Thermodynamics of Formation and Disordering of YBaCo2O6-δ Double Perovskite as a Base for Novel Dense Ceramic Membrane Materials
Abstract
1. Introduction
2. Experimental
3. Results and Discussion
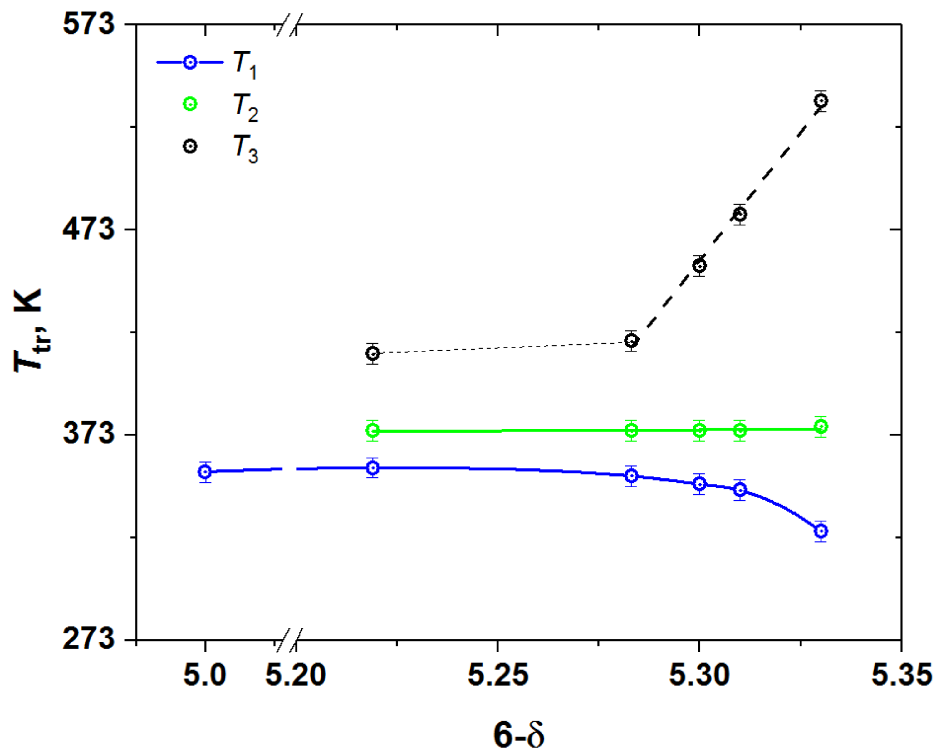
3.1. Sample Characterization and Phase Behavior
3.2. Oxygen Content and Thermodynamics of Disordering
3.3. Thermodynamics of Formation of YBaCo2O6-δ
4. Conclusions
Author Contributions
Funding
Institutional Review Board Statement
Data Availability Statement
Conflicts of Interest
References
- Klyndyuk, A.I.; Chizhova, E.A.; Kharytonau, D.S.; Medvedev, D.A. Layered Oxygen-Deficient Double Perovskites as Promising Cathode Materials for Solid Oxide Fuel Cells. Materials 2022, 15, 141. [Google Scholar] [CrossRef] [PubMed]
- Gómez, A.E.M.; Lamas, D.G.; Leyva, A.G.; Sacanell, J. Nanostructured LnBaCo2O6−δ (Ln = Sm, Gd) with layered structure for intermediate temperature solid oxide fuel cell cathodes. AIP Adv. 2017, 7, 045214. [Google Scholar] [CrossRef]
- Pelosato, R.; Cordaro, G.; Stucchi, D.; Cristiani, C.; Dotelli, G. Cobalt based layered perovskites as cathode material for intermediate temperature Solid Oxide Fuel Cells: A brief review. J. Power Source 2015, 298, 46–67. [Google Scholar] [CrossRef]
- Shen, M.; Ai, F.; Ma, H.; Xu, H.; Zhang, Y. Progress and prospects of reversible solid oxide fuel cell materials. Iscience 2021, 24, 103464. [Google Scholar] [CrossRef] [PubMed]
- Strandbakke, R.; Cherepanov, V.A.; Zuev, A.Y.; Tsvetkov, D.S.; Argirusis, C.; Sourkouni, G.; Prünte, S.; Norby, T. Gd- and Pr-based double perovskite cobaltites as oxygen electrodes for proton ceramic fuel cells and electrolyser cells. Solid State Ion. 2015, 278, 120–132. [Google Scholar] [CrossRef]
- Tsvetkov, D.; Tsvetkova, N.; Ivanov, I.; Malyshkin, D.; Sereda, V.; Zuev, A. PrBaCo2O6−δ-Ce0.8Sm0.2O1.9 Composite Cathodes for Intermediate-Temperature Solid Oxide Fuel Cells: Stability and Cation Interdiffusion. Energies 2019, 12, 417. [Google Scholar] [CrossRef]
- Malyshkin, D.; Novikov, A.; Ivanov, I.; Sereda, V.; Tsvetkov, D.; Zuev, A. The origin of triple conductivity and water uptake in layered double perovskites: A case study on lanthanum-substituted GdBaCo2O6−δ. J. Alloy. Compd. 2020, 845, 156309. [Google Scholar] [CrossRef]
- Kim, J.P.; Pyo, D.W.; Magnone, E.; Park, J.H. Preparation and Oxygen Permeability of ReBaCo2O5+δ (Re = Pr, Nd, Y) Ceramic Membranes. Adv. Mater. Res. 2012, 560–561, 959–964. [Google Scholar] [CrossRef]
