- Bukhari, S.Z.A.; Ha, J.H.; Lee, J.; Song, I.H. Effect of different heat treatments on oxidation-bonded SiC membrane for water filtration. Ceram. Int. 2018, 44, 14251–14257. [Google Scholar] [CrossRef]
- Wang, L.; Imanaka, N.; Kriven, W.M.; Fukushima, M.; Kale, G. (Eds.) Ceramics for Environmental Systems; John Wiley & Sons, Inc.: Hoboken, NJ, USA, 2016; ISBN 9781119234463. [Google Scholar]
- Bukhari, S.Z.A.; Ha, J.-H.; Lee, J.; Song, I.-H. Oxidation-bonded SiC membrane for microfiltration. J. Eur. Ceram. Soc. 2018, 38, 1711–1719. [Google Scholar] [CrossRef]
- Xu, M.; Xu, C.; Rakesh, K.P.; Cui, Y.; Yin, J.; Chen, C.; Wang, S.; Chen, B.; Zhu, L. Hydrophilic SiC hollow fiber membranes for low fouling separation of oil-in-water emulsions with high flux. RSC Adv. 2020, 10, 4832–4839. [Google Scholar] [CrossRef] [PubMed]
- Wang, Y.; Zhang, L.; Zhang, X.; Zhang, Z.; Tong, Y.; Li, F.; Wu, J.C.S.; Wang, X. Openmouthed Β-SiC hollow-sphere with highly photocatalytic activity for reduction of CO2 with H2O. Appl. Catal. B Environ. 2017, 206, 158–167. [Google Scholar] [CrossRef]
- Hao, J.Y.; Wang, Y.Y.; Tong, X.L.; Jin, G.Q.; Guo, X.Y. Photocatalytic hydrogen production over modified SiC nanowires under visible light irradiation. Int. J. Hydrogen Energy 2012, 37, 15038–15044. [Google Scholar] [CrossRef]
- Shariatmadar Tehrani, F.; Fakhredin, M.; Tafreshi, M.J. The optical properties of silicon carbide thin films prepared by HWCVD from pure silane and methane under various total gas partial pressure. Mater. Res. Express 2019, 6, 086469. [Google Scholar] [CrossRef]
- Laine, A.; Mezzasalma, A.; Mondio, G.; Parisi, P.; Cubiotti, G.; Kucherenko, Y. Optical properties of cubic silicon carbide. J. Electron Spectros. Relat. Phenom. 1998, 93, 251–257. [Google Scholar] [CrossRef]
- Trejo, A.; Calvino, M.; Ramos, A.E.; Carvajal, E.; Cruz-Irisson, M. Theoretical study of the electronic band gap in beta-SiC nanowires. Rev. Mex. Fis. 2011, 57, 22–25. [Google Scholar]
- Aslam, M.; Qamar, M.T.; Ahmed, I.; Rehman, A.U.; Ali, S.; Ismail, I.M.I.; Hameed, A. The suitability of silicon carbide for photocatalytic water oxidation. Appl. Nanosci. 2018, 8, 987–999. [Google Scholar] [CrossRef]
- Zhang, J.; Chen, J.; Xin, L.; Wang, M. Hierarchical 3C-SiC nanowires as stable photocatalyst for organic dye degradation under visible light irradiation. Mater. Sci. Eng. B Solid State Mater. Adv. Technol. 2014, 179, 6–11. [Google Scholar] [CrossRef]
- Haibo, O.; Jianfeng, H.; Xierong, Z.; Liyun, C.; Cuiyan, L.; Xinbo, X.; Jie, F. Visible-light photocatalytic activity of SiC hollow spheres prepared by a vapor-solid reaction of carbon spheres and silicon monoxide. Ceram. Int. 2014, 40, 2619–2625. [Google Scholar] [CrossRef]
- Cervantes-Diaz, K.B.; Drobek, M.; Julbe, A.; Cambedouzou, J. SiC Foams for the Photocatalytic Degradation of Methylene Blue under Visible Light Irradiation. Materials 2023, 16, 1328. [Google Scholar] [CrossRef] [PubMed]
- Hotza, D.; Di Luccio, M.; Wilhelm, M.; Iwamoto, Y.; Bernard, S.; Diniz da Costa, J.C. Silicon carbide filters and porous membranes: A review of processing, properties, performance and application. J. Membr. Sci. 2020, 610, 118193. [Google Scholar] [CrossRef]
- Madsen, R.S.K.; Motuzas, J.; Vaughan, J.; Julbe, A.; Diniz da Costa, J.C. Fine control of NaCl crystal size and particle size in percrystallisation by tuning the morphology of carbonised sucrose membranes. J. Membr. Sci. 2018, 567, 157–165. [Google Scholar] [CrossRef]
- Murphy, A.B. Band-gap determination from diffuse reflectance measurements of semiconductor films, and application to photoelectrochemical water-splitting. Sol. Energy Mater. Sol. Cells 2007, 91, 1326–1337. [Google Scholar] [CrossRef]
