Investigating the Degradation of EUV Transmittance of an EUV Pellicle Membrane
Abstract
1. Introduction
2. Materials and Methods
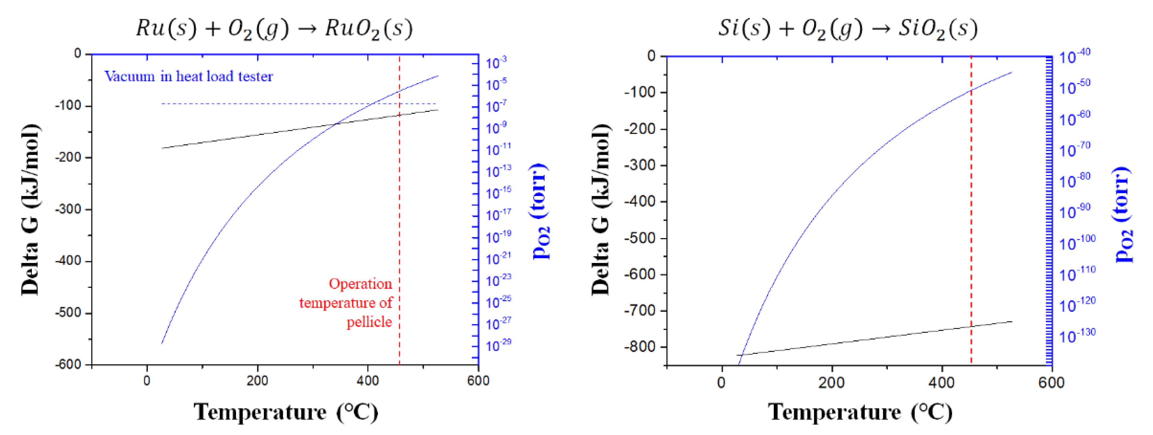
3. Results and Discussion
4. Conclusions
Author Contributions
Funding
Institutional Review Board Statement
Conflicts of Interest
References
- Miyazaki, J.; Yen, A. EUV Lithography Technology for High-volume Production of Semiconductor Devices. J. Photopolym. Sci. Technol. 2019, 32, 195–201. [Google Scholar] [CrossRef]
- Mastenbroek, M. EUV industrialization High Volume Manufacturing with NXE3400B; SPIE: Bellingham, WA, USA, 2018; Volume 10809. [Google Scholar]
- van de Kerkhof, M.; Klein, A.; Vermeulen, P.; van der Woord, T.; Donmez, I.; Salmaso, G.; Maas, R. High-Transmission EUV Pellicles Supporting >400W Source Power; SPIE: Bellingham, WA, USA, 2022; Volume 12051. [Google Scholar]
- Lafarre, R.; Maas, R. Progress on EUV Pellicle and Pellicle Infrastructure for High Volume Manufacturing; SPIE: Bellingham, WA, USA, 2021; Volume 11609. [Google Scholar]
- Pollentier, I.; Lee, J.U.; Timmermans, M.; Adelmann, C.; Zahedmanesh, H.; Huyghebaert, C.; Gallagher, E. Novel Membrane Solutions for the EUV Pellicle: Better or Not; SPIE: Bellingham, WA, USA, 2017; Volume 10143. [Google Scholar]
- Kim, J.; Kim, H.; Ahn, J. Impact of residual stress on the deflection of extreme ultraviolet pellicles. J. Micro/Nanopatterning Mater. Metrol. 2021, 20, 024401. [Google Scholar] [CrossRef]
- Wi, S.J.; Jang, Y.J.; Kim, H.; Cho, K.; Ahn, J. Investigation of the Resistivity and Emissivity of a Pellicle Membrane for EUV Lithography. Membranes 2022, 12, 367. [Google Scholar] [CrossRef] [PubMed]
- Brouns, D.; Broman, P.; van der Horst, J.-W.; Lafarre, R.; Maas, R.; Modderman, T.; Notermans, R.; Salmaso, G. ASML NXE Pellicle Update; SPIE: Bellingham, WA, USA, 2019; Volume 11178. [Google Scholar]
- Thornton, J.A. The microstructure of sputter-deposited coatings. J. Vac. Sci. Technol. A Vac. Surf. Film. 1986, 4, 3059–3065. [Google Scholar] [CrossRef]
- Messier, R.; Giri, A.P.; Roy, R.A. Revised structure zone model for thin film physical structure. J. Vac. Sci. Technol. A Vac. Surf. Film. 1984, 2, 500–503. [Google Scholar] [CrossRef]
- Mehrer, H. Diffusion in Solids: Fundamentals, Methods, Materials, Diffusion-Controlled Processes; Springer Science & Business Media: Berlin/Heidelberg, Germany, 2007; Volume 155. [Google Scholar]
- Goldfarb, D. Fabrication of a Full-Size EUV Pellicle Based on Silicon Nitride; SPIE: Bellingham, WA, USA, 2015; Volume 9635. [Google Scholar]
