Abstract
This work investigated the long-term hydrothermal performance of composite carbon-SiO2-ZrO2 membranes. A carbon-SiO2-ZrO2 composite was formed from the inert pyrolysis of SiO2-ZrO2-polybenzoxazine resin. The carbon-SiO2-ZrO2 composites prepared at 550 and 750 °C had different surface and microstructural properties. A carbon-SiO2-ZrO2 membrane fabricated at 750 °C exhibited H2 selectivity over CO2, N2, and CH4 of 27, 139, and 1026, respectively, that were higher than those of a membrane fabricated at 550 °C (5, 12, and 11, respectively). In addition to maintaining high H2 permeance and selectivity, the carbon-SiO2-ZrO2 membrane fabricated at 750 °C also showed better stability under hydrothermal conditions at steam partial pressures of 90 (30 mol%) and 150 kPa (50 mol%) compared with the membrane fabricated at 500 °C. This was attributed to the complete pyrolytic and ceramic transformation of the microstructure after pyrolysis at 750 °C. This work thus demonstrates the promise of carbon-SiO2-ZrO2 membranes for H2 separation under severe hydrothermal conditions.
1. Introduction
Due to energy security and environmental concerns [1,2], hydrogen has been considered as both a clean and renewable source of energy to replace fossil fuels [3,4,5]. Hydrogen possesses a high energy density and the ability to form covalent bonds with other elements (such as nitrogen) for easy storage, transportation, and feedstock for other industrial chemical processes [5,6]. Hydrogen can electrochemically combine with oxygen from air in fuel cells to generate electricity with clean H2O effluent [5,7]. Hydrogen can be generated from the chemical conversion of some hydrocarbon compounds. An advantage of this production route is the ability to produce hydrogen on a large scale and subsequently convert it to a transportable form in integrated chemical plants. Equations (1)–(4) show examples of important chemical reactions, which involve dehydrogenation and steam reforming of hydrocarbons.
Dehydrogenation of propane
C3H8 ↔ C3H6 + H2
Methane steam reforming
CH4 + 2H2O ↔ CO2 + 4H2
Ethanol steam reforming
C2H5OH + 3H2O ↔ 2CO2 + 6H2
Dehydrogenation of methyl cyclohexane
C6H11CH3 ↔ C6H5CH3 + 3H2
Separation of hydrogen from other side product species, unreacted reactants, and intermediate reaction species is important. Table S1 presents a comparison of popular H2 separation technologies, which include pressure swing adsorption (PSA), cryogenic distillation [8,9,10], and the recently developed inexpensive and energy-efficient membrane-separation processes [9,10]. Membranes for H2 separation have been widely reviewed [9,11,12] and membranes with H2 permeability of 1000 Barrer and H2/X selectivity ≥ 100 are desired [12]. Studies on ceramic membranes derived from SiO2 have highlighted their promise in this quest [9,11]. However, maintaining such high performance under hydrothermal conditions has been one of the major problems facing H2 separation membranes [13,14,15]. For example, Lin et al. reported that SiO2 membranes exposed to 50 mol% of steamed atmosphere at 600 °C for 30 h exhibited losses of 48 and 77% in specific surface area and pore volume, respectively [13]. Lin’s group also reported similar effects on ZrO2, TiO2 and Al2O3-derived membranes [14]. These structural changes are deemed to be due to the rearrangement of networks initiated from hydrolysis by water vapor and from a subsequent recondensation of the formed -OH groups [16].
Carbonized ceramic membranes have been proposed as promising candidates that could perform long-term under hydrothermal conditions for hydrogen production. Duke and co-workers found that the carbonization of surfactant-templated silica (hexyl trimethyl ammonium bromide–silica) improved the hydrothermal stability of a silica membrane quite significantly [17,18]. The amorphous carbon nanoparticles that formed inhibited the silanol (-Si-OH) migration and condensation that results in closure of the microporous structure. In addition to this, the presence of the carbon nanoparticles also served to increase the pore volume required for enhanced H2 permeability [17,19]. However, the surfactant carbonization route did not allow pore size tuning of the silica structure for targeted applications [17].
Another method for the carbonization of ceramic networks involves the use of organic coordination ligands to form coordinate complexes where the precursor to be modified is a transition metal ion compound [20,21,22]. Molecular sieving membranes were successfully fabricated by using an acetylacetone ligand to modify SiO2-ZrO2 [23], and the fabrication of hydrogen-selective carbon-SiO2-ZrO2 membranes was later studied by pyrolysis of the acetylacetone ligand at 550 °C [19,24]. Carbon-SiO2-ZrO2 membranes have shown promise for high-temperature H2/CO2 separation performance [24], whereas the lower pyrolysis temperature of acetylacetone and its non-thermosetting properties prevents the formation of molecular sieving that is required in hydrothermal applications at much higher temperatures. Therefore, the fabrication of a hydrothermally stable and molecular sieving carbon-SiO2-ZrO2 membrane required a better carbon precursor. In a more recent work, we studied the novel use of a traditional thermosetting group of organic compounds known as benzoxazines as the chelating ligand for the modification and carbonization of the SiO2-ZrO2 network [25]. A carboxylic benzoxazine (3-(3-oxo-1,4-benzoxazin-4-yl) propanoic acid) possessing a hydroxylated nucleophilic carboxyl group was specifically chosen as the chelating ligand. This enabled the formation of a composite SiO2-ZrO2-polybenzoxazine resin material that was used to fabricate thin carbon-SiO2-ZrO2 membranes with molecular sieving performances that could be tuned via pyrolysis temperature. H2/SF6 and H2/CH4 selectivity ranged from 102 to 104 and from 10 to 102, respectively, depending on pyrolysis temperatures that ranged between 300 and 850 °C [25]. The wide range of the pyrolysis temperature for this SiO2-ZrO2-polybenzoxazine (SZ-PB) resin presented an opportunity for the fabrication of carbon–ceramic composite membranes at higher than the application temperatures that are usually required for a stable performance.
In this work, we therefore investigated the long-term hydrothermal applications of SiO2-ZrO2-polybenzoxazine-derived carbon-SiO2-ZrO2 (C-SZ) membranes. First, we established an improved formation strategy for the preparation of SiO2-ZrO2-polybenzoxazine preceramic resin. The effects of the pyrolysis temperature of SiO2-ZrO2-polybenzoxazine at 550 and 750 °C on the resulting C-SZ surface properties and microstructure were studied and supported with various characterizations. Hydrothermal stability experiments were carried out to evaluate membrane properties at specific intervals. H2O + N2 mixtures (90 and 150 kPa partial pressure of steam) were fed to the membranes at 500 °C for several hours until steady permeance was observed. Membrane permeation properties before and after each steam treatment experiment were then compared to evaluate the progress of hydrothermal stability. Herein we propose mechanisms to explain the observed results.
