A Novel Tri-Functionality pH-Magnetic-Photocatalytic Hybrid Organic-Inorganic Polyoxometalates Augmented Microspheres for Polluted Water Treatment
Abstract
1. Introduction
2. Materials and Methods
2.1. Chemicals and Materials
2.2. Synthesis of HPOMs
2.3. Fabrication of Magnetic-Responsive Microspheres
2.4. Functionalization of MNPs with PDDA
2.5. Fabrication of Magnetic-Photocatalytic Microspheres
2.6. Characterization of the Prepared Samples
2.7. Photocatalytic Studies
3. Results and Discussion
3.1. Magnetophoretic Separation Efficiency of Magnetic-Responsive Microspheres
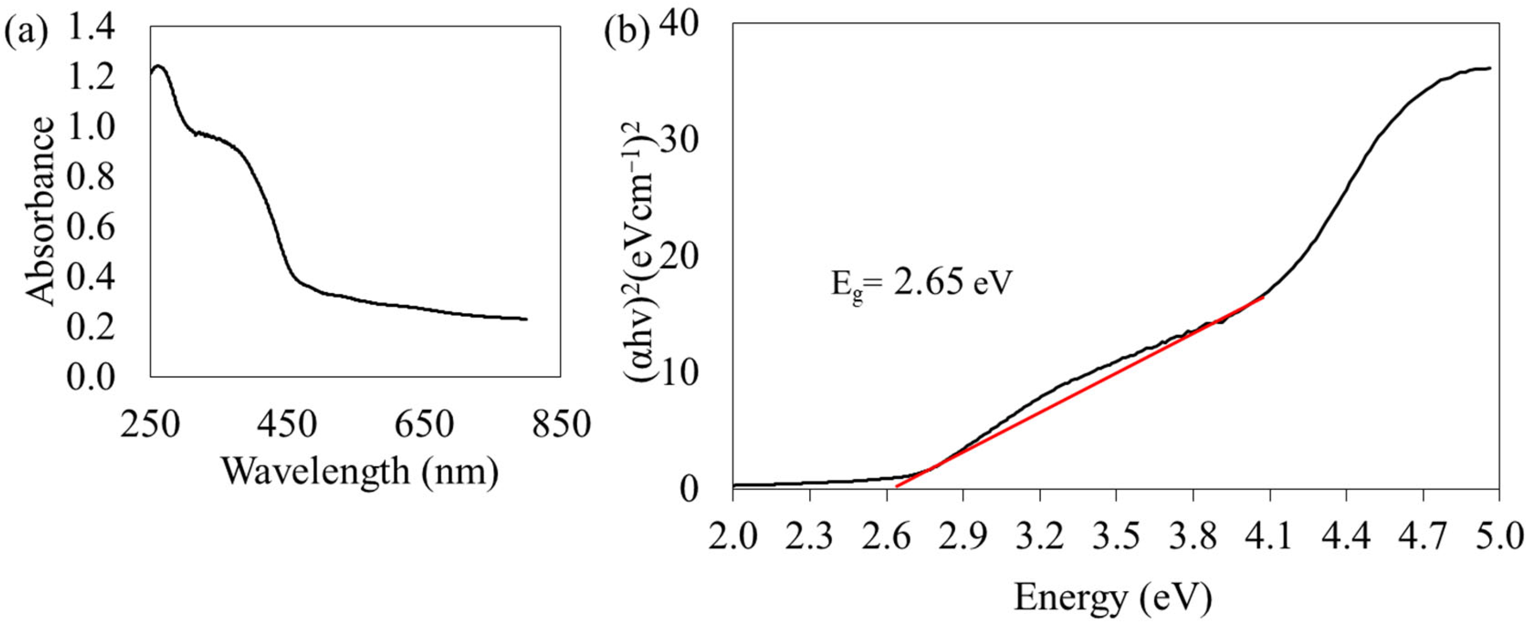
3.2. Characterization of Synthesized Samples
3.3. Photocatalytic Degradation Efficiency
3.4. pH Responsiveness Evaluation of the Prepared f-MNPs-HPOM Microspheres
4. Conclusions
Author Contributions
Funding
Institutional Review Board Statement
Informed Consent Statement
Data Availability Statement
Acknowledgments
Conflicts of Interest
References
- Zhao, Y.; Huang, G.; An, C.; Huang, J.; Xin, X.; Chen, X.; Hong, Y.; Song, P. Removal of Escherichia coli from water using functionalized porous ceramic disk filter coated with Fe/TiO2 nano-composites. J. Water Process Eng. 2020, 33, 101013. [Google Scholar] [CrossRef]
- Chaukura, N.; Katengeza, G.; Gwenzi, W.; Mbiriri, C.I.; Nkambule, T.T.; Moyo, M.; Kuvarega, A.T. Development and evaluation of a low-cost ceramic filter for the removal of methyl orange, hexavalent chromium, and Escherichia coli from water. Mater. Chem. Phys. 2020, 249, 122965. [Google Scholar] [CrossRef]
- Kandisa, R.V.; Saibaba, K.N.; Shaik, K.B.; Gopinath, R. Dye Removal by Adsorption: A Review. J. Bioremediat. Biodegrad. 2016, 7, 371. [Google Scholar] [CrossRef]
- Mahlambi, M.M.; Ngila, C.J.; Mamba, B.B. Recent Developments in Environmental Photocatalytic Degradation of Organic Pollutants: The Case of Titanium Dioxide Nanoparticles—A Review. J. Nanomater. 2015, 2015, 5. [Google Scholar] [CrossRef]
- Katheresan, V.; Kansedo, J.; Lau, S.Y. Efficiency of various recent wastewater dye removal methods: A review. J. Environ. Chem. Eng. 2018, 6, 4676–4697. [Google Scholar] [CrossRef]
- Lellis, B.; Fávaro-Polonio, C.Z.; Pamphile, J.A.; Polonio, J.C. Effects of textile dyes on health and the environment and bioremediation potential of living organisms. Biotechnol. Res. Innov. 2019, 3, 275–290. [Google Scholar] [CrossRef]
- Yee, L.Y.; Ng, Q.H.; Shuit, S.H.; Enche Ab Rahim, S.K.; Mohammad Nawi, D.; Low, S.C. Application of the novel pH-catalytic-magnetic tri-functionalities augmented bead for removal of organic dye pollutants. Environ. Prog. Sustain. Energy 2021, 40, e13699. [Google Scholar] [CrossRef]