- Zwol, P.J.v.; Vles, D.F.; Voorthuijzen, W.P.; Péter, M.; Vermeulen, H.; Zande, W.J.v.d.; Sturm, J.M.; Kruijs, R.W.E.v.d.; Bijkerk, F. Emissivity of freestanding membranes with thin metal coatings. J. Appl. Phys. 2015, 118, 213107. [Google Scholar] [CrossRef]
- van Zwol, P.J.; Nasalevich, M.; Voorthuijzen, W.P.; Kurganova, E.; Notenboom, A.; Vles, D.; Peter, M.; Symens, W.; Giesbers, A.J.M.; Klootwijk, J.H.; et al. Pellicle Films Supporting the Ramp to HVM with EUV; SPIE: Bellingham, WA, USA, 2017; Volume 10451. [Google Scholar]
- Kim, Y.W.; Woo, D.G.; Ahn, J. Performance of Extreme Ultraviolet Coherent Scattering Microscope. J. Nanosci. Nanotechnol. 2019, 19, 6463–6467. [Google Scholar] [CrossRef] [PubMed]
- Woo, D.G.; Lee, J.U.; Hong, S.C.; Kim, J.S.; Ahn, J. Coherent scattering microscopy as an effective inspection tool for analyzing performance of phase shift mask. Opt. Express 2016, 24, 12055–12062. [Google Scholar] [CrossRef] [PubMed]
- Kaiser, N. Review of the fundamentals of thin-film growth. Appl. Opt. 2002, 41, 3053–3060. [Google Scholar] [CrossRef] [PubMed]
- Qadir, K.; Joo, S.H.; Mun, B.S.; Butcher, D.R.; Renzas, J.R.; Aksoy, F.; Liu, Z.; Somorjai, G.A.; Park, J.Y. Intrinsic relation between catalytic activity of CO oxidation on Ru nanoparticles and Ru oxides uncovered with ambient pressure XPS. Nano Lett. 2012, 12, 5761–5768. [Google Scholar] [CrossRef] [PubMed]
- Coloma Ribera, R.; van de Kruijs, R.W.E.; Kokke, S.; Zoethout, E.; Yakshin, A.E.; Bijkerk, F. Surface and sub-surface thermal oxidation of thin ruthenium films. Appl. Phys. Lett. 2014, 105, 131601. [Google Scholar] [CrossRef]
- Coloma Ribera, R. Growth and Thermal Oxidation of Ru and ZrO2 Thin Films as Oxidation Protective Layers. Ph.D Thesis. University of Twente, Enschede, Netherlands, 1 March 2017. [Google Scholar] [CrossRef]
- Ernst, M.A.; Sloof, W.G. Unraveling the oxidation of Ru using XPS. Surf. Interface Anal. 2008, 40, 334–337. [Google Scholar] [CrossRef]
- Morgan, D.J. Resolving ruthenium: XPS studies of common ruthenium materials. Surf. Interface Anal. 2015, 47, 1072–1079. [Google Scholar] [CrossRef]
- Ingo, G.M.; Zacchetti, N.; della Sala, D.; Coluzza, C. X-ray photoelectron spectroscopy investigation on the chemical structure of amorphous silicon nitride (a-SiNx). J. Vac. Sci. Technol. A Vac. Surf. Film. 1989, 7, 3048–3055. [Google Scholar] [CrossRef]
- Poon, M.C.; Kok, C.W.; Wong, H.; Chan, P.J. Bonding structures of silicon oxynitride prepared by oxidation of Si-rich silicon nitride. Thin Solid Film. 2004, 462–463, 42–45. [Google Scholar] [CrossRef]
