Hydration and Mobility of Alkaline Metal Cations in Sulfonic Cation Exchange Membranes
Abstract
1. Introduction
2. Materials and Methods
2.1. Materials
2.2. High-Resolution NMR
2.3. PFG NMR
2.4. NMR Relaxation
3. Results and Discussion
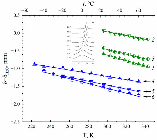
3.1. Hydration Numbers Calculation
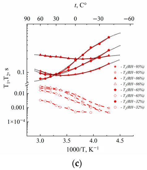
3.2. 1H Relaxation, Local Water Mobility and Self-Diffusion
3.3. 7Li, 23Na and 133Cs Spin Relaxation, Local Cation Mobilities and Self-Diffusion
4. Conclusions
Author Contributions
Funding
Institutional Review Board Statement
Data Availability Statement
Acknowledgments
Conflicts of Interest
References
- Stenina, I.A.; Yaroslavtsev, A.B. Ionic Mobility in Ion-Exchange Membranes. Membranes 2021, 11, 198. [Google Scholar] [CrossRef]
- Yaroslavtsev, A.B.; Stenina, I.A. Current progress in membranes for fuel cells and reverse electrodialysis. Mendeleev. Commun. 2021, 31, 423–432. [Google Scholar] [CrossRef]
- Fechete, R.; Demco, D.E.; Zhu, X.; Tillmann, W.; Möller, M. Water states and dynamics in perfluorinated ionomer membranes by 1H one- and two-dimensional NMR spectroscopy, relaxometry, and diffusometry. Chem. Phys. Lett. 2014, 597, 6–15. [Google Scholar] [CrossRef]
- Volkov, V.I.; Chernyak, A.V.; Gnezdilov, O.I.; Skirda, V.D. Hydration, self-diffusion and ionic conductivity of Li+, Na+ and Cs+ cations in Nafion membrane studied by NMR. Solid State Ion. 2021, 364, 115627. [Google Scholar] [CrossRef]
- Volkov, V.I.; Chernyak, A.V.; Avilova, I.A.; Slesarenko, N.A.; Melnikova, D.L.; Skirda, V.D. Molecular and Ionic Diffusion in Ion Exchange Membranes and Biological Systems (Cells and Proteins) Studied by NMR. Membranes 2021, 11, 385. [Google Scholar] [CrossRef]
- Volkov, V.I.; Marinin, A.A. NMR methods for studying ion and molecular transport in polymer electrolytes. Russ. Chem. Rev. 2013, 82, 248–272. [Google Scholar] [CrossRef]
- Iwamoto, R.; Oguro, K.; Sato, M.; Iseki, Y. Water in perfluorinated, sulfonic acid Nafion membranes. J. Phys. Chem. B 2002, 106, 6973–6979. [Google Scholar] [CrossRef]
- Maldonado, L.; Perrin, J.-C.; Dillet, J.; Lottin, O. Characterization of polymer electrolyte Nafion membranes: Influence of temperature, heat treatment and drying protocol on sorption and transport properties. J. Membr. Sci. 2012, 389, 43–56. [Google Scholar] [CrossRef]
- Ma, Z.; Jiang, R.; Myers, M.E.; Thompson, E.L.; Gittleman, C.S. NMR studies of proton transport in fuel cell membranes at sub-freezing conditions. J. Mater. Chem. 2011, 21, 9302. [Google Scholar] [CrossRef]
- Guillermo, A.; Gebel, G.; Mendil-Jakani, H.; Pinton, E. NMR and pulsed field gradient NMR approach of water sorption properties in Nafion at low temperature. J. Phys. Chem. B 2009, 113, 6710–6717. [Google Scholar] [CrossRef]