- Gaya, U.I.; Abdullah, A.H. Heterogeneous photocatalytic degradation of organic contaminants over titanium dioxide: A review of fundamentals, progress and problems. J. Photochem. Photobiol. C Photochem. Rev. 2008, 9, 1–12. [Google Scholar] [CrossRef]
- Salamat, S.; Younesi, H.; Bahramifar, N. Synthesis of magnetic core-shell Fe3O4@TiO2 nanoparticles from electric arc furnace dust for photocatalytic degradation of steel mill wastewater. RSC Adv. 2017, 7, 19391–19405. [Google Scholar] [CrossRef]
- Haw, C.; Chiu, W.; Abdul Rahman, S.; Khiew, P.; Radiman, S.; Abdul Shukor, R.; Hamid, M.A.A.; Ghazali, N. The design of new magnetic-photocatalyst nanocomposites (CoFe2O4-TiO2) as smart nanomaterials for recyclable-photocatalysis applications. New J. Chem. 2016, 40, 1124–1136. [Google Scholar] [CrossRef]
- Pawar, M.; Sendoǧdular, S.T.; Gouma, P. A brief overview of TiO2 photocatalyst for organic dye remediation: Case study of reaction mechanisms involved in Ce-TiO2 photocatalysts system. J. Nanomater. 2018, 2018, 5953609. [Google Scholar] [CrossRef]
- Wu, W.; Xiao, X.; Zhang, S.; Ren, F.; Jiang, C. Facile method to synthesize magnetic iron oxides/TiO2 hybrid nanoparticles and their photodegradation application of methylene blue. Nanoscale Res. Lett. 2011, 6, 533. [Google Scholar] [CrossRef]
- Vinosel, V.M.; Asisi Janifer, M.; Anand, S.; Pauline, S. Structural and Functional Group Characterization of Nanocomposite Fe3O4/TiO2 and Its Magnetic Property 40. Mech. Mater. Sci. Eng. J. 2017, 9, 2412–5954. [Google Scholar] [CrossRef]
- Behrad, F.; Helmi Rashid Farimani, M.; Shahtahmasebi, N.; Rezaee Roknabadi, M.; Karimipour, M. Synthesis and characterization of Fe3O4/TiO2 magnetic and photocatalyst bifunctional core-shell with superparamagnetic performance. Eur. Phys. J. Plus 2015, 130, 1–9. [Google Scholar] [CrossRef]
- Cheng, M.; Zhao, C.; Wu, Z.; Liu, L.; Wang, H. Degradation of Dye Wastewater by a Novel mBT-MPR Visible Light Photocatalytic System. Int. J. Environ. Res. Public. Health 2022, 20, 571. [Google Scholar] [CrossRef]
- Dui, X.J.; Yang, W.B.; Wu, X.Y.; Kuang, X.; Liao, J.Z.; Yu, R.; Lu, C.Z. Two novel POM-based inorganic-organic hybrid compounds: Synthesis, structures, magnetic properties, photodegradation and selective absorption of organic dyes. Dalton Trans. 2015, 44, 9496–9505. [Google Scholar] [CrossRef] [PubMed]
- Lan, J.; Wang, Y.; Huang, B.; Xiao, Z.; Wu, P. Application of polyoxometalates in photocatalytic degradation of organic pollutants. Nanoscale Adv. 2021, 3, 4646–4658. [Google Scholar] [CrossRef]
