A Comparative Study of Nafion 212 and Sulfonated Poly(Ether Ether Ketone) Membranes with Different Degrees of Sulfonation on the Performance of Iron-Chromium Redox Flow Battery
Abstract
:1. Introduction
2. Materials and Methods
2.1. Materials
2.2. Preparation of SPEEK
2.3. Preparation of SPEEK Membrane
2.4. Characterization
2.4.1. Morphology and Fourier Transform Infrared (FTIR) Spectra
2.4.2. Ion Exchange Capacity (IEC) and DS
2.4.3. Water Uptake (WU) and Swelling Ratio (SR)
2.4.4. Proton Conductivity, Cr3+/Fe2+ Permeability, Ion Selectivity, and Mechanical Properties
2.4.5. Chemical Stability Test
2.5. CV Tests of the Iron-Chromium Redox Species
2.6. ICRFB Single-Cell Performance
3. Results and Discussion
3.1. Characterization
3.1.1. Morphology and FTIR
3.1.2. Physicochemical Properties, Cr3+/Fe2+ Permeability, and Ion Selectivity
3.1.3. Evaluation of Chemical Stability
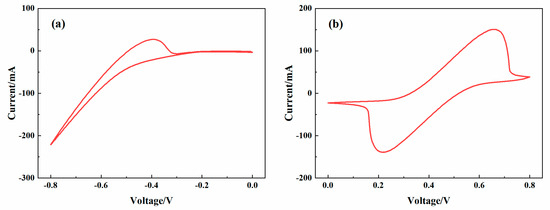
3.2. CV Tests of the Iron-Chromium Redox Species
3.3. ICRFB Single-Cell Performance
4. Conclusions
Supplementary Materials
Author Contributions
Funding
Institutional Review Board Statement
Data Availability Statement
Acknowledgments
Conflicts of Interest
References
- Wei, L.; Zeng, L.; Han, M.S.; Li, W.J.; Chen, L.P.; Xu, J.H.; Zhao, T.S. Nano TiC Electrocatalysts Embedded Graphite Felt for High Rate and Stable Vanadium Redox Flow Batteries. J. Power Sources 2023, 576, 233180. [Google Scholar] [CrossRef]
- Prifti, H.; Parasuraman, A.; Winardi, S.; Lim, T.M.; Skyllas-Kazacos, M. Membranes for Redox Flow Battery Applications. Membranes 2012, 2, 275–306. [Google Scholar] [CrossRef]
- Sun, C.; Zhang, H. Review of the Development of First-Generation Redox Flow Batteries: Iron-Chromium System. ChemSusChem 2022, 15, e202101798. [Google Scholar] [CrossRef]
- Zhang, H.; Sun, C.; Ge, M. Review of the Research Status of Cost-Effective Zinc–Iron Redox Flow Batteries. Batteries 2022, 8, 202. [Google Scholar] [CrossRef]
- Pan, L.; Sun, J.; Qi, H.; Han, M.; Dai, Q.; Xu, J.; Yao, S.; Li, Q.; Wei, L.; Zhao, T. Dead-Zone-Compensated Design as General Method of Flow Field Optimization for Redox Flow Batteries. Proc. Natl. Acad. Sci. USA 2023, 120, e2305572120. [Google Scholar] [CrossRef]
- Tang, A.; Bao, J.; Skyllas-Kazacos, M. Thermal Modelling of Battery Configuration and Self-Discharge Reactions in Vanadium Redox Flow Battery. J. Power Sources 2012, 216, 489–501. [Google Scholar] [CrossRef]
- Zeng, Y.K.; Zhao, T.S.; An, L.; Zhou, X.L.; Wei, L. A Comparative Study of All-Vanadium and Iron-Chromium Redox Flow Batteries for Large-Scale Energy Storage. J. Power Sources 2015, 300, 438–443. [Google Scholar] [CrossRef]
- Zeng, Y.; Li, F.; Lu, F.; Zhou, X.; Yuan, Y.; Cao, X.; Xiang, B. A Hierarchical Interdigitated Flow Field Design for Scale-up of High-Performance Redox Flow Batteries. Appl. Energy 2019, 238, 435–441. [Google Scholar] [CrossRef]
- Wan, C.T.-C.; Rodby, K.E.; Perry, M.L.; Chiang, Y.-M.; Brushett, F.R. Hydrogen Evolution Mitigation in Iron-Chromium Redox Flow Batteries via Electrochemical Purification of the Electrolyte. J. Power Sources 2023, 554, 232248. [Google Scholar] [CrossRef]