2. Experimental Section
2.1. Materials
A precursor resin sol was prepared via a sol–gel process. Vinyltrimethoxysilane (VTMS; JNC Co. Ltd., Tokyo, Japan; 98% purity) was used as the silica precursor while zirconium n-butoxide (ZrTB; Sigma-Aldrich Japan, Tokyo, Japan; 80% in butanol) served as the zirconia precursor. 3-(3-oxo-1,4-benzoxazin-4-yl) propanoic acid (BZPA; Sigma-Aldrich Japan, Tokyo, Japan; 99%) was utilized as a chelating ligand for ZrTB modification. The solvent medium used to carry out the reactions was composed of a 50:50 mixture of dimethyl carbonate (DMC; Nacalai Tesque, Kyoto, Japan) and ethanol (EtOH; Sigma-Aldrich). In the sol–gel reactions, hydrochloric acid (HCl; Nacalai Tesque, Kyoto, Japan; 37% pure) served as the catalyst for hydrolysis. Dibenzoyl peroxide (BzO2; Sigma-Aldrich Japan, Tokyo, Japan) was used as a radical initiator during thermal curing. All materials were used as received without further purification.
2.2. Preparation of SiO2-ZrO2-Polybenzoxzine (SZ-PB) Precursor Resin Sol and of Carbon-SiO2-ZrO2 (C-SZ) Films, Powders, and Membranes
First, 2 wt% of SZ-PB was prepared in two stages. In the first stage, ZrTB dissolved in equal parts DMC and ethanol was modified via a reaction with BZPA (BZPA/ZrTB molar ratio 4:1) for one hour at room temperature. In the second stage, a solution of VTMS in equal parts DMC and ethanol was then co-hydrolyzed with the BZPA-modified ZrTB (Si/Zr molar ratio 9:1) using deionized water (H2O/alkoxide molar ratio 4) and HCl as a catalyst (H+/alkoxide molar ratio, 1:4). To accomplish hydrolysis and poly-condensation, the mixture was stirred at 600 rpm for more than 12 h at room temperature.
After the hydrolysis and polycondensation reactions, dibenzoyl peroxide (BzO2) was added (radical initiator/BZPA molar ratio 0.1) as a curing agent. The resulting sol was thermally cured dropwise in a platinum plate heated to 200 °C to obtain the SZ-PB preceramic resin gel. Carbon-SiO2-ZrO2 powders were then prepared from the SZ-PB preceramic resin gel via pyrolysis at 300 to 850 °C under a N2 stream (600 mL min−1) for 30 min.
Carbon-SiO2-ZrO2 (C-SZ) carbon–ceramic membranes were fabricated by hot-coating the SZ-PB resin sol diluted to 0.25 wt% onto a prefabricated substrate support (Figure S1) preheated to 200 °C followed by pyrolysis at the desired final temperature as shown by the sequence in Figure S2. Two kinds of membranes were fabricated for this work according to the final pyrolysis temperature: C-SZ550 and C-SZ750 with final pyrolysis temperatures of 550 and 750 °C, respectively.
2.3. Characterization of SiO2-ZrO2-Polybenzoxzine-Derived and Carbon-SiO2-ZrO2 Films, Powders, and Membranes
The presence and transformation of structural moieties in thin films supported on UV-treated Si-wafers were monitored using Fourier Transform-Infrared spectroscopy (FT-IR, FTIR-4100, JASCO, Tokyo, Japan). Water contact angle measurements were carried out on films coated on Si-wafers and measured at room temperature with 0.1 μL drops (Dropmaster DM 300, Kyowa Interface Science Co. Ltd., Saitama, Japan). The decomposition properties of the SZ-PB resin gels and C-SZ powders were analyzed and monitored using thermogravimetry (DTG-60 Shimadzu Co., Kyoto, Japan) and mass spectroscopy-supported thermogravimetry (TG-MS, TGA-DTA-PIMS 410/S, Rigaku, Tokyo, Japan). The presence and the chemical states of constituent atoms were confirmed using X-ray photoelectron spectroscopy (XPS; Shimadzu Co., Kyoto, Japan). The cross-section morphology and the elemental analysis of the carbon–ceramic membrane were examined via Field Emission-Scanning Electron Microscopy (FE-SEM, Hitachi S-4800, Tokyo, Japan). Prior to examination, carefully cut pieces of the membrane were attached to sample holders via carbon tape and vacuum-dried at 50 °C for 24 h. Furthermore, N2 sorption of powders was analyzed at −196 °C using BELMAX sorption equipment (Microtrac Bell Co. Ltd., Osaka, Japan). Prior to this measurement, adsorbed gases and vapors were evacuated from the samples at 200 °C for at least 12 h.
2.4. Evaluation of Gas Permeance and Hydrothermal Stability
Figure 1 shows a flow diagram of the set-up for evaluating the membrane permeation characteristics and for hydrothermal stability testing. After fabrication, a C-SZ membrane was inserted into the membrane module in the permeation measurement rig at 300 °C under a moderate helium flow of 100 mL min−1 for about 12 h to remove the adsorbed vapor and for membrane post-treatment. Single-gas permeation tests of the membranes were carried out using high-purity gases (H2, He, CO2, N2, CH4, CF4, and SF6—in that order). Each gas was fed to the upstream of the membrane module at 200–500 kPa of absolute pressure under temperatures ranging from 50 to 500 °C. Permeate side pressure was kept at atmospheric pressure and the permeate gas flow was measured using a bubble film flow meter (HORIBA-STEC, Horiba Ltd., Kyoto, Japan). The gas permeance (mol m−2 s−1 Pa−1) was then calculated by dividing the measured permeate flow rate by the product of the membrane effective surface area and the transmembrane pressure difference. It should be noted that the range of observed experimental error based on precision for the measured flow rates of gases was controlled to within ±5%.
Figure 1.
Schematic flow diagram of the membrane evaluation set-up.
Hydrothermal stability tests were carried out at 500 °C by feeding the H2O + N2 mixture to the membrane module such that the partial pressures of steam were 90 and 150 kPa making up 30 and 50 mol% of the mixtures, respectively. Water was pumped from a tank at a steady rate using a liquid chromatography pump and was then vaporized before mixing with N2 in a mixer. A stage cut (ratio of the permeate flow rate to the feed flow rate) of lower than 0.167 was maintained. The compositions of the feed, retentate and permeate streams were analyzed by employing the mass balance of the H2O-N2 binary system. To evaluate the transmembrane pressure-drop of each component, the logarithmic mean pressure difference (ΔPi,lm) was applied (Equation (5)).
In Equation (5), ΔPi,in and ΔPi,out represent the difference in partial pressures of component i between the retentate side and the permeate side at the inlet and outlet of the module, respectively, that is ΔPi,in = Pi (feed side inlet) − Pi (permeate side inlet) and ΔPi,out = Pi (feed side outlet) − Pi (permeate side outlet).
3. Results and Discussion
3.1. Thermal Crosslinking of SiO2-ZrO2-Polybenzoxazine and Carbon-SiO2-ZrO2 Formation
In our previous work, the successful formation of a polybenzoxazine-modified SiO2-ZrO2 was established [25]. The resin of a SiO2-ZrO2 and polybenzoxazine inorganic-organic hybrid was formed from vinyl trimethoxysilane (VTMS), zirconium n-butoxide (ZrTB), and a benzoxazine compound 3-(3-oxo-1,4-benzoxazin-4-yl) propanoic acid (BZPA) precursors. The polymerization of benzoxazines is commonly accomplished by various methods including organic radical initiation, cationic radical initiation, and thermal polymerization [26]. The SiO2-ZrO2-polybenzoxazine hybrid was formed by curing at a relatively low temperature of 90 °C, which allowed the opening and propagation of an oxazine ring in the presence of a dibenzoyl peroxide organic radical initiator. However, the curing of benzoxazines is known to improve at temperatures well above 90 °C [27,28]. Hence, in the current work, a curing temperature of 200 °C was applied. Figure 2 shows a schematic representation of the idealized stages in the formation of a highly cured SiO2-ZrO2-polybenzoxazine. With the help of a radical initiator, the oxazine ring opens to form a tri-substituted benzene ring during stage 1 bonding to phenolic -OH and to a dangling -C-N-C- branch. Subsequent thermal application result in a curing process involving the crosslinking of the opened oxazine and the vinyl groups during stage 2.