- Cova, P.; Poulin, S.; Grenier, O.; Masut, R.A. A method for the analysis of multiphase bonding structures in amorphous SiOxNy films. J. Appl. Phys. 2005, 97, 073518. [Google Scholar] [CrossRef]
- Kärcher, R.; Ley, L.; Johnson, R.L. Electronic structure of hydrogenated and unhydrogenated amorphousSiNx (0 ≤ x ≤ 1.6): A photoemission study. Phys. Rev. B 1984, 30, 1896–1910. [Google Scholar] [CrossRef]
- Gaskell, D.R.; Laughlin, D.E. Introduction to the Thermodynamics of Materials; CRC Press: Boca Raton, FL, USA, 2017. [Google Scholar]
- O′Neill, H.S.C.; Nell, J. Gibbs free energies of formation of RuO2, IrO2, and OsO2: A high-temperature electrochemical and calorimetric study. Geochim. Cosmochim. Acta 1997, 61, 5279–5293. [Google Scholar] [CrossRef]
- Wu, H. Oxygen Diffusion through Titanium and other HCP Metals; University of Illinois at Urbana-Champaign: Champaign, IL, USA, 2013. [Google Scholar]
- X-ray Interactions with Matter. Available online: https://henke.lbl.gov/opticalconstants/ (accessed on 18 March 2021).






Disclaimer/Publisher’s Note: The statements, opinions and data contained in all publications are solely those of the individual author(s) and contributor(s) and not of MDPI and/or the editor(s). MDPI and/or the editor(s) disclaim responsibility for any injury to people or property resulting from any ideas, methods, instructions or products referred to in the content. |
© 2022 by the authors. Licensee MDPI, Basel, Switzerland. This article is an open access article distributed under the terms and conditions of the Creative Commons Attribution (CC BY) license (https://creativecommons.org/licenses/by/4.0/).
Share and Cite
Wi, S.J.; Jang, Y.J.; Lee, D.G.; Kim, S.Y.; Ahn, J. Investigating the Degradation of EUV Transmittance of an EUV Pellicle Membrane. Membranes 2023, 13, 5. https://doi.org/10.3390/membranes13010005
Wi SJ, Jang YJ, Lee DG, Kim SY, Ahn J. Investigating the Degradation of EUV Transmittance of an EUV Pellicle Membrane. Membranes. 2023; 13(1):5. https://doi.org/10.3390/membranes13010005
Chicago/Turabian StyleWi, Seong Ju, Yong Ju Jang, Dong Gi Lee, Seon Yong Kim, and Jinho Ahn. 2023. "Investigating the Degradation of EUV Transmittance of an EUV Pellicle Membrane" Membranes 13, no. 1: 5. https://doi.org/10.3390/membranes13010005
APA StyleWi, S. J., Jang, Y. J., Lee, D. G., Kim, S. Y., & Ahn, J. (2023). Investigating the Degradation of EUV Transmittance of an EUV Pellicle Membrane. Membranes, 13(1), 5. https://doi.org/10.3390/membranes13010005