- Chernyak, A.V.; Vasiliev, S.G.; Avilova, I.A.; Volkov, V.I. Hydration and Water Molecules Mobility in Acid Form of Nafion Membrane Studied by 1H NMR Techniques. Appl. Magn. Reson. 2019, 50, 677–693. [Google Scholar] [CrossRef]
- Hammer, R.; Scho, M.; Hansen, M.R. Comprehensive Picture of Water Dynamics in Nafion Membranes at Different Levels of Hydration. J. Phys. Chem. B. 2019, 123, 8313–8324. [Google Scholar] [CrossRef] [PubMed]
- Volkov, V.I.; Chernyak, A.V.; Slesarenko, N.A.; Avilova, I.A. Ion and Molecular Transport in Solid Electrolytes Studied by NMR. Int. J. Mol. Sci. 2022, 23, 5011. [Google Scholar] [CrossRef]
- Kusoglu, A.; Weber, A.Z. New Insights into Perfluorinated Sulfonic-Acid Ionomers. Chem. Rev. 2017, 117, 987–1104. [Google Scholar] [CrossRef] [PubMed]
- Zhao, Q.; Majsztrik, P.; Benziger, J. Diffusion and Interfacial Transport of Water in Nafion. J. Phys. Chem. B 2011, 115, 2717–2727. [Google Scholar] [CrossRef] [PubMed]
- Nicotera, I.; Coppola, L.; Rossi, C.O.; Youssry, M.; Ranieri, G.A. NMR Investigation of the Dynamics of Confined Water in Nafion-Based Electrolyte Membranes at Subfreezing Temperatures. J. Phys. Chem. B 2009, 113, 13935–13941. [Google Scholar] [CrossRef]
- Moster, A.L.; Mitchell, B.S. Hydration and Proton Conduction in Nafion/Ceramic Nanocomposite Membranes Produced by Solid-State Processing of Powders from Mechanical Attrition. Appl. Polym. Sci. 2009, 113, 243. [Google Scholar] [CrossRef]
- Thompson, E.L.; Capehart, T.W.; Fuller, T.J.; Jorne, J. Investigation of Low-Temperature Proton Transport in Nafion Using Direct Current Conductivity and Differential Scanning Calorimetry. J. Electrochem. Soc. 2006, 153, A2351–A2362. [Google Scholar] [CrossRef]
- Slesarenko, N.A.; Chernyak, A.V.; Avilova, I.A.; Zabrodin, V.A.; Volkov, V.I. Mobility of water molecules in Li+, Na+ and Cs+ ionic forms of Nafion membrane studied by NMR. Mendeleev. Commun. 2022, 32, 534. [Google Scholar] [CrossRef]
- Slesarenko, N.A.; Chernyak, A.V.; Avilova, I.A.; Tarasov, V.P.; Volkov, V.I. Mobility of Li+, Na+, and Cs+ cations in Nafion membrane, as studied by NMR techniques. Mendeleev. Commun. 2023, 33, 215–217. [Google Scholar] [CrossRef]
- Nesterov, I.A.; Volkov, V.I.; Pukhov, K.K.; Timashev, S.F. Magnetic-relaxation of 7Li+ nuclei and dynamics of movements of lithium counter-ions and water-molecules in perfluorinated sulfocationite membranes. Russ. J. Chem. Phys. 1990, 10, 1155–1162. [Google Scholar]
- Volkov, V.I.; Sidorenkova, E.A.; Timashev, S.F.; Lakeev, S.G. State and diffusive mobility of water in perfluorinated sulfocationite membranes according to proton magnetic resonance data. Russ. J. Phys. Chem. 1993, 67, 914–918. [Google Scholar]
- Volkov, V.I.; Vasilyak, S.L.; Park, I.-W.; Kim, H.J.; Ju, H.; Volkov, E.V.; Choh, S.H. Water Behavior in Perfluorinated Ion-Exchange Membranes. Appl. Magn. Reson. 2003, 25, 43–53. [Google Scholar] [CrossRef]