- Zhang, K.; Ge, L.; Ran, R.; Shao, Z.; Liu, S. Synthesis, characterization and evaluation of cation-ordered LnBaCo2O5+δ as materials of oxygen permeation membranes and cathodes of SOFCs. Acta Mater. 2008, 56, 4876–4889. [Google Scholar] [CrossRef]
- Kim, J.-H.; Manthiram, A. LnBaCo2O5+δ oxides as cathodes for Intermediate-Temperature Solid Oxide Fuel Cells. J. Electrochem. Soc. 2008, 155, B385–B390. [Google Scholar] [CrossRef]
- Akahoshi, D.; Ueda, Y. Oxygen Nonstoichiometry, Structures, and Physical Properties of YBaCo2O5+x (0.00 ≤ x ≤ 0.52). J. Solid State Chem. 2001, 156, 355–363. [Google Scholar] [CrossRef]
- Urusova, A.S.; Cherepanov, V.A.; Lebedev, O.I.; Aksenova, T.V.; Gavrilova, L.Y.; Caignaert, V.; Raveau, B. Tuning oxygen content and distribution by substitution at Co site in 112 YBaCo2O5+δ: Impact on transport and thermal expansion properties. J. Mater. Chem. A 2014, 2, 8823–8832. [Google Scholar] [CrossRef]
- Ivanov, I.L.; Zakiryanov, P.O.; Sereda, V.V.; Mazurin, M.O.; Malyshkin, D.A.; Zuev, A.Y.; Tsvetkov, D.S. Nonstoichiometry, Defect Chemistry and Oxygen Transport in Fe-Doped Layered Double Perovskite Cobaltite PrBaCo2-xFexO6-δ; (x = 0–0.6) Membrane Materials. Membranes 2022, 12, 1200. [Google Scholar] [CrossRef]
- Kofstad, P. Nonstoichiometry, Diffusion, and Electrical Conductivity in Binary Metal Oxides; Wiley-Interscience: New York, NY, USA, 1972; p. 382. [Google Scholar]
- Tsvetkov, D.S.; Yagovitin, R.E.; Sereda, V.V.; Malyshkin, D.A.; Ivanov, I.L.; Zuev, A.Y.; Maignan, A. Defect structure and redox energetics of NdBaCo2O6-δ. Solid State Ion. 2021, 361, 115549. [Google Scholar] [CrossRef]
- Anderson, P.S.; Kirk, C.A.; Knudsen, J.; Reaney, I.M.; West, A.R. Structural characterisation of REBaCo2O6−δ phases (RE = Pr, Nd, Sm, Eu, Gd, Tb, Dy, Ho). Solid State Sci. 2005, 7, 1149–1156. [Google Scholar] [CrossRef]
- Fauth, F.; Suard, E.; Caignaert, V.; Domengès, B.; Mirebeau, I.; Keller, L. Interplay of structural, magnetic and transport properties in thelayered Co-based perovskite LnBaCo2O5 (Ln = Tb, Dy, Ho). Eur. Phys. J. B Condens. Matter Complex Syst. 2001, 21, 163–174. [Google Scholar] [CrossRef]
- Aksenova, T.V.; Gavrilova, L.Y.; Tsvetkov, D.S.; Voronin, V.I.; Cherepanov, V.A. Crystal structure and physicochemical properties of layered perovskite-like phases LnBaCo2O5+δ. Russ. J. Phys. Chem. A 2011, 85, 427–432. [Google Scholar] [CrossRef]