Figure 2.
Schematic representation of the thermal crosslinking of the vinyl group of VTMS and of the oxazine ring of BZPA in a SiO2-ZrO2-polybenzoxzine hybrid.
This formation model was confirmed using ATR-assisted Fourier Transform Infrared Spectroscopy (FT-IR) to observe any appearance or disappearance of chemical moieties at each formation stage. Figure 3 shows the FTIR spectra of a SiO2-ZrO2-polybenzoxazine resin before and after thermal curing at 90 and 200 °C. At first, the spectrum of the fresh as-prepared film was measured as a control, as shown in Figure 3 (black line spectrum), and the peaks arising from the different moieties can be observed in the figure. After hydrolysis and condensation reactions, dibenzoyl peroxide (BzO2) radical initiator was added to the prepared sol. Peaks representing the dibenzoyl peroxide appeared at 1766 and 1226 cm−1. After curing the sol at 90 °C over a 4–5-day period, a gel-like resin formed and the FTIR spectra (red line) revealed that the 90 °C-cured resin showed a spectrum similar to that of the fresh as-prepared sample with the only difference being the disappearance of the BzO2 peaks. This indicates that either the curing process did not proceed at 90 °C or it only occurred to a very minimal degree.
Figure 3.
FTIR spectra of SiO2-ZrO2-polybenzoxzine before and after thermal curing at 90 (red line) and 200 °C (blue line).
Curing at a higher temperature was attempted by directly drying the as-prepared SiO2-ZrO2-benzoxazine sol at 200 °C. The FTIR profile of the resulting resin shown in Figure 3 (blue line spectrum) reveals the disappearance and appearance of certain peaks. The C=C peak at wavenumber 1603 cm−1 was ascribed to the vinyl group of VTMS and was significantly reduced in intensity along with the peak belonging to the BZPA ligand at 1688 cm−1. New peaks simultaneously appeared at several points indicating the formation of new moieties: 1223; 1741; 2854; and 2926 cm−1 [28]. Both sets of observations may indicate the curing process involving a crosslinking of vinyl and opened oxazine rings since polymerizable moieties belonging to VTMS and BZPA were consumed simultaneously.
The SiO2-ZrO2-polybenzoxazine resin cured at 200 °C was pyrolyzed to form carbon-SiO2-ZrO2. The inert calcination of the SiO2-ZrO2-polybenzoxzine resin resulted in a decomposition of the polymer chain into a sp2 type of carbon and the ceramic transformation of the -C-Si-O-Zr- phase to form a carbon-SiO2-ZrO2 composite [25]. Figure 4a shows the thermogravimetric (TG) profile of SiO2-ZrO2-polybenzoxzine decomposition under an inert atmosphere. There was an onset of decomposition at 200 °C, which continued with a sharp decline until about 500 °C indicating the breakdown of the organic polymer chain into volatile products. The rate of weight loss beyond 500 °C became slight until 1000 °C was reached. In this range of temperatures, weight loss could be attributed to the process of carbonization whereby carbon was converted into sp2 from sp3 forms [25,29,30].
Figure 4.
(a) Thermogravimetric analysis (TG) of the decomposition under a N2 atmosphere of SiO2-ZrO2-polybenzoxzine resin cured at 200 °C. (b) Thermogravimetric analysis and mass spectrometry (TG-MS) of the decomposition under an oxidative atmosphere of the non-volatile residue derived following the TG procedure in (a).
The non-volatile residue obtained at 1000 °C after the TG analysis was then subjected to further thermogravimetric analysis under an oxidative atmosphere (He + O2 mixture; 20.2% O2 by volume) accompanied by mass spectrometry, as shown in Figure 4b. This was performed to quantitatively prove the presence of free carbon in the carbon-SiO2-ZrO2 obtained after pyrolysis of the SiO2-ZrO2-polybenzoxzine hybrid. After exposure of the sample to the oxidative gas mixture, no weight loss was observed up to 500 °C. This suggests that below 500 °C the amount of free energy needed to initiate a spontaneous oxidative reaction was insufficient. Therefore, carbon-SiO2-ZrO2 should be oxidatively stable below 500 °C. However, the sample began to show a loss of weight beyond 500 °C and reached a stable value at around 700 °C. As mass spectrometry showed, the observed peak of m/z = 44 that aligned with the weight loss in the sample corresponded to the release of CO2 gas. This conclusively proves the presence of free reactive carbon that is released as CO2 in a reaction such as C(s) + O2(g) → CO2(g).
3.2. The Effect of Pyrolysis Temperature on the Microstructural, Surface, and Membrane Permeation Properties of Carbon-SiO2-ZrO2
The conversion of carbon from the sp3 state to sp2 during pyrolysis beyond 500 °C is usually accompanied by microstructural changes such as the rearrangement of graphitic sp2 carbon strands into stacked sheets, which results in improved molecular sieving properties [31,32,33]. In the current study, the microstructural change occurring during the pyrolysis of SZ-PB between 550 and 750 °C was investigated despite the small weight loss observed between these two temperatures using nitrogen adsorption–desorption measurements. Figure 5 shows the nitrogen adsorption–desorption isotherms at 77 K of C-SZ powders derived from 200 °C-cured SZ-PB resin pyrolyzed at 550 and 750 °C, where both samples showed type I isotherms characteristic of microporous materials. Compared with the C-SZ750 sample, the C-SZ550 sample adsorbed a higher amount of nitrogen, which indicates that the higher pyrolysis temperature of 750 °C resulted in a densified structure with a smaller surface area and pore width (calculated from NLDFT with pore distribution shown in Figure S4). The shrinking of the pore size with increase in the pyrolysis temperature is a common feature of polymer-derived carbon molecular sieve membranes (CMSMs), and this allows them to finely separate gas species [34,35,36].
Figure 5.
Nitrogen adsorption and desorption isotherms at 77 K of carbon-SiO2-ZrO2 (C-SZ) powders derived from 200 °C-cured SiO2-ZrO2-polybenzoxzine resins after pyrolysis at 550 and 750 °C (SBET: Bruneuer–Emmett–Teller surface area; Wpeak: peak pore width).