- Zeng, Y.K.; Zhao, T.S.; Zhou, X.L.; Wei, L.; Jiang, H.R. A Low-Cost Iron-Cadmium Redox Flow Battery for Large-Scale Energy Storage. J. Power Sources 2016, 330, 55–60. [Google Scholar] [CrossRef]
- Zhang, C.; Zhang, L.; Ding, Y.; Peng, S.; Guo, X.; Zhao, Y.; He, G.; Yu, G. Progress and Prospects of Next-Generation Redox Flow Batteries. Energy Storage Mater. 2018, 15, 324–350. [Google Scholar] [CrossRef]
- Zhang, H.; Tan, Y.; Li, J.; Xue, B. Studies on Properties of Rayon- and Polyacrylonitrile-Based Graphite Felt Electrodes Affecting Fe/Cr Redox Flow Battery Performance. Electrochimica Acta 2017, 248, 603–613. [Google Scholar] [CrossRef]
- Yang, X.; Zhao, L.; Goh, K.; Sui, X.; Meng, L.; Wang, Z. Ultra-High Ion Selectivity of a Modified Nafion Composite Membrane for Vanadium Redox Flow Battery by Incorporation of Phosphotungstic Acid Coupled UiO-66-NH2. ChemistrySelect 2019, 4, 4633–4641. [Google Scholar] [CrossRef]
- Wang, T.; Moon, S.J.; Hwang, D.-S.; Park, H.; Lee, J.; Kim, S.; Lee, Y.M.; Kim, S. Selective Ion Transport for a Vanadium Redox Flow Battery (VRFB) in Nano-Crack Regulated Proton Exchange Membranes. J. Membr. Sci. 2019, 583, 16–22. [Google Scholar] [CrossRef]
- Reed, D.; Thomsen, E.; Wang, W.; Nie, Z.; Li, B.; Wei, X.; Koeppel, B.; Sprenkle, V. Performance of Nafion® N115, Nafion® NR-212, and Nafion® NR-211 in a 1 KW Class All Vanadium Mixed Acid Redox Flow Battery. J. Power Sources 2015, 285, 425–430. [Google Scholar] [CrossRef]
- Jiang, B.; Wu, L.; Yu, L.; Qiu, X.; Xi, J. A Comparative Study of Nafion Series Membranes for Vanadium Redox Flow Batteries. J. Membr. Sci. 2016, 510, 18–26. [Google Scholar] [CrossRef]
- Minke, C.; Turek, T. Economics of Vanadium Redox Flow Battery Membranes. J. Power Sources 2015, 286, 247–257. [Google Scholar] [CrossRef]
- Chen, D.; Wang, S.; Xiao, M.; Meng, Y. Preparation and Properties of Sulfonated Poly(Fluorenyl Ether Ketone) Membrane for Vanadium Redox Flow Battery Application. J. Power Sources 2010, 195, 2089–2095. [Google Scholar] [CrossRef]
- Zhang, Y.; Li, J.; Zhang, H.; Zhang, S.; Huang, X. Sulfonated Polyimide Membranes with Different Non-Sulfonated Diamines for Vanadium Redox Battery Applications. Electrochimica Acta 2014, 150, 114–122. [Google Scholar] [CrossRef]
- Wang, N.; Yu, J.; Zhou, Z.; Fang, D.; Liu, S.; Liu, Y. SPPEK/TPA Composite Membrane as a Separator of Vanadium Redox Flow Battery. J. Membr. Sci. 2013, 437, 114–121. [Google Scholar] [CrossRef]
- Chen, D.; Wang, S.; Xiao, M.; Meng, Y. Synthesis and Properties of Novel Sulfonated Poly(Arylene Ether Sulfone) Ionomers for Vanadium Redox Flow Battery. Energy Convers. Manag. 2010, 51, 2816–2824. [Google Scholar] [CrossRef]
- Sun, C.-Y.; Zhang, H.; Luo, X.-D.; Chen, N. A Comparative Study of Nafion and Sulfonated Poly(Ether Ether Ketone) Membrane Performance for Iron-Chromium Redox Flow Battery. Ionics 2019, 25, 4219–4229. [Google Scholar] [CrossRef]
