Preparation and Permeation Properties of a pH-Responsive Polyacrylic Acid Coated Porous Alumina Membrane
Abstract
1. Introduction
2. Materials and Methods
2.1. Materials
2.2. Synthesis of PAA-Coated Alumina Membrane
2.3. Analysis of PAA-Coated Alumina Membrane
2.4. Permeation Test
3. Results
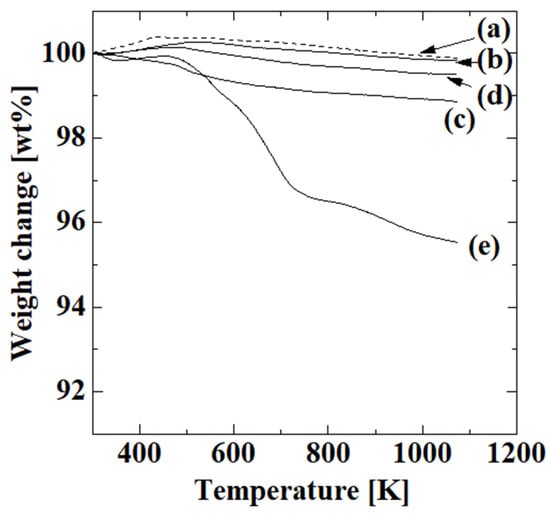
3.1. Characterization of PAA-Coated Porous Alumina Membrane
3.2. Evaluation of Permeation for PAA-Coated Alumina Membrane
4. Discussion
Supplementary Materials
Author Contributions
Funding
Institutional Review Board Statement
Data Availability Statement
Conflicts of Interest
References
- Zhao, C.; Nie, S.; Tang, M.; Sun, S. Polymetric pH-sensitive membranes—A review. Prog. Polym. Sci. 2011, 36, 1499–1520. [Google Scholar] [CrossRef]
- Ince, G.O.; Tufani, A. Smart membranes with pH-responsve control of macromolecule permeability. J. Membr. Sci. 2017, 537, 255–262. [Google Scholar]
- Song, C.; Shi, W.; Jiang, H.; Tu, J.; Ge, D. pH-sensitive characteritics of poly(acrylic acid)-functionalized anodic aluminium oxide (AAO) membranes. J. Membr. Sci. 2011, 372, 340–345. [Google Scholar] [CrossRef]
- Patil, R.S.; Narayanan, A.; Tantisuwanno, C.; Sancaktar, E. Immobilization of Glucose Oxidase on pH-Responsive Polyamide-Polyacrylic Acid Smart Membranes Fabricated Using 248 nm KrF Excimer Laser for Drug Delivery. Biointerface Res. Appl. Chem. 2023, 13, 11. [Google Scholar]
- Patil, R.S. Sancaktar, Fabrication of pH-Responsive polyimide polyacrylic acid smart gating membranes: Ultrafast method using 248 nm krypton fluoride excimer laser. ACS Appl. Matel. Interfaces 2021, 13, 24431–24441. [Google Scholar] [CrossRef]
- Himstedt, H.H.; Marshall, K.M.; Wickramasinghe, S.R.; Qian, X. pH responsive nanofiltration membrane for sugar separations. Ind. Eng. Chem. Res. 2013, 52, 9259–9269. [Google Scholar] [CrossRef]
- Himstedt, H.H.; Du, H.; Marshall, K.M.; Wickramasinghe, S.R. pH-responsive nanofiltration membranes by surface modification. J. Membr. Sci. 2011, 366, 373–381. [Google Scholar] [CrossRef]
- Zhang, F.; Yu, L.-J.; Liu, J.; Hou, L.; Li, S.; Chai, H.; Li, H.; Xin, Z.; Li, Q.; Cui, Z.; et al. pH-responsive laminar WSe2 membrane with photocatalytic antifouling property for ultrafast water transport. Chem. Eng. J. 2022, 435, 135159. [Google Scholar] [CrossRef]
- Yi, G.; Fan, X.; Quan, X.; Zhang, H.; Chen, S.; Yu, H. A pH-responsive PA-grafted-CNT intercalated RGO membrane with steady separation efficiency for charged contaminants over a wide pH range. Sep. Purif. Technol. 2019, 215, 422–429. [Google Scholar] [CrossRef]
- Yang, H.; Fang, S.; Song, H.-M.; Zhu, L.-J.; Zeng, Z.-X. pH-responsive poly(vinylidene fluoride)/poly(acrylic acid) porous membranes prepared via an vapor induced phase separation technique for removing copper ions from water. Mater. Lett. 2020, 260, 126957. [Google Scholar] [CrossRef]
- He, M.; Su, Y.; Zhang, R.; Liu, Y.; Zhang, S.; Jiang, Z. In-situ construction of antifouling separation layer via a reaction enhanced surface segregation method. Chem. Eng. Sci. 2018, 190, 89–97. [Google Scholar] [CrossRef]
- Luo, T.; Lin, S.; Xie, R.; Ju, X.-J.; Liu, Z.; Wang, W.; Mou, C.-L.; Zhao, C.; Chen, Q.; Chu, L.-Y. pH-responsive poly(ether sulfone) composite membranes blended with amphiphilic polystyrene-block-poly(acrylic acid) copolymers. J. Membr. Sci. 2014, 450, 162–173. [Google Scholar] [CrossRef]