- Pizzoccaro-Zilamy, M.-A.; Drobek, M.; Petit, E.; Totée, C.; Silly, G.; Guerrero, G.; Cowan, M.G.; Ayral, A.; Julbe, A. Initial Steps toward the Development of Grafted Ionic Liquid Membranes for the Selective Transport of CO2. Ind. Eng. Chem. Res. 2018, 57, 16027–16040. [Google Scholar] [CrossRef]
- Djafer, L.; Ayral, A.; Ouagued, A. Robust synthesis and performance of a titania-based ultrafiltration membrane with photocatalytic properties. Sep. Purif. Technol. 2010, 75, 198–203. [Google Scholar] [CrossRef]
- Nardin, T.; Gouze, B.; Cambedouzou, J.; Bauduin, P.; Wong Chi Man, M.; Deschanels, X.; Bourgeois, D.; Meyer, D.; Diat, O. Elaboration of porous silicon carbide by soft templating molecular precursors with semi-fluorinated alkanes. J. Mater. Chem. A 2015, 3, 3082–3090. [Google Scholar] [CrossRef]
- Gouze, B.; Cervantes-Diaz, K.B.; Nardin, T.; Diat, O.; Cambedouzou, J. Highly crystalline silicon carbide of controlled mesoporosity. Mater. Chem. Phys. 2020, 250, 123208. [Google Scholar] [CrossRef]
- Nagano, T.; Sato, K.; Kawahara, K. Gas permeation property of silicon carbide membranes synthesized by counter-diffusion chemical vapor deposition. Membranes 2020, 10, 11. [Google Scholar] [CrossRef]
- Finol, C.; Coronas, J. Permeation of gases in asymmetric ceramic membranes. Chem. Eng. Educ. 1999, 33, 58–61. [Google Scholar]
- Moustakas, N.G.; Katsaros, F.K.; Kontos, A.G.; Romanos, G.E.; Dionysiou, D.D.; Falaras, P. Visible light active TiO2 photocatalytic filtration membranes with improved permeability and low energy consumption. Catal. Today 2014, 224, 56–69. [Google Scholar] [CrossRef]
- Krishna, R.; Van Baten, J.M. Investigating the validity of the Knudsen prescription for diffusivities in a mesoporous covalent organic framework. Ind. Eng. Chem. Res. 2011, 50, 7083–7087. [Google Scholar] [CrossRef]
- Escobedo-Morales, A.; Ruiz-López, I.; Ruiz-Peralta, M.; Tepech-Carrillo, L.; Sánchez-Cantú, M.; Moreno-Orea, J. Automated method for the determination of the band gap energy of pure and mixed powder samples using diffuse reflectance spectroscopy. Heliyon 2019, 5, e01505. [Google Scholar] [CrossRef]
- Norouzzadeh, P.; Mabhouti, K.; Golzan, M.M.; Naderali, R. Investigation of structural, morphological and optical characteristics of Mn substituted Al-doped ZnO NPs: A Urbach energy and Kramers-Kronig study. Optik 2020, 204, 164227. [Google Scholar] [CrossRef]
- Makuła, P.; Pacia, M.; Macyk, W. How To Correctly Determine the Band Gap Energy of Modified Semiconductor Photocatalysts Based on UV-Vis Spectra. J. Phys. Chem. Lett. 2018, 9, 6814–6817. [Google Scholar] [CrossRef]
- Fifere, N.; Airinei, A.; Timpu, D.; Rotaru, A.; Sacarescu, L.; Ursu, L. New insights into structural and magnetic properties of Ce doped ZnO nanoparticles. J. Alloys Compd. 2018, 757, 60–69. [Google Scholar] [CrossRef]
- Bouifoulen, A.; Kassiba, A.; Outzourhit, A.; Edely, M.; Makowska-Janusik, M.; Szade, J.; Oueriagli, A. Synthesis and optical investigations of the guest-host nanostructures alumina-SiC and alumina-In2O3. J. Phys. Conf. Ser. 2011, 289, 012001. [Google Scholar] [CrossRef]
- Mohanty, P.; Mohapatra, S.; Mohapatra, J.; Singh, S.K.; Padhi, P.; Mishra, D.K. Utilization of Chemically Synthesized Fine Powders of SiC/Al2O3 Composites for Sintering. Mater. Manuf. Process. 2016, 31, 1311–1317. [Google Scholar] [CrossRef]
- Kathirvel, P.; Chandrasekaran, J.; Manoharan, D.; Kumar, S. Deposition and characterization of alpha alumina thin films prepared by chemical bath deposition. Optik 2015, 126, 2177–2179. [Google Scholar] [CrossRef]
- Matthews, R.W. Photocatalytic oxidation and adsorption of methylene blue on thin films of near-ultraviolet-illuminated TiO2. J. Chem. Soc. Faraday Trans. Phys. Chem. Condens. Phases 1989, 85, 1291–1302. [Google Scholar] [CrossRef]