- Ren, Y.; Wang, M.; Chen, X.; Yue, B.; He, H. Heterogeneous Catalysis of Polyoxometalate Based Organic–Inorganic Hybrids. Materials 2015, 8, 1545–1567. [Google Scholar] [CrossRef] [PubMed]
- Marjani, A.; Nakhjiri, A.T.; Adimi, M.; Jirandehi, H.F.; Shirazian, S. Effect of graphene oxide on modifying polyethersulfone membrane performance and its application in wastewater treatment. Sci. Rep. 2020, 10, 2049. [Google Scholar] [CrossRef] [PubMed]
- Mansor, E.S.; Ali, E.A.; Shaban, A.M. Tight ultrafiltration polyethersulfone membrane for cheese whey wastewater treatment. Chem. Eng. J. 2021, 407, 127175. [Google Scholar] [CrossRef]
- Zhao, C.; Xue, J.; Ran, F.; Sun, S. Modification of polyethersulfone membranes—A review of methods. Prog. Mater. Sci. 2013, 58, 76–150. [Google Scholar] [CrossRef]
- Gzara, L.; Rehan, Z.A.; Simone, S.; Galiano, F.; Hassankiadeh, N.T.; Al-Sharif, S.F.; Figoli, A.; Drioli, E. Tailoring PES membrane morphology and properties via selected preparation parameters. J. Polym. Eng. 2017, 37, 69–81. [Google Scholar] [CrossRef]
- Medeiros, V.D.N.; Silva, B.I.A.; Ferreira, R.d.S.B.; Oliveira, S.S.L.; Dias, R.A.; Araújo, E.M. Optimization of Process Parameters for Obtaining Polyethersulfone/Additives Membranes. Water 2020, 12, 2180. [Google Scholar] [CrossRef]
- Kaur, M.; Noonia, A.; Dogra, A.; Singh Thind, P. Optimising the parameters affecting degradation of Cypermethrin in an aqueous solution using TiO2/H2O2 mediated UV photocatalysis: RSM-BBD, kinetics, isotherms and reusability. Int. J. Environ. Anal. Chem. 2021, 1872066. [Google Scholar] [CrossRef]
- Karimzadeh, S.; Bahrami, K. Investigation of the photocatalytic activity of a novel-driven photocatalyst L-cysteine-TiO2/Bi2O3 under visible light irradiation: Process optimization and modeling. Int. J. Environ. Sci. Technol. 2022, 19, 3715–3730. [Google Scholar] [CrossRef]
- Niu, P. Photocatalytic Degradation of Methyl Orange in Aqueous TiO2 Suspensions. Asian J. Chem. 2013, 25, 1103–1106. [Google Scholar] [CrossRef]
- Hanafi, M.F.; Sapawe, N. Influence of pH on the photocatalytic degradation of methyl orange using nickel catalyst. Mater. Today Proc. 2020, 31, 339–341. [Google Scholar] [CrossRef]
- Azeez, F.; Al-Hetlani, E.; Arafa, M.; Abdelmonem, Y.; Nazeer, A.A.; Amin, M.O.; Madkour, M. The effect of surface charge on photocatalytic degradation of methylene blue dye using chargeable titania nanoparticles. Sci. Rep. 2018, 8, 7104. [Google Scholar] [CrossRef]