- Yu, H.-Y.; Li, W.; Zhou, J.; Gu, J.-S.; Huang, L.; Tang, Z.-Q.; Wei, X.-W. Thermo- and pH-responsive polypropylene microporous membrane prepared by the photoinduced RAFT-mediated graft copolymerization. J. Membr. Sci. 2009, 343, 82–89. [Google Scholar] [CrossRef]
- Ying, L.; Wang, P.; Kang, E.T.; Neoh, K.G. Synthesis and characterization of poly (acrylic acid)-graft-poly(vinylidene fluoride) copolymers and pH-sensitive membranes. Macromolecules 2002, 35, 673–679. [Google Scholar] [CrossRef]
- Gudeman, L.F.; Peppas, N.A. pH-sensitive membranes from poly (vinyl alcohol)/ poly (acrylic acid) interpenetrating networks. J. Membr. Sci. 1995, 107, 239–248. [Google Scholar] [CrossRef]
- Malatjie, K.I.; Mbuli, B.S.; Moutloali, R.M.; Ngilia, C.J. An in-situ incorporation of acrylic acid and ZnO nanoparticles into polyamide thin film composite membranes for their effect on membrane pH responsive behavior. Membranes 2021, 11, 910. [Google Scholar] [CrossRef]
- Yue, C.; Zhang, G. Calcium ion crosslinked sodium alginate coated PVDF membrane for improved smart pH-responsive properties. J. Environ. Chem. Eng. 2022, 10, 108684. [Google Scholar] [CrossRef]
- Ye, H.; Gao, C.; Yang, G.; Zhou, Y.; Jiao, R.; Zhang, Y.; Zhao, L.; Xin, Q.; Li, H. Dual-gating pH-responsive membranes with the heterogeneous structure for whey protein fractionation. J. Membr. Sci. 2022, 641, 119849. [Google Scholar] [CrossRef]
- Kurada, K.V.; Muikherjee, M.; De, S. Permeability hysteresis of polypyrrole-polysulfone blend ultrafiltration membranes: Study of phase separation thermodynamics and pH responsive membrane properties. Sep. Purif. Technol. 2019, 227, 115736. [Google Scholar] [CrossRef]
- Liu, H.; Zhu, J.; Hao, L.; Jiang, Y.; Bruggen, B.; Sotto, A.; Gao, C.; Shen, J. Thermo- and pH-responsive graphene oxide membranes with tunable nanochannels for water gating and permeability of small molecules. J. Membr. Sci. 2019, 587, 117163. [Google Scholar] [CrossRef]
- Mondal, P.; Samanta, N.S.; Meghnani, V.; Purkait, M.K. Selective glucose permeability in presence of various salts through tunable pore size of pH responsive PVDF-co-HFP membrane. Sep. Purif. Technol. 2019, 221, 249–260. [Google Scholar] [CrossRef]
- Fan, X.-X.; Xie, R.; Zhao, Q.; Li, X.-Y.; Ju, X.-J.; Wnag, W.; Liu, Z.; Chu, L.-Y. Dual pH-responsive smart gating membranes. J. Membr. Sci. 2018, 555, 20–29. [Google Scholar] [CrossRef]
- Weng, X.-D.; Bao, X.-J.; Jiang, H.-D.; Chen, L.; Ji, Y.-L.; An, Q.-F.; Gao, C.-J. pH-responsive nanofiltration membranes containing carboxybetaine with tunable ion selectivity for charge-based separations. J. Membr. Sci. 2016, 520, 294–302. [Google Scholar] [CrossRef]
- Masawaki, T.; Taya, M.; Tone, S. Evaluation of molecular weight cut-off profiles of pH-responsive ultrafiltration membranes prepared under various casting conditions. J. Chem. Eng. Japan 1996, 29, 180–183. [Google Scholar] [CrossRef]
- Sato, T.; Ogino, R.; Makino, K.; Itoh, N. pH-responsive permeation in packed layers of polyacrylic acid-coated alumina particles. J. Chem. Eng. Jpn. 2022, 55, 193–200. [Google Scholar] [CrossRef]