- Yang, J.; Peng, Y.; Yang, B. Enhanced photocatalytic activity of SiC modified by BiVO4 under visible light irradiation. J. Dispers. Sci. Technol. 2019, 40, 408–414. [Google Scholar] [CrossRef]
- Deepracha, S.; Atfane, L.; Ayral, A.; Ogawa, M. Simple and efficient method for functionalizing photocatalytic ceramic membranes and assessment of its applicability for wastewater treatment in up-scalable membrane reactors. Sep. Purif. Technol. 2021, 262, 118307. [Google Scholar] [CrossRef]
- Zhou, M.; Roualdès, S.; Ayral, A. New photocatalytic contactors obtained by PECVD deposition of TiO2 thin layers on the surface of macroporous supports. Eur. Phys. J. Spec. Top. 2015, 224, 1871–1882. [Google Scholar] [CrossRef]
- Bosc, F.; Ayral, A.; Guizard, C. Mesoporous anatase coatings for coupling membrane separation and photocatalyzed reactions. J. Membr. Sci. 2005, 265, 13–19. [Google Scholar] [CrossRef]









| ΔP (bar) | Water Flux J (m3/m2.s) | Grain Surface Area S (m2/m3) | Grain Radius r (nm) |
|---|---|---|---|
| 10.8 | 7.04 × 10−6 | 1.83 × 108 | 16.4 |
| 11.1 | 7.34 × 10−6 | 1.82 × 108 | 16.5 |
| 11.1 | 7.79 × 10−6 | 1.76 × 108 | 17.0 |
| Membrane Material | Crystalline Structure of the Active Phase | Specific Degradation Rate δ (mol s−1 m−2) | Reference |
|---|---|---|---|
| Composite membrane with dispersed TiO2 powder (P25-Evonik) | Anatase (70–80 wt%) + Rutile (20–30 wt%) | 2.0 × 10−8 | [52] |
| TiO2 derived from PE-CVD deposition | Anatase | 2.5 × 10−8 | [53] |
| TiO2 from commercial hydrosol | Anatase | 2.3 × 10−8 | [36] |
| Mesostructured TiO2 | Anatase | 10 × 10−8 | [54] |
| SiC-based composite: SiC on carbon coated α-alumina | Cubic/poorly crystalline | 1.6 × 10−8 | This work |
| Irradiation Time T (s) | Volume of Solution V (ml) | MB Concentration C (M) | Difference in MB Concentration ΔC (M) | Specific Degradation Rate δ (mol s−1 m−2) |
|---|---|---|---|---|
| 0 | _____ | 5.4 × 10−7 | _____ | _____ |
| 490 | 9.9 | 4.3 × 10−7 | 1.1 × 10−7 | 7.1 × 10−9 |
| 509 | 9.9 | 4.2 × 10−7 | 1.2 × 10−7 | 7.6 × 10−9 |
| 646 | 9.7 | 3.8 × 10−7 | 1.6 × 10−7 | 7.7 × 10−9 |
Disclaimer/Publisher’s Note: The statements, opinions and data contained in all publications are solely those of the individual author(s) and contributor(s) and not of MDPI and/or the editor(s). MDPI and/or the editor(s) disclaim responsibility for any injury to people or property resulting from any ideas, methods, instructions or products referred to in the content. |
© 2023 by the authors. Licensee MDPI, Basel, Switzerland. This article is an open access article distributed under the terms and conditions of the Creative Commons Attribution (CC BY) license (https://creativecommons.org/licenses/by/4.0/).
Share and Cite
Cervantes-Diaz, K.B.; Drobek, M.; Julbe, A.; Ayral, A.; Cambedouzou, J. Mesoporous SiC-Based Photocatalytic Membranes and Coatings for Water Treatment. Membranes 2023, 13, 672. https://doi.org/10.3390/membranes13070672
Cervantes-Diaz KB, Drobek M, Julbe A, Ayral A, Cambedouzou J. Mesoporous SiC-Based Photocatalytic Membranes and Coatings for Water Treatment. Membranes. 2023; 13(7):672. https://doi.org/10.3390/membranes13070672
Chicago/Turabian StyleCervantes-Diaz, Karla Begonia, Martin Drobek, Anne Julbe, André Ayral, and Julien Cambedouzou. 2023. "Mesoporous SiC-Based Photocatalytic Membranes and Coatings for Water Treatment" Membranes 13, no. 7: 672. https://doi.org/10.3390/membranes13070672
APA StyleCervantes-Diaz, K. B., Drobek, M., Julbe, A., Ayral, A., & Cambedouzou, J. (2023). Mesoporous SiC-Based Photocatalytic Membranes and Coatings for Water Treatment. Membranes, 13(7), 672. https://doi.org/10.3390/membranes13070672