Examinations of the surface property differences between C-SZ550 and C-SZ750 revealed possible differences in the chemical states of the free carbon. The interaction of the surfaces with water at room temperature is a good indicator of completeness or otherwise of the pyrolysis transformation of carbon. Figure 6 shows the water adsorption isotherms of C-SZ550 and C-SZ750 powders measured at 25 °C. In carbon materials, the adsorption isotherms typically show negligible amounts of adsorbed water at low relative pressures (p/p0 of 0–0.2 typically), but rapid uptakes thereafter [37,38,39]. On the other hand, water adsorption in hydroxylated silica-based materials usually follows a type II isotherm whereby a monolayer adsorption of water occurs at lower p/p0, and there is an onset of multilayer adsorption thereafter [40,41,42]. The C-SZ550 and C-SZ750 water adsorption isotherms in Figure 6 therefore seem to show an aggregate of water adsorption isotherms in silica and carbon-based materials, and despite a smaller surface area, C-SZ750 shows a higher amount of water adsorbed compared with that by C-SZ550 (Figure 5). Moreover, C-SZ750 powders show a Langmuir-type isotherm indicating a stronger interaction with water compared with that of C-SZ550. Furthermore, in contrast to silica where hydrophobicity is achieved by removing surface silanol groups by calcination at higher temperatures [42,43], carbon-SiO2-ZrO2 materials showed an opposite trend.
Figure 6.
H2O adsorption isotherms measured at 25 °C of carbon-SiO2-ZrO2 (C-SZ) powders derived after the pyrolysis of 200 °C-cured SiO2-ZrO2-polybenzoxzine resins at 550 and 750 °C (Inset: Water-contact angles of respective carbon-SiO2-ZrO2 films).
These observations were backed up by measurements of the water-contact angles of C-SZ550 and C-SZ750 films, as shown in the insets of Figure 6. The C-SZ550 film showed a higher contact angle of 94.8° compared with that of 53.2° for C-SZ750. Based on this result, it appears that C-SZ550 film retains some of the hydrophobic moieties present in the fresh and cured films (Figure S3) that also exhibited high water-contact angles. This shows that the pyrolysis transformation of carbon was not complete at 550 °C. The reduction in the water-contact angle for C-SZ750 indicates the loss of the hydrophobic moieties, which gives rise to free stable carbon. Therefore, the choice of pyrolysis temperature in fabricated carbonized materials is important not only from the perspective of precursor weight loss, but also the chemical state of the non-volatile residue.
Thus, supported C-SZ membranes were fabricated from SZ-PB at 550 and 750 °C. The cross-sectional morphologies of the resulting supported membranes appear in Figure S5a,b, respectively, via FE-SEM. Continuous thin layers of C-SZ can be formed irrespective of the pyrolysis temperature. In addition, carbon-SiO2-ZrO2 exhibit homogeneous amorphous structures without crystalline phase segregations at both 550 and 750 °C [25]. Therefore, continuous, and uniform separation layers were formed. Figure 7 shows the kinetic diameter dependence of single-gas permeance measured at 300 °C for C-SZ550 and C-SZ750 membranes. Gases with molecular diameters ranging from 0.26 to 0.55 nm were used to probe the molecular sieving properties of the membranes: He (0.26 nm), H2 (0.289 nm), CO2 (0.33 nm), N2 (0.364 nm), CH4 (0.38 nm), CF4 (0.48 nm), and SF6 (0.55 nm). In C-SZ550 membrane, these gases showed an order of permeance (H2 > He > CO2 > CH4 > N2 > CF4 > SF6) that does not conform to the order of their molecular diameters. The anomaly in this order is specific to the higher permeance of H2 over He and CH4 over N2, respectively. This is a result of the loose pore size distribution of the C-SZ550, which allows Knudsen selectivity of H2 (2 g mol−1) over He (4 g mol−1) and that of CH4 (16 g mol−1) over N2 (28 g mol−1), respectively, due to the preference of molecular mass over molecular size [44]. As a result, only low H2 selectivity of 5, 12, and 11 were achieved over CO2, N2, and CH4, respectively. Nonetheless, the C-SZ550 membrane still showed respectable H2/CF4 and H2/SF6 permeance ratios of 210 and 2800, respectively.
Figure 7.
Single-gas permeance at 300 °C as a function of kinetic diameter for carbon-SiO2-ZrO2 membranes prepared at 550 and 750 °C.
On the other hand, the C-SZ750 membrane showed a narrower pore size distribution, which was evident by the sharp order of gas permeance (He > H2 > CO2 > N2 > CH4) that followed the order of the molecular diameters. The narrower pore size distribution of C-SZ750 compared with that of the C-SZ550 membrane agrees with observations from the nitrogen-adsorption experiment. The sharp decline in gas permeance from H2 to CO2 indicates that the C-SZ750 membrane possesses a distribution of pore sizes with the highest probability of falling between the molecular diameters of H2 and CO2. This can be attributed to the higher fabrication temperature allowing the complete pyrolytic and ceramic transformation of the carbon and -Si-O-Zr- phases to generate a narrower and denser pore structure. The result is high selectivity of H2 over CO2, N2, and CH4 of 27,139, and 1026, respectively, with H2 permeance (2.8 × 10−7 mol m−2 s−1 Pa−1) only slightly lower than that of the C-SZ550 membrane at 5.2 × 10−7 mol m−2 s−1 Pa−1 (Table S2).
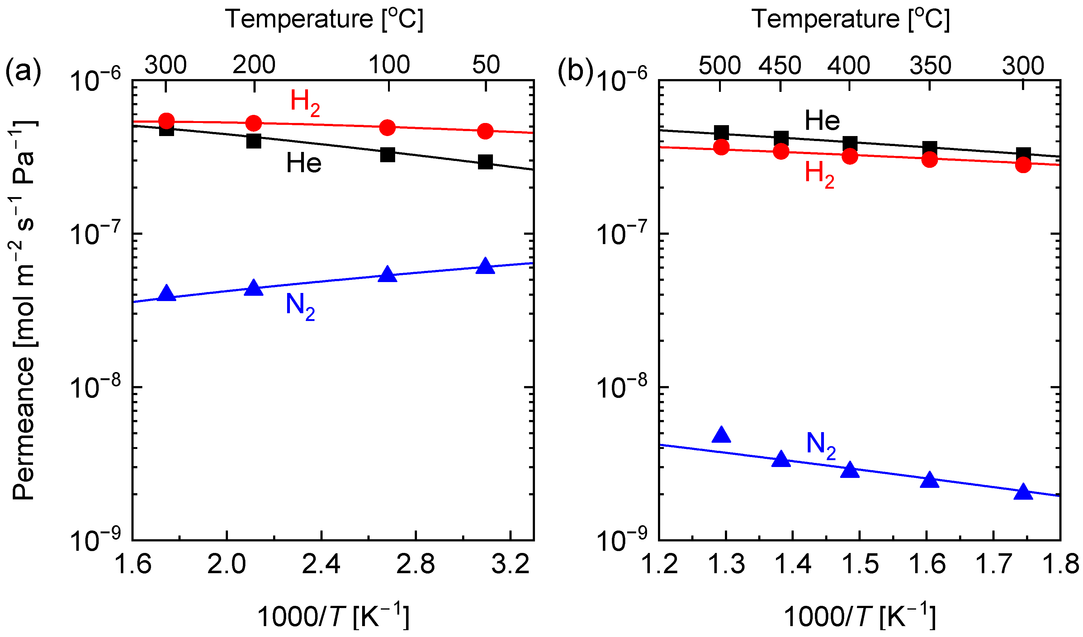
Figure 8a,b show the plots of He, H2 and N2 permeance for the C-SZ550 and C-SZ70 membranes, respectively, as a function of inverse temperature. The average pore sizes of C-SZ550 and C-SZ750 membranes were obtained using the modified-gas translational model (m-GT) proposed by Lee et al. [45], the values of which appear in Table 1 while the pore-size distributions are shown in Figure S6. The values of the apparent activation energies of He, H2, and N2 permeation were calculated using Equation (6) [46].