- Chaudhari, S.M.; Gawal, P.M.; Sane, P.K.; Sontakke, S.M.; Nemade, P.R. Solar light-assisted photocatalytic degradation of methylene blue with Mo/TiO2: A comparison with Cr- and Ni-doped TiO2. Res. Chem. Intermed. 2018, 44, 3115–3134. [Google Scholar] [CrossRef]








| Element | Atomic (%) | |||
|---|---|---|---|---|
| HPOM | f-MNPs | f-MNPs-TiO2 Composite | f-MNPs-HPOM Composite | |
| C | 61.94 | 40.35 | 63.13 | 64.22 |
| N | 10.24 | 2.66 | 0.00 | 12.18 |
| O | 25.99 | 49.01 | 33.95 | 22.44 |
| Cl | 0.00 | 0.08 | 0.00 | 0.02 |
| Ag | 0.73 | 0.00 | 0.00 | 0.02 |
| W | 1.09 | 0.00 | 0.00 | 0.11 |
| Fe | 0.00 | 7.91 | 2.23 | 1.01 |
| Ti | 0.00 | 0.00 | 0.69 | 0.00 |
Disclaimer/Publisher’s Note: The statements, opinions and data contained in all publications are solely those of the individual author(s) and contributor(s) and not of MDPI and/or the editor(s). MDPI and/or the editor(s) disclaim responsibility for any injury to people or property resulting from any ideas, methods, instructions or products referred to in the content. |
© 2023 by the authors. Licensee MDPI, Basel, Switzerland. This article is an open access article distributed under the terms and conditions of the Creative Commons Attribution (CC BY) license (https://creativecommons.org/licenses/by/4.0/).
Share and Cite
Yee, L.Y.; Ng, Q.H.; Enche Ab Rahim, S.K.; Hoo, P.Y.; Chang, P.T.; Ahmad, A.L.; Low, S.C.; Shuit, S.H. A Novel Tri-Functionality pH-Magnetic-Photocatalytic Hybrid Organic-Inorganic Polyoxometalates Augmented Microspheres for Polluted Water Treatment. Membranes 2023, 13, 174. https://doi.org/10.3390/membranes13020174
Yee LY, Ng QH, Enche Ab Rahim SK, Hoo PY, Chang PT, Ahmad AL, Low SC, Shuit SH. A Novel Tri-Functionality pH-Magnetic-Photocatalytic Hybrid Organic-Inorganic Polyoxometalates Augmented Microspheres for Polluted Water Treatment. Membranes. 2023; 13(2):174. https://doi.org/10.3390/membranes13020174
Chicago/Turabian StyleYee, Li Ying, Qi Hwa Ng, Siti Kartini Enche Ab Rahim, Peng Yong Hoo, Pei Thing Chang, Abdul Latif Ahmad, Siew Chun Low, and Siew Hoong Shuit. 2023. "A Novel Tri-Functionality pH-Magnetic-Photocatalytic Hybrid Organic-Inorganic Polyoxometalates Augmented Microspheres for Polluted Water Treatment" Membranes 13, no. 2: 174. https://doi.org/10.3390/membranes13020174
APA StyleYee, L. Y., Ng, Q. H., Enche Ab Rahim, S. K., Hoo, P. Y., Chang, P. T., Ahmad, A. L., Low, S. C., & Shuit, S. H. (2023). A Novel Tri-Functionality pH-Magnetic-Photocatalytic Hybrid Organic-Inorganic Polyoxometalates Augmented Microspheres for Polluted Water Treatment. Membranes, 13(2), 174. https://doi.org/10.3390/membranes13020174