- Dai, W.; Shen, Y.; Li, Z.; Yu, L.; Xi, J.; Qiu, X. SPEEK/Graphene Oxide Nanocomposite Membranes with Superior Cyclability for Highly Efficient Vanadium Redox Flow Battery. J. Mater. Chem. A 2014, 2, 12423–12432. [Google Scholar] [CrossRef]
- Xi, J.; Li, Z.; Yu, L.; Yin, B.; Wang, L.; Liu, L.; Qiu, X.; Chen, L. Effect of Degree of Sulfonation and Casting Solvent on Sulfonated Poly(Ether Ether Ketone) Membrane for Vanadium Redox Flow Battery. J. Power Sources 2015, 285, 195–204. [Google Scholar] [CrossRef]
- Wang, S.; Xu, Z.; Wu, X.; Zhao, H.; Zhao, J.; Liu, J.; Yan, C.; Fan, X. Excellent Stability and Electrochemical Performance of the Electrolyte with Indium Ion for Iron–Chromium Flow Battery. Electrochimica Acta 2021, 368, 137524. [Google Scholar] [CrossRef]
- Düerkop, D.; Widdecke, H.; Schilde, C.; Kunz, U.; Schmiemann, A. Polymer Membranes for All-Vanadium Redox Flow Batteries: A Review. Membranes 2021, 11, 214. [Google Scholar] [CrossRef]
- Sun, C.; Zhang, H. Investigation of Nafion Series Membranes on the Performance of Iron-chromium Redox Flow Battery. Int. J. Energy Res. 2019, 43, 8739–8752. [Google Scholar] [CrossRef]
- Sun, C.; Negro, E.; Vezzù, K.; Pagot, G.; Cavinato, G.; Nale, A.; Herve Bang, Y.; Di Noto, V. Hybrid Inorganic-Organic Proton-Conducting Membranes Based on SPEEK Doped with WO3 Nanoparticles for Application in Vanadium Redox Flow Batteries. Electrochimica Acta 2019, 309, 311–325. [Google Scholar] [CrossRef]
- Merle, G.; Ioana, F.; Demco, D.; Saakes, M.; Hosseiny, S. Friedel–Crafts Crosslinked Highly Sulfonated Polyether Ether Ketone (SPEEK) Membranes for a Vanadium/Air Redox Flow Battery. Membranes 2013, 4, 1–19. [Google Scholar] [CrossRef]
- Di Noto, V.; Piga, M.; Giffin, G.A.; Pace, G. Broadband Electric Spectroscopy of Proton Conducting SPEEK Membranes. J. Membr. Sci. 2012, 390–391, 58–67. [Google Scholar] [CrossRef]
- Qiao, L.; Liu, S.; Cheng, H.; Ma, X. The Application of a Modified Polyacrylonitrile Porous Membrane in Vanadium Flow Battery. Membranes 2022, 12, 388. [Google Scholar] [CrossRef]
- da Trindade, L.G.; Zanchet, L.; Dreon, R.; Souza, J.C.; Assis, M.; Longo, E.; Martini, E.M.A.; Chiquito, A.J.; Pontes, F.M. Microwave-Assisted Solvothermal Preparation of Zr-BDC for Modification of Proton Exchange Membranes Made of SPEEK/PBI Blends. J. Mater. Sci. 2020, 55, 14938–14952. [Google Scholar] [CrossRef]
- Zhang, Y.; Pu, Y.; Yang, P.; Yang, H.; Xuan, S.; Long, J.; Wang, Y.; Zhang, H. Branched Sulfonated Polyimide/Functionalized Silicon Carbide Composite Membranes with Improved Chemical Stabilities and Proton Selectivities for Vanadium Redox Flow Battery Application. J. Mater. Sci. 2018, 53, 14506–14524. [Google Scholar] [CrossRef]
- Hu, L.; Gao, L.; Di, M.; Zheng, W.; Ruan, X.; Dai, Y.; Chen, W.; He, G.; Yan, X. Pyridine-Extended Proton Sponge Enabling High-Performance Membrane for Flow Batteries. J. Membr. Sci. 2023, 669, 121290. [Google Scholar] [CrossRef]