Figure 8.
Temperature dependence of the He, H2 and N2 permeance of carbon-SiO2-ZrO2 membranes prepared at (a) 550 and (b) 750 °C.
Table 1.
Carbon-SiO2-ZrO2 membrane properties determined from the temperature dependence of He, H2, and N2 permeance values.
In Equation (6), the pre-exponential factor expresses the combination of configurational factors of the membrane and the permeating molecule, is the apparent activation energy of permeation for a gas species, i, while is the molecular weight of the gas species, is the universal gas constant, and is the permeation temperature. The obtained values indicate that at 0.56 nm, the average pore size of the C-SZ550 membrane is larger than the molecular diameter of SF6. Thus, in Figure 8a, N2 shows a Knudsen type of permeation mechanism whereby the gas permeance reduces as permeation temperature increases, giving the apparent activation energy of −1.1 kJ mol−1, which is typical of membranes with a loose pore-size distribution. On the other hand, the permeance of both He and H2 was increased with temperature showing positive activation energies of 5.0 and 2.6 kJ mol−1, respectively (Table 1), which is indicative of activated diffusion.
The permeation of He, H2, and N2 through the C-SZ750 membrane showed an activated diffusion mechanism. The activation energies of these gases (He: 7.5 kJ mol−1, H2: 6.5 kJ mol−1, N2: 13.5 kJ mol−1) are much higher than in the C-SZ550 membrane, which supports calculations for the pore size of the C-SZ750 membrane at 0.4 nm, because a higher amount of energy is required to permeate the smaller pores of the C-SZ750 membrane. It should also be noted that the activation energy of N2 was much higher than those of He and H2 because gases with larger molecular diameters require higher amounts of energy to permeate smaller pores.
3.3. Hydrothermal Stability of Carbon-SiO2-ZrO2 Membranes
Having examined the different permeation properties of C-SZ550 and C-SZ750 membranes, hydrothermal stability tests were carried out to investigate the roles that the different microstructural and surface properties of both membranes played in their durability under steamed conditions. Figure 9 shows the time courses at 500 °C for He and N2 permeance under dry and hydrothermal conditions of 90 and 150 kPa of steam partial pressure (30 and 50 mol% steam, respectively) for the C-SZ550 membrane. After steady states of He and N2 permeance (5.4 × 10−7 and 2.1 × 10−8 mol m−2 s−1 Pa−1, respectively) were established at 500 °C, a mixture composed of 30 mol% of steam and 70 mol% of N2 was fed to the membrane until steady-state fluxes of both N2 and trapped H2O were achieved. At a steam partial pressure of 90 kPa, the steady value of N2 permeance was significantly lower than that for a dry state. This reduction in N2 permeance could have been due to the blocking effect of water molecules as both water and N2 molecules permeated the micropores. After 90 kPa of steam treatment for 23 h and complete drying of the membrane, the steady-state N2 permeance of 3.8 × 10−8 mol m−2 s−1 Pa−1 was higher than the starting permeance of 2.1 × 10−8 mol m−2 s−1 Pa−1 before hydrothermal treatment, while He permeance was only marginally increased. Therefore, an enlargement of the pores had occurred during the hydrothermal treatment. Further hydrothermal testing at 150 kPa for 9 h revealed a similar trend of reduced N2 permeance under hydrothermal conditions. However, after stable N2 and H2O permeance were achieved and the membrane was returned to the dry state, He and N2 permeance were permanently reduced to 3.8 × 10−7 and 9.8 × 10−9 mol m−2 s−1 Pa−1, respectively, from the initial dry state values. This indicates a densification of the C-SZ structure upon exposure to more severe hydrothermal conditions. Thus, it is evident that the C-SZ550 membrane was unstable during long-term hydrothermal testing.
Figure 9.
Time courses of hydrothermal stability tests at 500 °C in a mixture of H2O + N2 (90 and 150 kPa of steam partial pressure; total pressure of 300 kPa) for carbon-SiO2-ZrO2 membranes prepared at 550 °C.
The procedure carried out for the C-SZ550 membrane was repeated for the C-SZ750 membrane. Figure 10 shows the time course at 500 °C for He and N2 permeance under dry conditions and for N2 permeance under hydrothermal conditions for the C-SZ750 membrane. As with the C-SZ550 membrane, in the C-SZ750, N2 also showed a reduced permeance in the presence of steam compared with that of the dry-state. Following the removal of steam and drying for several hours, the permeance values for He and N2 (5.2 × 10−7 and 6.6 × 10−9 mol m−2 s−1 Pa−1, respectively) were unchanged compared with that before hydrothermal stability testing. After further exposure at 150 kPa steam partial pressure, the permeance values for He and N2 (5.7 × 10−7 and 7.5 × 10−9 mol m−2 s−1 Pa−1, respectively) were only slightly increased after drying and reaching a confirmed steady state. This shows a substantially more stable performance under hydrothermal conditions for the carbon-SiO2-ZrO2 membrane fabricated at 750 °C.
Figure 10.
Time courses for hydrothermal stability tests at 500 °C in a mixture of H2O + N2 (90 and 150 kPa of steam partial pressure; total pressure of 300 kPa) for carbon-SiO2-ZrO2 membranes prepared at 750 °C.
Figure 11a,b show the plots of single-gas permeance at 300 °C as a function of kinetic diameter for C-SZ550 and C-SZ750 membranes, respectively, before and after the hydrothermal stability tests under steam with partial pressures of 90 and 150 kPa. As noted from the discussion on the time course of hydrothermal stability for the C-SZ550 membrane, the permeance of N2 increased after the hydrothermal stability test at 90 kPa steam partial pressure. Figure 11a shows that the permeance values for CH4, CF4, and SF6 also increased significantly after the hydrothermal test, but the membrane continued to retain a molecular sieving property. The selectivity of H2 over N2 and CH4 was reduced from 21 to 17 and 35 to 19, respectively (Table S2). This suggests the formation of a looser pore size distribution, which allowed the permeance of large gases to increase. The permeance values for He and H2 remained largely the same as they were permeating the smaller micropores yet unaffected by the steam permeation. After the hydrothermal stability test at 150 kPa partial pressure of steam, the pore size distribution was significantly changed. The permeance values for He, H2, CO2, N2, and CH4 were reduced quite considerably while those for CF4 and SF6 were increased. The ratios of the permeance of H2 over those of N2 and CH4 were both increased to 23, due to the densification of the micropores (Table 1). However, the ratios of N2 and CH4 permeance values to those of CF4 and SF6 then approached Knudsen selectivity. This type of property is characteristic of a bimodal pore size distribution and suggests a loss of molecular sieving ability by the membrane.
Figure 11.
Single-gas permeance as a function of kinetic diameter measured at 300 °C of carbon-SiO2-ZrO2 membranes fabricated at (a) 550 and (b) 750 °C before and after hydrothermal stability tests at 500 °C with steam partial pressures of 90 and 150 kPa.