- Volkov, V.I.; Nesterov, I.A.; Sundukov, V.I.; Kropotov, L.V.; Timashev, S.F. The diffusion transfer of water in perfluorinated sulfocation exchange membranes as studied by pulse NMR. Russ. J. Chem. Phys. 1989, 8, 209. [Google Scholar]
- Volkov, V.I.; Slesarenko, N.A.; Chernyak, A.V.; Zabrodin, V.A.; Golubenko, D.V.; Tverskoy, V.A.; Yaroslavtsev, A.B. Mobility of Li+, Na+, Cs+ Cations in Sulfocation-Exchange Membranes Based on Polyethylene and Grafted Sulfonated Polystyrene Studied by NMR Relaxation. Membr. Membr. Technol. 2022, 4, 189. [Google Scholar] [CrossRef]
- Volkov, V.I.; Chernyak, A.V.; Golubenko, D.V.; Tverskoy, V.A.; Lochin, G.A.; Odjigaeva, E.S.; Yaroslavtsev, A.B. Hydration and diffusion of H+, Li+, Na+, Cs+ ions in cation-exchange membranes based on polyethylene and sulfonated-grafted polystyrene studied by NMR technique and ionic conductivity measurements. Membranes 2020, 10, 272. [Google Scholar] [CrossRef]
- Halle, B.; Bratko, D.; Piculell, L. Interpretetion of Counterion Spin Relaxation in Polyelectrolyte Solutions. II. Effects of Finite Polyion Lenght. Ber. Bunsenges. Phys. Chem. 1985, 89, 1254–1260. [Google Scholar] [CrossRef]
- Halle, B.; Wennerstrom, H.; Piculell, L. Interpretation of Counterion Spin Relaxation in Polyelectrolyte Solutions. J. Phys. Chem. 1984, 88, 2482–2494. [Google Scholar] [CrossRef]
- Tromp, R.H.; Van der Maarel, J.R.C.; De Bleijser, J.; Leyte, J.C. Counter-ion dynamics in crosslinked poly( styrene sulfonate) systems studied by NMR. Biophys. Chem. 1991, 41, 81–100. [Google Scholar] [CrossRef]
- Bohme, U.; Hanel, B.; Scheler, U. Influence of the Counterions on the Behaviour of Polyelectrolytes. Progr. Colloid Polym. Sci. 2011, 138, 45–48. [Google Scholar] [CrossRef]
- Volkov, V.I.; Chernyak, A.V.; Golubenko, D.V.; Shevlyakova, N.V.; Tverskoy, V.A.; Yaroslavtsev, A.B. Mobility of cations and water molecules in sulfocation-exchange membranes based on polyethylene and sulfonated grafted polystyrene. Membr. Membr. Technol. 2020, 1, 54–62. [Google Scholar] [CrossRef]
- Simari, C.; Prejan, M.; Lufrano, E.; Sicilia, E.; Nicotera, I. Exploring the Structure–Performance Relationship of Sulfonated Polysulfone Proton Exchange Membrane by a Combined Computational and Experimental Approach. Polymers 2021, 13, 959. [Google Scholar] [CrossRef] [PubMed]








| Nafion [4] | MSC [26] | Aqueous Chloride Solutions [13] | |||||||
|---|---|---|---|---|---|---|---|---|---|
| Ionic Form | Li+ | Na+ | Cs+ | Li+ | Na+ | Cs+ | Li+ | Na+ | Cs+ |
| λs, [H2O]/[SO3−] or concentration | 12 | 10 | 3 | 13.8 | 10.3 | 8.1 | Equi- molar to MSC | Equi- molar to MSC | Equi- molar to MSC |
| h | 5.0 ± 1.0 | 6.0 ± 1.0 | 1.0 ± 0.2 | 4.1 ± 1.0 | 5.0 ± 1.0 | 3.1 ± 1.0 | 4 | 4.6 | 3.9 |