- Quan, Y.; Wang, G.; Li, A.; Wei, X.; Li, F.; Zhang, J.; Chen, J.; Wang, R. Novel Sulfonated Poly(Ether Ether Ketone)/Triphenylamine Hybrid Membrane for Vanadium Redox Flow Battery Applications. RSC Adv. 2019, 9, 3838–3846. [Google Scholar] [CrossRef]
- Liu, W.-F.; Kim, K.-H.; Ahn, H.-J. NTO Laminated Graphite Felt as High-Performance Negative Electrode for Vanadium Redox Flow Batteries. J. Alloy. Compd. 2023, 954, 170106. [Google Scholar] [CrossRef]
- Wang, S.; Xu, Z.; Wu, X.; Zhao, H.; Zhao, J.; Liu, J.; Yan, C.; Fan, X. Analyses and Optimization of Electrolyte Concentration on the Electrochemical Performance of Iron-Chromium Flow Battery. Appl. Energy 2020, 271, 115252. [Google Scholar] [CrossRef]
- Li, X.; Zhang, H.; Mai, Z.; Zhang, H.; Vankelecom, I. Ion Exchange Membranes for Vanadium Redox Flow Battery (VRB) Applications. Energy Environ. Sci. 2011, 4, 1147–1160. [Google Scholar] [CrossRef]
- Yee, R.; Zhang, K.; Ladewig, B. The Effects of Sulfonated Poly(Ether Ether Ketone) Ion Exchange Preparation Conditions on Membrane Properties. Membranes 2013, 3, 182–195. [Google Scholar] [CrossRef]
- Niu, R.; Kong, L.; Zheng, L.; Wang, H.; Shi, H. Novel Graphitic Carbon Nitride Nanosheets/Sulfonated Poly(Ether Ether Ketone) Acid-Base Hybrid Membrane for Vanadium Redox Flow Battery. J. Membr. Sci. 2017, 525, 220–228. [Google Scholar] [CrossRef]
- Li, Z.; Liu, L.; Yu, L.; Wang, L.; Xi, J.; Qiu, X.; Chen, L. Characterization of Sulfonated Poly(Ether Ether Ketone)/Poly(Vinylidene Fluoride-Co-Hexafluoropropylene) Composite Membrane for Vanadium Redox Flow Battery Application. J. Power Sources 2014, 272, 427–435. [Google Scholar] [CrossRef]
- Koziara, B.T.; Akkilic, N.; Nijmeijer, K.; Benes, N.E. The Effects of Water on the Morphology and the Swelling Behavior of Sulfonated Poly(Ether Ether Ketone) Films. J. Mater. Sci. 2016, 51, 1074–1082. [Google Scholar] [CrossRef]
- Zeng, Y.K.; Zhao, T.S.; Zhou, X.L.; Zeng, L.; Wei, L. The Effects of Design Parameters on the Charge-Discharge Performance of Iron-Chromium Redox Flow Batteries. Appl. Energy 2016, 182, 204–209. [Google Scholar] [CrossRef]
- Yuan, Z.; Li, X.; Hu, J.; Xu, W.; Cao, J.; Zhang, H. Degradation mechanism of sulfonated poly (ether ether ketone)(SPEEK) ionexchange membranes under vanadium flow battery medium. Phys. Chem. Chem. Phys. 2014, 16, 19841–19847. [Google Scholar] [CrossRef]
- Arora, P.; White, R.E.; Doyle, M. Capacity Fade Mechanisms and Side Reactions in Lithium-Ion Batteries. J. Electrochem. Soc. 1998, 145, 3647–3667. [Google Scholar] [CrossRef]
- Xu, J.; Deshpande, R.D.; Pan, J.; Cheng, Y.-T.; Battaglia, V.S. Electrode Side Reactions, Capacity Loss and Mechanical Degradation in Lithium-Ion Batteries. J. Electrochem. Soc. 2015, 162, A2026–A2035. [Google Scholar] [CrossRef]
- Chen, D.; Hickner, M.A.; Agar, E.; Kumbur, E.C. Optimizing Membrane Thickness for Vanadium Redox Flow Batteries. J. Membr. Sci. 2013, 437, 108–113. [Google Scholar] [CrossRef]