In Figure 11b, the kinetic diameter dependence of single-gas permeance in the C-SZ750 membrane before and after hydrothermal stability tests tell a different story. An ideal membrane for application in alcohol steam reforming reactions to produce CH4-free H2 must be able to maintain a H2/CH4 selectivity equal to or greater than 100 [12]. The C-SZ750 membrane not only maintained the integrity of the pore structure, but also maintained a high H2 permeance and H2/CH4 selectivity of 3.8 × 10−7 mol m−2 s−1 Pa−1 and 439, respectively, after exposure to hydrothermal conditions of 150 kPa of steam partial pressure at 500 °C.
The observations during the hydrothermal stability tests of C-SZ550 and C-SZ750 membranes were confirmed via X-ray photoelectron spectroscopic (XPS) examinations of C-SZ550 and C-SZ750 films supported on Si wafers before and after exposure to steam. Figure 12a,b show the narrow C 1s XPS spectra of C-SZ550 and C-SZ750 films, respectively, before and after steam treatment conditions of 90 kPa steam partial pressure at 500 °C for 3 h. In Figure 12a, the observed C 1s spectra (black line) of C-SZ550 before and after steam treatment can be deconvoluted into four constituent peaks each representing the status of carbon bonds. Before steam treatment, the more prominent peak at 60.5% represents the existence of sp3 hybridized carbon with only 5.5% of sp2 hybridized carbon formed. This supports the idea that pyrolytic transformation was yet to be complete at 550 °C. Following steam exposure, the proportion of sp3 to sp2 carbon changed considerably. Sp3 carbon then made up 33.2% while sp2 carbon made up 30.3%. It could thus be concluded that steam had a deleterious effect on the carbon atoms still bonded in the sp3 state.
Figure 12.
C 1s X-ray photoelectron spectroscopy of carbon-SiO2-ZrO2 films prepared at (a) 550 and (b) 750 °C before and after 3 h of steam treatment at 500 °C, 90 kPa steam partial pressure.
In Figure 12b, sp2 carbon was the more prominent peak for C-SZ750 before steam treatment with a proportion of 58.8% compared with 29.4% for sp3 carbon. This shows a more complete pyrolytic transformation of SiO2-ZrO2-polybenzoxazine at 750 °C. After the exposure to steam, C-SZ750 retained similar proportions of sp2 and sp3 carbon at 52.5 and 20.8%, respectively, compared with those before steam treatment. This, therefore, indicates that C-SZ750 is more stable than C-SZ550 in the presence of steam. The prior conversion of more sp3-type carbon to sp2 at a higher pyrolysis temperature provided greater resistance to adverse hydrothermal conditions.
Figure 13a,b present a schematic summary of the observations on the hydrothermal stability performances of C-SZ550 and C-SZ750 membranes, respectively. XPS examination has shown that there is a large proportion of sp3 hybridized carbon in C-SZ550, as discussed above. A detailed discussion on the effects of pyrolysis temperature on the pyrolysis mechanism and the nature of residual carbon can be found in a previous work [25]. These sp3 carbons may represent incompletely pyrolyzed carbon chains due to low pyrolysis temperature. From the observations in Figure 9 for the C-SZ550 membrane, it appears that the initial exposure to steam at 90 kPa partial pressure caused a gasification of incompletely carbonized organic moieties leaving larger pores and exposing the decarbonized -Si-O-Zr- linkages. This phenomenon was also reported by Duke et al. [18]. A more severe steam exposure at 150 kPa partial pressure then resulted in hydrolysis of the exposed -Si-O-Zr- linkages forming -Si-OH and -Zr-OH groups and to migration and subsequent recondensing under dry conditions [16], as illustrated in Figure 13a. This recondensation leads to a densification of the C-SZ550 membrane and a resultant reduction in permeance. For a C-SZ750 membrane, Figure 13b illustrates a structure with a complete ceramic and carbonized form. Upon exposure to steam atmosphere, free sp2 carbon, being stable, shields most of the -Si-O-Zr- linkages from H2O attack. Some outlying -Si-O-Zr- bonds could be hydrolyzed but the resulting -Si-OH and -Zr-OH groups are prevented from migration and thus recondensation by the free carbon, as suggested by Duke et al. [18].
Figure 13.
Schematic illustration of the role of fabrication temperature in the microstructural stability of carbon-SiO2-ZrO2 membranes fabricated at (a) 550 and (b) 750 °C upon exposure to steam.
Yoshida et al. [47] investigated the hydrothermal stability of several unmodified SiO2-ZrO2 membranes. While a SiO2-ZrO2 membrane with a silica-to-zirconia ratio of 9/1 showed the best balance of hydrothermal stability and H2/N2 selectivity at 500 °C and 100 kPa partial pressure of steam, the pore size distribution of the membrane changed considerably as hydrothermal exposure increased. The selectivity of H2 over N2 increased but the permeance of all gases reduced considerably and the membrane assumed a bimodal pore size distribution. Ahn et al. [48] also tested the hydrothermal stability of an unmodified SiO2-ZrO2 membrane (10% ZrO2) at 650 °C under a steam partial pressure of 101 kPa. After the steady state of the membrane was established at the testing conditions, H2 permeance was found to have reduced by 56%, although with a corresponding increase in H2 selectivity over N2. These two studies have shown that a trend of reduced H2 permeance with a corresponding selectivity increase is to be expected after pure SiO2-ZrO2 membranes are exposed to high-temperature hydrothermal conditions. However, a sustained high permeance of H2 is important in membrane reactor applications. This work has thus shown that the modification of SiO2-ZrO2 via carbonization can be utilized in achieving hydrothermally robust membranes with sustained levels of H2 permeance and selectivity.
4. Conclusions
Carbon-SiO2-ZrO2 was formed from the pyrolysis of polybenzoxazine-modified SiO2-ZrO2 under an inert atmosphere. The chosen pyrolysis temperature determined the surface and microstructural properties of the resulting carbon-SiO2-ZrO2 composite. Pyrolysis of the cured SiO2-ZrO2-polybezoxazine membrane at 750 °C resulted in a sharp pore size distribution compared with pyrolysis at 550 °C, which also resulted in higher H2 selectivity over CO2, N2, and CH4. After conducting hydrothermal stability tests at 500 °C under steam partial pressures of 90 and 150 kPa, a carbon-SiO2-ZrO2 membrane fabricated at 750 °C showed stable performance under the hydrothermal conditions applied with sustained levels of H2 permeance and H2 selectivity attributed to the complete pyrolytic formation of free carbon which prevented structural changes in the ceramic membrane backbone during hydrothermal exposure.
Supplementary Materials
The following supporting information can be downloaded at: https://www.mdpi.com/article/10.3390/membranes13010030/s1, Figure S1: Flow of membrane support fabrication; Figure S2: C-SZ membrane pyrolysis sequence; Figure S3: Water-contact angles of (a) fresh and (b) 90 °C-cured SiO2-ZrO2-polybenzoxzine films; Figure S4: Non-local density functional theory (NLDFT)-derived pore size distribution for carbon-SiO2-ZrO2 powders prepared at 550 (C-SZ550) and 750 °C (C-SZ750); Figure S5: Scanning electron microscopy images of the cross-sections of carbon-SiO2-ZrO2 membranes prepared at (a) 550 and (b) 750 °C; Figure S6: Pore size distributions of C-SZ550 and C-SZ750 membranes determined by normalized Knudsen permeance as a function of kinetic diameter of gases; Table S1: A comparison of popular H2 separation technologies; Table S2: Membrane performance characteristic values measured at 300 °C before (0 kPa) and after (90 and 150 kPa) steam treatment at 500 °C. Refs. [49,50] are cited in Supplementary materials.
