Electrotransport Properties of Perfluorinated Cation-Exchange Membranes of Various Thickness
Abstract
:1. Introduction
2. Materials and Methods
2.1. Materials
2.2. Experimental Techniques
2.2.1. Physical–Chemical Characteristics
2.2.2. Diffusion Permeability and Conductivity
2.2.3. Measurements of Current–Voltage Curves
2.2.4. Distribution of Water over Pore Radii
2.2.5. Fuel Cell Testing
3. Results and Discussion
3.1. Conductivity and Diffusion Permeability of the Membranes
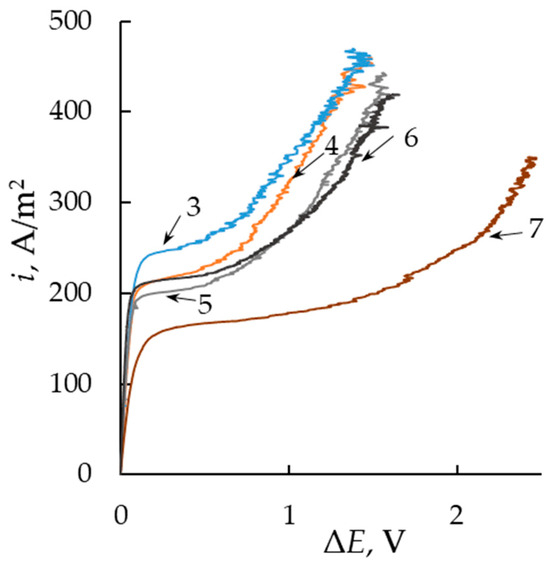
3.2. Voltammetry
3.3. Behavior of Model Fuel Cell with Different Membranes
4. Conclusions
Author Contributions
Funding
Institutional Review Board Statement
Data Availability Statement
Conflicts of Interest
References
- Branco, C.M.; El-kharouf, A.; Du, S. Materials for Polymer Electrolyte Membrane Fuel Cells (PEMFCs): Electrolyte Membrane, Gas Diffusion Layers and Bipolar Plates. Ref. Modul. Mater. Sci. Mater. Eng. 2017, 2, 378–388. [Google Scholar] [CrossRef]
- Tsang, E.M.W.; Holdcroft, S. Alternative Proton Exchange Membranes by Chain-Growth Polymerization. Polym. Sci. A Compr. Ref. 2012, 10, 651–689. [Google Scholar] [CrossRef]
- Zaton, M.; Roziere, J.; Jones, D.J. Current understanding of chemical degradation mechanisms of perfluorosulfonic acid membranes and their mitigation strategies: A review. Sustain. Energy Fuels 2017, 1, 409–438. [Google Scholar] [CrossRef]
- Apel, P.Y.; Velizarov, S.; Volkov, A.V.; Eliseeva, T.V.; Nikonenko, V.V.; Parshina, A.V.; Pismenskaya, N.D.; Popov, K.I.; Yaroslavtsev, A.B. Fouling and Membrane Degradation in Electromembrane and Baromembrane Processes. Membr. Membr. Technol. 2022, 4, 69–92. [Google Scholar] [CrossRef]
- Sheng, J.; Mukhopadhyay, A.; Wang, W.; Zhu, H. Recent advances in the selective membrane for aqueous redox flow batteries. Mater. Today Nano 2019, 7, 100044. [Google Scholar] [CrossRef]
- Phan, T.T.; Kim, S.-K.; Islam, J.; Kim, M.-J.; Lee, J.-H. Degradation analysis of polymer electrolyte membrane water electrolyzer with different membrane thicknesses. Int. J. Hydrogen Energy 2023, in press. [CrossRef]
- Gao, M.; Salla, M.; Zhang, F.; Zhi, Y.; Wang, Q. Membrane fouling in aqueous redox flow batteries. J. Power Sources 2022, 527, 231180. [Google Scholar] [CrossRef]
- Modestov, A.; Kartashova, N.; Pichugov, R.; Petrov, M.; Antipov, A.; Abunaeva, L. Bromine Crossover in Operando Analysis of Proton Exchange Membranes in Hydrogen −Bromate Flow Batteries. Membranes 2022, 12, 815. [Google Scholar] [CrossRef]
- LaConti, A.B.; Liu, H.; Mittelsteadt, C.; McDonald, R.C. Polymer electrolyte membrane degradation mechanisms in fuel cells—Findings over the past 30 years and comparison with electrolyzers. ECS Trans. 2006, 1, 199–219. [Google Scholar] [CrossRef]
- Seo, S.H.; Lee, C.S. The Effects of Membrane Thickness on the Performance and Impedance of the Direct Methanol Fuel Cell. Proc. Inst. Mech. Eng. C J. Mech. Eng. Sci. 2010, 224, 2211–2221. [Google Scholar] [CrossRef]
- Elferjani, I.; Serre, G.; Ter-Ovanessian, B.; Norman, B. A coupling approach between metallic bipolar plates corrosion and membrane chemical degradation in the proton exchange membrane fuel cells. Int. J. Hydrogen Energy 2021, 46, 32226–32241. [Google Scholar] [CrossRef]
- Borup, R.; Meyers, J.; Pivovar, B.; Kim, Y.S.; Mukundan, R.; Garland, N.; Myers, D. Scientific aspects of polymer electrolyte fuel cell durability and degradation. Chem. Rev. 2007, 107, 3904–3951. [Google Scholar] [CrossRef] [PubMed]