- Shvidchenko, A.V.; Odinokov, A.S.; Primachenko, O.N.; Gofman, I.V.; Yevlampieva, N.P.; Marinenko, E.A.; Lebedev, V.T.; Kuklin, A.I.; Kulvelis, Y.V. Improving PFSA Membranes Using Sulfonated Nanodiamonds. Membranes 2023, 13, 712. [Google Scholar] [CrossRef]
- Sun, C.; Negro, E.; Nale, A.; Pagot, G.; Vezzù, K.; Zawodzinski, T.A.; Meda, L.; Gambaro, C.; Di Noto, V. An Efficient Barrier toward Vanadium Crossover in Redox Flow Batteries: The Bilayer [Nafion/(WO3)x] Hybrid Inorganic-Organic Membrane. Electrochimica Acta 2021, 378, 138133. [Google Scholar] [CrossRef]
- Liu, B.; Jiang, Y.; Wang, H.; Ge, J.; Shi, H. Sulfonated Poly(Ether Ether Ketone) Hybrid Membranes with Amphoteric Graphene Oxide Nanosheets as Interfacial Reinforcement for Vanadium Redox Flow Battery. Energy Fuels 2020, 34, 2452–2461. [Google Scholar] [CrossRef]
- Jiang, S.; Wang, H.; Li, L.; Zhao, C.; Sheng, J.; Shi, H. Improvement of Proton Conductivity and Efficiency of SPEEK-Based Composite Membrane Influenced by Dual-Sulfonated Flexible Comb-like Polymers for Vanadium Flow Battery. J. Membr. Sci. 2023, 671, 121394. [Google Scholar] [CrossRef]
- Jia, C.; Cheng, Y.; Ling, X.; Wei, G.; Liu, J.; Yan, C. Sulfonated Poly(Ether Ether Ketone)/Functionalized Carbon Nanotube Composite Membrane for Vanadium Redox Flow Battery Applications. Electrochimica Acta 2015, 153, 44–48. [Google Scholar] [CrossRef]
- Aziz, M.d.A.; Shanmugam, S. Zirconium Oxide Nanotube–Nafion Composite as High Performance Membrane for All Vanadium Redox Flow Battery. J. Power Sources 2017, 337, 36–44. [Google Scholar] [CrossRef]
- Jung, H.-Y.; Jeong, S.; Kwon, Y. The Effects of Different Thick Sulfonated Poly (Ether Ether Ketone) Membranes on Performance of Vanadium Redox Flow Battery. J. Electrochem. Soc. 2016, 163, A5090–A5096. [Google Scholar] [CrossRef]
- Teng, X.; Yu, C.; Wu, X.; Dong, Y.; Gao, P.; Hu, H.; Zhu, Y.; Dai, J. PTFE/SPEEK/PDDA/PSS Composite Membrane for Vanadium Redox Flow Battery Application. J. Mater. Sci. 2018, 53, 5204–5215. [Google Scholar] [CrossRef]
- Haisch, T.; Ji, H.; Holtz, L.; Struckmann, T.; Weidlich, C. Half-Cell State of Charge Monitoring for Determination of Crossover in VRFB—Considerations and Results Concerning Crossover Direction and Amount. Membranes 2021, 11, 232. [Google Scholar] [CrossRef]
- Tang, A.; Bao, J.; Skyllas-Kazacos, M. Dynamic Modelling of the Effects of Ion Diffusion and Side Reactions on the Capacity Loss for Vanadium Redox Flow Battery. J. Power Sources 2011, 196, 10737–10747. [Google Scholar] [CrossRef]
- Zeng, Y.K.; Zhao, T.S.; Zhou, X.L.; Zou, J.; Ren, Y.X. A Hydrogen-Ferric Ion Rebalance Cell Operating at Low Hydrogen Concentrations for Capacity Restoration of Iron-Chromium Redox Flow Batteries. J. Power Sources 2017, 352, 77–82. [Google Scholar] [CrossRef]
- Zhang, Y.; Zhang, D.; Luan, C.; Zhang, Y.; Yu, W.; Liu, J.; Yan, C. An Economical Composite Membrane with High Ion Selectivity for Vanadium Flow Batteries. Membranes 2023, 13, 272. [Google Scholar] [CrossRef]