Author Contributions
S.O.L.—conceptualization, investigation, data curation, writing (original draft preparation); H.N.—supervision, writing (editing and revision); T.T.—supervision, validation, writing (editing and revision); M.K.—conceptualization, methodology, writing (original draft preparation and revision), funding acquisition. All authors have read and agreed to the published version of the manuscript.
Funding
This article is based on results obtained from a project, JPNP10020, subsidized by the New Energy and Industrial Technology Development Organization (NEDO).
Institutional Review Board Statement
Not applicable.
Data Availability Statement
The data presented in this study are available on request from the corresponding author.
Conflicts of Interest
The authors declare no conflict of interest.
References
- Chang, Y.; Lee, J.; Yoon, H. Alternative projection of the world energy consumption-in comparison with the 2010 international energy outlook. Energy Policy 2012, 50, 154–160. [Google Scholar] [CrossRef]
- Abas, N.; Kalair, A.; Khan, N. Review of fossil fuels and future energy technologies. Futures 2015, 69, 31–49. [Google Scholar] [CrossRef]
- Johnston, B.; Mayo, M.C.; Khare, A. Hydrogen: The energy source for the 21st century. Technovation 2005, 25, 569–585. [Google Scholar] [CrossRef]
- Nicoletti, G.; Arcuri, N.; Nicoletti, G.; Bruno, R. A technical and environmental comparison between hydrogen and some fossil fuels. Energy Convers. Manag. 2015, 89, 205–213. [Google Scholar] [CrossRef]
- Edwards, P.P.; Kuznetsov, V.L.; David, W.I.F.; Brandon, N.P. Hydrogen and fuel cells: Towards a sustainable energy future. Energy Policy 2008, 36, 4356. [Google Scholar] [CrossRef]
- Pivovar, B.; Rustagi, N.; Satyapal, S. Hydrogen at scale (H2@Scale): Key to a clean, economic, and sustainable energy system. Electrochem. Soc. Interface 2018, 27, 47. [Google Scholar] [CrossRef]
- Carrette, L.; Friedrich, K.A.; Stimming, U. Fuel cells: Principles, types, fuels, and applications. ChemPhysChem 2000, 1, 162–193. [Google Scholar] [CrossRef]
- Rousseau, R.W. Handbook of Separation Process Technology; John Wiley and Sons: New York, NY, USA, 1987. [Google Scholar]
- Ockwig, N.W.; Nenoff, T.M. Membranes for hydrogen separation. Chem. Rev. 2007, 107, 4078–4110. [Google Scholar] [CrossRef]
- Simpson, A.P.; Lutz, A.E. Exergy analysis of hydrogen production via steam methane reforming. Int. J. Hydrogen Energy 2017, 32, 4811–4820. [Google Scholar] [CrossRef]
- Adhikari, S.; Fernando, S. Hydrogen membrane separation techniques. Ind. Eng. Chem. Res. 2006, 45, 875. [Google Scholar] [CrossRef]
- Bernardo, G.; Araujo, T.; da Silva Lopes, T.; Sousa, J.; Mendes, A. Recent advances in membrane technologies for hydrogen purification. Int. J. Hydrogen Energy 2020, 45, 7313–7338. [Google Scholar] [CrossRef]
- Fotou, G.P.; Lin, Y.S.; Pratsinis, S.E. Hydrothermal stability of pure and modified microporous silica membranes. J. Mater. Sci. 1995, 30, 2803–2808. [Google Scholar] [CrossRef]
- Chang, C.-H.; Gopalan, R.; Lin, Y.S. A comparative study on thermal and hydrothermal stability of alumina, titania and zirconia membranes. J. Membr. Sci. 1994, 91, 27–45. [Google Scholar] [CrossRef]
- Boffa, V.; Blank, D.H.A.; ten Elshof, J.E. Hydrothermal stability of microporous silica and niobia-silica membranes. J. Membr. Sci. 2008, 319, 256–263. [Google Scholar] [CrossRef]
- Imai, H.; Morimoto, H.; Tominaga, A.; Hirashima, H. Structural changes in sol-gel derived SiO2 and TiO2 films by exposure to water vapor. J. Sol-Gel Sci. Technol. 1997, 10, 45–54. [Google Scholar] [CrossRef]
- Duke, M.C.; da Costa, J.C.D.; Lu, G.Q.; Petch, M.; Gray, P. Carbonized template molecular sieve silica membranes in fuel processing systems: Permeation, hydrostability and regeneration. J. Membr. Sci. 2004, 241, 325–333. [Google Scholar] [CrossRef]
- Duke, M.C.; da Costa, J.C.D.; Do, D.D.; Petch, M.; Gray, P.G.; Lu, G.Q. Hydrothermally robust molecular sieve silica for wet gas separation. Adv. Funct. Mater. 2006, 16, 1215–1220. [Google Scholar] [CrossRef]
- Lawal, S.; Nagasawa, H.; Tsuru, T.; Kanezashi, M. Enhancement of the H2-permselectivity of a silica-zirconia composite membrane enabled by ligand-ceramic to carbon-ceramic transformation. J. Membr. Sci. 2022, 642, 119948. [Google Scholar] [CrossRef]
- Sanchez, C.; Livage, J.; Henry, M.; Babonneau, F. Chemical modification of alkoxide precursors. J. Non-Cryst. Solids 1988, 100, 65–76. [Google Scholar] [CrossRef]
- Livage, J.; Sanchez, C. Sol-gel chemistry. J. Non-Cryst. Solids 1992, 145, 11–19. [Google Scholar] [CrossRef]
- Livage, J.; Henry, M.; Sanchez, C. Sol-gel chemistry of transition metal oxides. Prog. Solid St. Chem. 1988, 18, 25–341. [Google Scholar] [CrossRef]
- Lawal, S.; Kanezashi, M.; Nagasawa, H.; Tsuru, T. Development of an acetylacetonate-modified silica-zirconia membrane applicable to gas separation. J. Membr. Sci. 2020, 599, 117844. [Google Scholar] [CrossRef]
- Lawal, S.; Yu, L.; Nagasawa, H.; Tsuru, T.; Kanezashi, M. A carbon-silica-zirconia membrane with CO2 flow-switching behavior promising high-temperature H2/CO2 separation. J. Mater. Chem. A 2020, 8, 23563. [Google Scholar] [CrossRef]
- Lawal, S.O.; Nagasawa, H.; Tsuru, T.; Kanezashi, M. Design of carbon-ceramic composite membranes with tunable molecular cut-offs from a carboxylic benzoxazine ligand chelated to silica-zirconia. Mol. Syst. Des. Eng. 2022, 7, 1030–1038. [Google Scholar] [CrossRef]
- Shaer, C.; Oppenheimer, L.; Lin, A.; Ishida, H. Advanced Carbon Materials Derived from Polybenzoxazines: A Review. Polymers 2021, 13, 3775. [Google Scholar] [CrossRef] [PubMed]