| Ionic Form | Li+ | Na+ | Cs+ | ||||||
|---|---|---|---|---|---|---|---|---|---|
| RH, % | 65 | 86 | 95 | 65 | 86 | 95 | 65 | 86 | 95 |
| T1min (T), °C | 0 | 30 | 22 | 10 | −20 | −30 | 40 | −10 | 22.6 |
| Ds at T1min (T), m2/s (10−11) | 3.0 | 10.0 | 30.0 | 0.92 | 2.0 | 3.7 | 0.7 | 0.29 | 1.1 |
| l, nm | 0.2 | 0.28 | 0.32 | 0.1 | 0.15 | 0.21 | 0.1 | 0.1 | 0.11 |
| Ionic Form | Li+ | Cs+ | ||
|---|---|---|---|---|
| λs, [H2O]/[SO3−] [4] | 5.7 | 8.9 | 10.7 | 4 |
| T1min (T), °C | −20 | −30 | −30 | 20.2 |
| Ds at T1min (T), m2/s (10−12) | 4.5 | 4.7 | 6.5 | 30.0 |
| l, nm | 0.15 | 0.15 | 0.18 | 0.7 |
| Ionic Form | DPFG, m2/s [4] | DR, m2/s | σexp, S/m [4] | σcalc, S/m [4] |
|---|---|---|---|---|
| Li+ | (1.5 ± 0.1) × 10−10 | (1.0 ± 0.1) × 10−10 | 1.3 ± 0.1 | 1.6 ± 0.1 |
| Na+ | (2.0 ± 0.3) × 10−10 | (0.8 ± 0.1) × 10−10 | 1.1 ± 0.1 | 2.0 ± 0.3 |
| Cs+ | (0.6 ± 0.2) × 10−10 | (0.34 ± 0.1) × 10−10 | (2.3 ± 0.3) × 10−1 | (6.0 ± 0.2) × 10−1 |
| Ionic Form | DPFG, m2/s [25] | DR, m2/s [25] | σexp, S/m | σcalc, S/m |
|---|---|---|---|---|
| Li+ | 5.0 × 10−10 | 3.8 × 10−10 | 2.7 × 10−1 | 5.3 |
| Na+ | 5.0 × 10−10 | 5.5 × 10−10 | 3.0 × 10−1 | 5.0 |
| Cs+ | 9.0 × 10−10 | 1.5 × 10−10 | 8.0 × 10−1 | 9.0 |
Disclaimer/Publisher’s Note: The statements, opinions and data contained in all publications are solely those of the individual author(s) and contributor(s) and not of MDPI and/or the editor(s). MDPI and/or the editor(s) disclaim responsibility for any injury to people or property resulting from any ideas, methods, instructions or products referred to in the content. |
© 2023 by the authors. Licensee MDPI, Basel, Switzerland. This article is an open access article distributed under the terms and conditions of the Creative Commons Attribution (CC BY) license (https://creativecommons.org/licenses/by/4.0/).
Share and Cite
Volkov, V.I.; Slesarenko, N.A.; Chernyak, A.V.; Avilova, I.A.; Tarasov, V.P. Hydration and Mobility of Alkaline Metal Cations in Sulfonic Cation Exchange Membranes. Membranes 2023, 13, 518. https://doi.org/10.3390/membranes13050518
Volkov VI, Slesarenko NA, Chernyak AV, Avilova IA, Tarasov VP. Hydration and Mobility of Alkaline Metal Cations in Sulfonic Cation Exchange Membranes. Membranes. 2023; 13(5):518. https://doi.org/10.3390/membranes13050518
Chicago/Turabian StyleVolkov, Vitaly I., Nikita A. Slesarenko, Alexander V. Chernyak, Irina A. Avilova, and Victor P. Tarasov. 2023. "Hydration and Mobility of Alkaline Metal Cations in Sulfonic Cation Exchange Membranes" Membranes 13, no. 5: 518. https://doi.org/10.3390/membranes13050518
APA StyleVolkov, V. I., Slesarenko, N. A., Chernyak, A. V., Avilova, I. A., & Tarasov, V. P. (2023). Hydration and Mobility of Alkaline Metal Cations in Sulfonic Cation Exchange Membranes. Membranes, 13(5), 518. https://doi.org/10.3390/membranes13050518