- Avakov, V.B.; Aliev, A.D.; Beketaeva, L.A.; Bogdanovskaya, V.A.; Burkovskii, E.V.; Datskevich, A.A. Study of degradation of membrane-electrode assemblies of hydrogen-oxygen (air) fuel cell under the conditions of life tests and voltage cycling. Russ. J. Electrochem. 2014, 50, 773–788. [Google Scholar] [CrossRef]
- Okonkwo, P.C.; Belgacem, I.B.; Emori, W.; Uzoma, P.C. Nafion degradation mechanisms in proton exchange membrane fuel cell (PEMFC) system: A review. Int. J. Hydrogen Energy 2021, 46, 27956–27973. [Google Scholar] [CrossRef]
- Yassin, K.; Douglin, J.C.; Rasin, I.G.; Santori, P.G.; Eriksson, B.; Bibent, N.; Jaouen, F.; Brandon, S.; Dekel, D.R. The effect of membrane thickness on AEMFC Performance: An integrated theoretical and experimental study. Energy Convers. Manag. 2022, 270, 116203. [Google Scholar] [CrossRef]
- Slade, S.M.; Ralph, T.R.; Campbell, S.A.; Walsh, F.C. The Ionic Conductivity of a Nafion® 1100 Series of Proton-exchange Membranes Re-cast from Butan-1-ol and Propan-2-ol. Fuel Cells 2010, 10, 567–574. [Google Scholar] [CrossRef]
- Siroma, Z.; Kakitsubo, R.; Fujiwara, N.; Ioroi, T.; Yamazaki, S.; Yasuda, K. Depression of proton conductivity in recast Nafion® film measured on flat substrate. J. Power Sources 2009, 189, 994–998. [Google Scholar] [CrossRef]
- Tsampas, M.N.; Pikos, A.; Brosda, S.; Katsaounis, A.; Vayenas, C.G. The effect of membrane thickness on the conductivity of Nafion. Electrochim. Acta 2006, 51, 2743–2755. [Google Scholar] [CrossRef]
- Katsaounis, A.; Balomenou, S.; Tsiplakides, D.; Brosda, S.; Neophytides, S.; Vayenas, C.G. Proton tunneling-induced bistability, oscillations and enhanced performance of PEM fuel cells. Appl. Catal. B Environ. 2005, 56, 251–258. [Google Scholar] [CrossRef]
- Berezina, N.P.; Kononenko, N.A.; Dyomina, O.A.; Gnusin, N.P. Characterization of Ion-Exchange Membrane Materials: Properties vs Structure. Adv. Colloid Interface Sci. 2008, 139, 3–28. [Google Scholar] [CrossRef]
- Karpenko, L.V.; Demina, O.A.; Dvorkina, G.A.; Parshikov, S.B.; Larchet, C.; Auclair, B.; Berezina, N.P. Comparative Study of Methods Used for the Determination of Electroconductivity of Ion-Exchange Membranes. Russ. J. Electrochem. 2001, 37, 287–293. [Google Scholar] [CrossRef]
- Andreeva, M.; Loza, N.; Kutenko, N.; Kononenko, N. Polymerization of aniline in perfluorinated membranes under conditions of electrodiffusion of monomer and oxidizer. J. Solid State Electrochem. 2019, 24, 101–110. [Google Scholar] [CrossRef]
- Volfkovich, Y.M.; Bagotzky, V.S.; Sosenkin, V.E.; Blinov, I.A. The standard contact porosimetry. Colloids Surf. A Physicochem. Eng. Asp. 2001, 187–188, 349–365. [Google Scholar] [CrossRef]
- Ogata, Y.; Abe, T.; Yonemori, S.; Yamada, N.L.; Kawaguchi, D.; Tanaka, K. Impact of the Solid Interface on Proton Conductivity in Nafion Thin Films. Langmuir 2018, 34, 15483–15489. [Google Scholar] [CrossRef]
- Chaabane, L.; Dammak, L.; Nikonenko, V.V.; Bulvestre, G.; Auclair, B. The influence of absorbed methanol on the conductivity and on the microstructure of ion-exchange membranes. J. Membr. Sci. 2007, 298, 126–135. [Google Scholar] [CrossRef]
- Kamcev, J.; Sujanani, R.; Jang, E.-S.; Yan, N.; Moe, N.; Paul, D.R.; Freeman, B.D. Salt concentration dependence of ionic conductivity in ion exchange membranes. J. Membr. Sci. 2018, 547, 123–133. [Google Scholar] [CrossRef]