- Agag, T.; Jin, L.; Ishida, H. A new synthetic approach for difficult benzoxazines: Preparation and polymerization of 4,4′-diaminodiphenyl sulfone-based benzoxazine monomer. Polymer 2009, 50, 5940–5944. [Google Scholar] [CrossRef]
- Andreu, R.; Reina, J.A.; Ronda, J.C. Carboxylic acid-containing benzoxazines as efficient catalysts in the thermal polymerization of benzoxazines. J. Polym. Sci. Pol. Chem. 2008, 46, 6091–6101. [Google Scholar] [CrossRef]
- Lei, L.; Pan, F.; Lindbråthen, A.; Zhang, X.; Hillestad, M.; Nie, Y.; Bai, L.; He, X.; Guiver, M.D. Carbon hollow fiber membranes for a molecular sieve with precise-cutoff ultramicropores for superior hydrogen separation. Nat. Commun. 2021, 12, 268. [Google Scholar] [CrossRef]
- Richter, H.; Voss, H.; Kaltenborn, N.; Kamnitz, S.; Wollbrink, A.; Feldhoff, A.; Caro, J.; Roitsch, S.; Voigt, I. High-flux carbon molecular sieve membranes for gas separation. Angew. Chem. Int. Ed. 2017, 56, 7760–7763. [Google Scholar] [CrossRef]
- Steel, K.M.; Koros, W.J. Investigation of porosity of carbon materials and related effects on gas separation properties. Carbon 2003, 41, 253–266. [Google Scholar] [CrossRef]
- Rungta, M.; Wenz, G.B.; Zhang, C.; Xu, L.; Qiu, W.; Adams, J.S.; Koros, W. Carbon molecular sieve structure development and membrane performance relationships. Carbon 2017, 115, 237–248. [Google Scholar] [CrossRef]
- Sazali, N. A comprehensive review of carbon molecular sieve membranes for hydrogen production and purification. Int. J. Adv. Manuf. Technol. 2020, 107, 2465–2483. [Google Scholar] [CrossRef]
- Hou, M.; Li, L.; Song, J.; Xu, R.; He, Z.; Lu, Y.; Pan, Z.; Song, C.; Wang, T. Polyimide-derived carbon molecular sieve membranes for high-efficient hydrogen purification: The development of a novel phthalide-containing polyimide precursor. Sep. Purif. Technol. 2022, 301, 121982. [Google Scholar] [CrossRef]
- Ning, X.; Koros, W.J. Carbon molecular sieve membranes derived from Matrimid® polyimide for nitrogen/methane separation. Carbon 2014, 66, 511–522. [Google Scholar] [CrossRef]
- Qiu, W.; Li, F.S.; Fu, S.; Koros, W.J. Isomer-tailored carbon molecular sieve membranes with high gas separation performance. ChemSusChem 2020, 13, 5318–5328. [Google Scholar] [CrossRef] [PubMed]
- Alcaniz-Monge, J.; Lozano-Castello, D. Assessment of Ultramicroporosity on Carbon Molecular Sieves by Water Adsorption. Adsorpt. Sci. Technol. 2003, 21, 841–848. [Google Scholar] [CrossRef]
- Do, D.D.; Junpirom, S.; Do, H.D. A new adsorption-desorption model for water adsorption in activated carbon. Carbon 2009, 47, 1466–1473. [Google Scholar] [CrossRef]
- Yoon, Y.H.; Lively, R.P. Co-transport of water and p-xylene through carbon molecular sieve membranes. J. Membr. Sci. 2022, 654, 120495. [Google Scholar] [CrossRef]
- Thommes, M.; Kaneko, K.; Neimark, A.V.; Olivier, J.P.; Rodriguez-Reinoso, F.; Rouquerol, J.; Sing, K.S.W. Physisorption of gases, with special reference to the evaluation of surface area and pore size distribution (IUPAC technical report). Pure Appl. Chem. 2015, 87, 1051–1069. [Google Scholar] [CrossRef]
- Pires, J.; Pinto, M.L.; Carvalho, A.; de Carvalho, M.B. Assessment of hydrophobic-hydrophilic properties of microporous materials from water adsorption isotherms. Adsorption 2003, 9, 303–309. [Google Scholar] [CrossRef]
- Baker, F.S.; Sing, K.S.W. Specificity in adsorption of nitrogen and water on hydroxylated and dehydroxylated silicas. J. Colloid Interf. Sci. 1976, 55, 605–613. [Google Scholar] [CrossRef]
- Matsuda, A.; Matsuno, Y.; Tatsumisago, M.; Minami, T. Changes in porosity and amounts of adsorbed water in sol-gel derived porous silica films with heat treatment. J. Sol-Gel Sci. Technol. 2001, 20, 129–134. [Google Scholar] [CrossRef]
- Oyama, S.T.; Yamada, M.; Sugawara, T.; Takagaki, A.; Kikuchi, R. Review on mechanisms of gas permeation through inorganic membranes. J. Jpn. Petrol. Inst. 2011, 54, 298–309. [Google Scholar] [CrossRef]
- Lee, H.R.; Kanezashi, M.; Shimomura, Y.; Yoshioka, T.; Tsuru, T. Evaluation and fabrication of pore-size-tuned silica membranes with tetramethoxydimethyl disiloxane for gas separation. AIChE J. 2011, 57, 2755–2765. [Google Scholar] [CrossRef]
- Nagasawa, H.; Niimi, T.; Kanezashi, M.; Yoshioka, T.; Tsuru, T. Modified gas-translation model for the prediction of gas permeation through microporous organosilica membranes. AIChE J. 2014, 60, 4199–4210. [Google Scholar] [CrossRef]
- Yoshida, K.; Hirano, Y.; Fujii, H.; Tsuru, T.; Asaeda, M. Hydrothermal stability and performance of silica-zirconia membranes for hydrogen separation in hydrothermal conditions. J. Chem. Eng. Jpn. 2001, 34, 523–530. [Google Scholar] [CrossRef]
- Ahn, S.-J.; Takagaki, A.; Sugawara, T.; Kikuchi, R.; Oyama, S.T. Permeation properties of silica-zirconia composite membranes supported on porous alumina substrates. J. Membr. Sci. 2017, 526, 409–416. [Google Scholar] [CrossRef]
- Sircar, S. Pressure swing adsorption. Ind. Eng. Chem. Res. 2002, 41, 1389–1392. [Google Scholar] [CrossRef]
- Hinchliffe, A.B.; Porter, K.E. A comparison of membrane separation and distillation. Trans. IChemE 2000, 78, 255–268. [Google Scholar] [CrossRef]
Disclaimer/Publisher’s Note: The statements, opinions and data contained in all publications are solely those of the individual author(s) and contributor(s) and not of MDPI and/or the editor(s). MDPI and/or the editor(s) disclaim responsibility for any injury to people or property resulting from any ideas, methods, instructions or products referred to in the content. |
© 2022 by the authors. Licensee MDPI, Basel, Switzerland. This article is an open access article distributed under the terms and conditions of the Creative Commons Attribution (CC BY) license (https://creativecommons.org/licenses/by/4.0/).