- Motin Seikh, M.; Pralong, V.; Lebedev, O.I.; Caignaert, V.; Raveau, B. The ordered double perovskite PrBaCo2O6: Synthesis, structure, and magnetism. J. Appl. Phys. 2013, 114, 013902. [Google Scholar] [CrossRef]
- Tang, Y.-k.; Almasan, C.C. Effect of Fe doping on the magnetic properties of GdBaCo2O5.5-δ. Phys. Rev. B 2008, 77, 094403. [Google Scholar] [CrossRef]
- Ananyev, M.V.; Eremin, V.A.; Tsvetkov, D.S.; Porotnikova, N.M.; Farlenkov, A.S.; Zuev, A.Y.; Fetisov, A.V.; Kurumchin, E.K. Oxygen isotope exchange and diffusion in LnBaCo2O6−δ (Ln = Pr, Sm, Gd) with double perovskite structure. Solid State Ion. 2017, 304, 96–106. [Google Scholar] [CrossRef]
- Taskin, A.A.; Lavrov, A.N.; Ando, Y. Achieving fast oxygen diffusion in perovskites by cation ordering. Appl. Phys. Lett. 2005, 86, 091910. [Google Scholar] [CrossRef]
- Tsvetkov, D.S.; Ivanov, I.L.; Urusov, I.V.; Zuev, A.Y. Thermodynamics of formation of double perovskites GdBaCo2−xMxO6−δ (M = Fe, Mn; x = 0, 0.2). Thermochim. Acta 2011, 519, 12–15. [Google Scholar] [CrossRef]
- Ivanov, I.L.; Malyshkin, D.A.; Tsvetkova, N.S.; Sereda, V.V.; Kiselev, E.A.; Zuev, A.Y.; Tsvetkov, D.S. Oxygen content and thermodynamics of formation of double perovskites REBaCo2O6−δ (RE = Gd, Pr). Thermochim. Acta 2014, 578, 28–32. [Google Scholar] [CrossRef]
- Tsvetkov, D.S.; Ivanov, I.L.; Malyshkin, D.A.; Zuev, A.Y. Oxygen content, cobalt oxide exsolution and defect structure of the double perovskite PrBaCo2O6-δ. J. Mater. Chem. A 2016, 4, 1962–1969. [Google Scholar] [CrossRef]
- Tsvetkov, D.S.; Sereda, V.V.; Zuev, A.Y. Oxygen nonstoichiometry and defect structure of the double perovskite GdBaCo2O6−δ. Solid State Ion. 2010, 180, 1620–1625. [Google Scholar] [CrossRef]
- Sereda, V.V.; Malyshkin, D.A.; Ivanov, I.L.; Tsvetkov, D.S.; Zuev, A.Y.; Maignan, A. Redox Thermochemistry, Thermodynamics, and Solar Energy Conversion and Storage Capability of Some Double Perovskite Cobaltites. Inorg. Chem. 2021, 60, 18141–18153. [Google Scholar] [CrossRef]
- Malyshkin, D.; Novikov, A.; Tsvetkov, D.; Zuev, A. Preparation, oxygen nonstoichiometry and defect structure of double perovskite LaBaCo2O6–δ. Mater. Lett. 2018, 229, 324–326. [Google Scholar] [CrossRef]