- Zhang, H.; Tan, Y.; Luo, X.; Sun, C.; Chen, N. Polarization Effects of a Rayon and Polyacrylonitrile Based Graphite Felt for Iron-Chromium Redox Flow Batteries. ChemElectroChem 2019, 6, 3175–3188. [Google Scholar] [CrossRef]














| Membrane | Thickness (Wet, 65 °C, μm) | IEC (mmol g−1) | DS (%) | Proton Conductivity (S cm−1) | WU% (65 °C) | SR% (65 °C) | Tensile Strength (Mpa) | Young’s Modulus (Mpa) | Percentage Elongation (%) |
|---|---|---|---|---|---|---|---|---|---|
| Nafion 212 | 55 | 0.99 | - | 0.267 | 12.2 | 10.8 | 15.1 | 144.4 | 187.8 |
| SPEEK 43 | 55.5 | 1.33 | 42.9 | 0.045 | 23.4 | 4.9 | 39.7 | 1139.5 | 37.7 |
| SPEEK 47 | 55 | 1.44 | 46.8 | 0.091 | 27.7 | 6.7 | 41.2 | 989.5 | 127.3 |
| SPEEK 52 | 56.5 | 1.58 | 52.1 | 0.125 | 30.2 | 9.0 | 46.1 | 921.8 | 142.5 |
| SPEEK 57 | 56 | 1.72 | 57.4 | 0.176 | 41.5 | 13.5 | 39.1 | 860.4 | 151.1 |
| SPEEK 62 | 57 | 1.84 | 62.1 | 0.230 | 56.5 | 16.4 | 33.1 | 835.3 | 164.9 |
| Membrane | Nafion 212 | SPEEK 43 | SPEEK 47 | SPEEK 52 | SPEEK 57 | SPEEK 62 | SPEEK 52-15 | SPEEK 57-25 |
|---|---|---|---|---|---|---|---|---|
| Stack resistance (mΩ) | 22.89 | 137.94 | 96.08 | 78.05 | 55.87 | 44.95 | 32.96 | 31.13 |
Disclaimer/Publisher’s Note: The statements, opinions and data contained in all publications are solely those of the individual author(s) and contributor(s) and not of MDPI and/or the editor(s). MDPI and/or the editor(s) disclaim responsibility for any injury to people or property resulting from any ideas, methods, instructions or products referred to in the content. |
© 2023 by the authors. Licensee MDPI, Basel, Switzerland. This article is an open access article distributed under the terms and conditions of the Creative Commons Attribution (CC BY) license (https://creativecommons.org/licenses/by/4.0/).
Share and Cite
Bai, E.; Zhu, H.; Sun, C.; Liu, G.; Xie, X.; Xu, C.; Wu, S. A Comparative Study of Nafion 212 and Sulfonated Poly(Ether Ether Ketone) Membranes with Different Degrees of Sulfonation on the Performance of Iron-Chromium Redox Flow Battery. Membranes 2023, 13, 820. https://doi.org/10.3390/membranes13100820
Bai E, Zhu H, Sun C, Liu G, Xie X, Xu C, Wu S. A Comparative Study of Nafion 212 and Sulfonated Poly(Ether Ether Ketone) Membranes with Different Degrees of Sulfonation on the Performance of Iron-Chromium Redox Flow Battery. Membranes. 2023; 13(10):820. https://doi.org/10.3390/membranes13100820
Chicago/Turabian StyleBai, Enrui, Haotian Zhu, Chuanyu Sun, Guanchen Liu, Xiaoyin Xie, Chongyang Xu, and Sheng Wu. 2023. "A Comparative Study of Nafion 212 and Sulfonated Poly(Ether Ether Ketone) Membranes with Different Degrees of Sulfonation on the Performance of Iron-Chromium Redox Flow Battery" Membranes 13, no. 10: 820. https://doi.org/10.3390/membranes13100820
APA StyleBai, E., Zhu, H., Sun, C., Liu, G., Xie, X., Xu, C., & Wu, S. (2023). A Comparative Study of Nafion 212 and Sulfonated Poly(Ether Ether Ketone) Membranes with Different Degrees of Sulfonation on the Performance of Iron-Chromium Redox Flow Battery. Membranes, 13(10), 820. https://doi.org/10.3390/membranes13100820