- Barros, K.S.; Martí-Calatayud, M.C.; Scarazzato, T.; Bernardes, A.M.; Espinosa, D.C.R.; Pérez-Herranz, V. Investigation of ion-exchange membranes by means of chronopotentiometry: A comprehensive review on this highly informative and multipurpose technique. Adv. Colloid Interface Sci. 2021, 293, 102439. [Google Scholar] [CrossRef]
- Kozaderova, O.A.; Kim, K.B.; Gadzhiyeva, C.S.; Niftaliev, S.I. Electrochemical Characteristics of Thin Heterogeneous Ion Exchange Membranes. J. Membr. Sci. 2020, 604, 118081. [Google Scholar] [CrossRef]
- Gnusin, N.P.; Kononenko, N.A.; Parshikov, S.B. Electrodiffusion through an inhomogeneous ion-exchange membrane with adjacent diffusion layers. Elektrokhimiya 1994, 30, 35. (In Russian) [Google Scholar]
- Kulikovsky, A.A. One-dimentional impedance of the cathode side of a PEM fuel cell: Exact analytical solution. J. Electrochem. Soc. 2015, 162, F217–F222. [Google Scholar] [CrossRef]
- Choi, P.; Jalani, N.H.; Thampan, T.M.; Datta, R. Consideration of thermodynamic, transport, and mechanical properties in the design of polymer electrolyte membranes for higher temperature fuel cell operation. J. Polym. Sci. Part B Polym. Phys. 2006, 44, 2183–2200. [Google Scholar] [CrossRef]










| No | Membrane | l, μm | IEC, mmol/gdry | Wdry, % | nm, mol H2O/mol SO3− |
|---|---|---|---|---|---|
| 1 | Nafion NRE-212 | 65 ± 2 | 1.05 ± 0.05 | 44 ± 0.5 | 23 ± 0.5 |
| 2 | MF-4SK (extrusion) | 60 ± 2 | 0.93 ± 0.05 | 34 ± 0.5 | 20 ± 0.5 |
| 3 | MF-4SK (cast) | 60 ± 2 | 0.98 ± 0.05 | 31 ± 0.5 | 18 ± 0.5 |
| 4 | MF-4SK (extrusion) | 90 ± 2 | 0.93 ± 0.05 | 22 ± 0.5 | 13 ± 0.5 |
| 5 | MF-4SK (extrusion) | 170 ± 2 | 0.93 ± 0.05 | 22 ± 0.5 | 13 ± 0.5 |
| 6 | MF-4SK (extrusion) | 240 ± 2 | 0.91 ± 0.05 | 23 ± 0.5 | 14 ± 0.5 |
| 7 | MF-4SK (extrusion) | 300 ± 2 | 0.65 ± 0.05 | 23 ± 0.5 | 20 ± 0.5 |
Disclaimer/Publisher’s Note: The statements, opinions and data contained in all publications are solely those of the individual author(s) and contributor(s) and not of MDPI and/or the editor(s). MDPI and/or the editor(s) disclaim responsibility for any injury to people or property resulting from any ideas, methods, instructions or products referred to in the content. |
© 2023 by the authors. Licensee MDPI, Basel, Switzerland. This article is an open access article distributed under the terms and conditions of the Creative Commons Attribution (CC BY) license (https://creativecommons.org/licenses/by/4.0/).
Share and Cite
Falina, I.; Loza, N.; Brovkina, M.; Titskaya, E.; Timofeev, S.; Kononenko, N. Electrotransport Properties of Perfluorinated Cation-Exchange Membranes of Various Thickness. Membranes 2023, 13, 873. https://doi.org/10.3390/membranes13110873
Falina I, Loza N, Brovkina M, Titskaya E, Timofeev S, Kononenko N. Electrotransport Properties of Perfluorinated Cation-Exchange Membranes of Various Thickness. Membranes. 2023; 13(11):873. https://doi.org/10.3390/membranes13110873
Chicago/Turabian StyleFalina, Irina, Natalia Loza, Marina Brovkina, Ekaterina Titskaya, Sergey Timofeev, and Natalia Kononenko. 2023. "Electrotransport Properties of Perfluorinated Cation-Exchange Membranes of Various Thickness" Membranes 13, no. 11: 873. https://doi.org/10.3390/membranes13110873
APA StyleFalina, I., Loza, N., Brovkina, M., Titskaya, E., Timofeev, S., & Kononenko, N. (2023). Electrotransport Properties of Perfluorinated Cation-Exchange Membranes of Various Thickness. Membranes, 13(11), 873. https://doi.org/10.3390/membranes13110873