- Solís-Gómez, A.; Neira-Velázquez, M.G.; Morales, J.; Sánchez-Castillo, M.A.; Pérez, E. Improving stability of TiO2 particles in water by RF-plasma polymerization of poly(acrylic acid) on the particle surface. Colloids Surf. A Physicochem. Eng. Asp. 2014, 451, 66–74. [Google Scholar] [CrossRef]
- Zhang, S.; Zhou, Y.; Nie, W.Y.; Song, L.Y. Preparation of Fe3O4/chitosan/poly(acrylic acid) composite particles and its application in adsorbing copper ion (II). Cellulose 2012, 19, 2081–2091. [Google Scholar] [CrossRef]
- Suzuki, K.; Siddiqui, S.; Chappell, C.; Siddiqui, J.A.; Ottenbrite, R.M. Modification of porous silica particles with poly(acrylic acid). Polym. Adv. Technol. 2000, 11, 92–97. [Google Scholar] [CrossRef]
- Heikkinen, J.J.; Heiskanen, J.P.; Hormi, O.E.O. Grafting of functionalized silica particles with poly(acrylic acid). Polym. Adv. Technol. 2006, 17, 426–429. [Google Scholar] [CrossRef]
- Tamura, H.; Oda, T.; Nagayama, M.; Furuichi, R. Acid-base dissociation of surface hydroxy groups on manganese dioxide in aqueous solutions. J. Electrochem. Soc. 1989, 136, 2782–2786. [Google Scholar] [CrossRef]
- Dean, J.A. Lange’s Handbook of Chemistry, 15th ed.; McGraw-Hill, Inc.: New York, NY, USA, 1999. [Google Scholar]










| Compound | Formula | Molecular Weight (g/mol) | pKa |
|---|---|---|---|
| Acetic acid | CH3COOH | 60.05 | 4.756 |
| Lactic acid | CH3CH(OH)COOH | 90.08 | 3.858 |
| Phenol | (C6H5)OH | 94.11 | 9.99 |
| Caffeine | C5HO2N4(CH3)3 | 194.19 | 10.4 |
| Species | Permeance (m/s) | ||
|---|---|---|---|
| pH 1.1 | pH 2.9 | pH 8.1 | |
| Acetic acid 1 | 2.16 × 10−7 | 8.82 × 10−8 | 0 |
| Phenol 1 | 4.10 × 10−7 | 3.01 × 10−7 | 2.72 × 10−7 |
| Caffeine 2 | 1.41 × 10−7 | 7.94 × 10−8 | 4.19 × 10−8 |
Disclaimer/Publisher’s Note: The statements, opinions and data contained in all publications are solely those of the individual author(s) and contributor(s) and not of MDPI and/or the editor(s). MDPI and/or the editor(s) disclaim responsibility for any injury to people or property resulting from any ideas, methods, instructions or products referred to in the content. |
© 2023 by the authors. Licensee MDPI, Basel, Switzerland. This article is an open access article distributed under the terms and conditions of the Creative Commons Attribution (CC BY) license (https://creativecommons.org/licenses/by/4.0/).
Share and Cite
Sato, T.; Makino, K.; Tamesue, S.; Ishiura, G.; Itoh, N. Preparation and Permeation Properties of a pH-Responsive Polyacrylic Acid Coated Porous Alumina Membrane. Membranes 2023, 13, 82. https://doi.org/10.3390/membranes13010082
Sato T, Makino K, Tamesue S, Ishiura G, Itoh N. Preparation and Permeation Properties of a pH-Responsive Polyacrylic Acid Coated Porous Alumina Membrane. Membranes. 2023; 13(1):82. https://doi.org/10.3390/membranes13010082
Chicago/Turabian StyleSato, Takafumi, Kotomi Makino, Shingo Tamesue, Gakuto Ishiura, and Naotsugu Itoh. 2023. "Preparation and Permeation Properties of a pH-Responsive Polyacrylic Acid Coated Porous Alumina Membrane" Membranes 13, no. 1: 82. https://doi.org/10.3390/membranes13010082
APA StyleSato, T., Makino, K., Tamesue, S., Ishiura, G., & Itoh, N. (2023). Preparation and Permeation Properties of a pH-Responsive Polyacrylic Acid Coated Porous Alumina Membrane. Membranes, 13(1), 82. https://doi.org/10.3390/membranes13010082