- Sednev-Lugovets, A.L.; Tsvetkov, D.S.; Sereda, V.V.; Yagovitin, R.E.; Zuev, A.Y.; Maignan, A. Defect structure and thermochemistry of YBaCo2O6-δ. Thermochim. Acta 2021, 698, 178886. [Google Scholar] [CrossRef]
- Sednev, A.L.; Zuev, A.Y.; Tsvetkov, D.S. Oxygen Content and Thermodynamic Stability of YBaCo2O6–δ Double Perovskite. Adv. Mater. Sci. Eng. 2018, 2018, 1205708. [Google Scholar] [CrossRef]
- Sednev, A.L.; Tsvetkov, D.S. Study and optimization of the synthesis routine of the single phase YBaCo2O6-δ double perovskite. Chim. Techno Acta 2017, 4, 183–190. [Google Scholar] [CrossRef]
- Zuev, A.Y.; Tsvetkov, D.S. Conventional methods for measurements of chemo-mechanical coupling. In Electro-Chemo-Mechanics of Solids; Bishop, S.R., Perry, N., Marrocchelli, D., Sheldon, B., Eds.; Springer International Publishing: Berlin/Heidelberg, Germany, 2017; pp. 5–35. [Google Scholar]
- Starkov, I.; Bychkov, S.; Matvienko, A.; Nemudry, A. Oxygen release technique as a method for the determination of “δ–pO2–T” diagrams for MIEC oxides. Phys. Chem. Chem. Phys. 2014, 16, 5527–5535. [Google Scholar] [CrossRef]
- Parker, V.B. Thermal Properties of Aqueous Uni-Univalent Electrolytes; United States Government Publishing Office: Washington, DC, USA, 1965; p. 66.
- Diaz-Fernandez, Y.; Malavasi, L.; Mozzati, M.C. Effect of oxygen content on properties of the HoBaCo2O5+δ layered cobaltite. Phys. Rev. B 2008, 78, 144405. [Google Scholar] [CrossRef]
- Ishizawa, N.; Asaka, T.; Kudo, T.; Fukuda, K.; Yasuhara, A.; Abe, N.; Arima, T.-h. Structural Evolution of GdBaCo2O5+δ (δ = 7/18) at Elevated Temperatures. Chem. Mater. 2014, 26, 6503–6517. [Google Scholar] [CrossRef]
- Ishizawa, N.; Asaka, T.; Kudo, T.; Fukuda, K.; Abe, N.; Arima, T. Incommensurate structure of GdBaCo2O5+δ (δ∼0.38). J. Solid State Chem. 2013, 198, 532–541. [Google Scholar] [CrossRef]
- Asaka, T.; Abe, N.; Kudo, T.; Fukuda, K.; Kimoto, K.; Matsui, Y.; Ishizawa, N.; Arima, T. Structural Phase Transition and Magnetic-Field Effect on the Modulated Structure in GdBaCo2O5+δ (δ<0.5). Phys. Rev. Lett. 2013, 110, 125502. [Google Scholar] [CrossRef]
- Baza Dannykh «Termicheskiye Konstanty Veshchestv». Available online: http://www.chem.msu.ru/cgi-bin/tkv.pl (accessed on 7 June 2022).






| Annealing Conditions | (6-δ) in YBC |
|---|---|
| T = 573 K, pO2 = 0.21 atm | 5.406 ± 0.005 * |
| T = 643 K, pO2 = 0.21 atm | 5.299 ± 0.005 |
| T = 733 K, pO2 = 0.21 atm | 5.209 ± 0.005 |
| T = 773 K, pO2 = 3.2 · 10−2 atm | 5.109 ± 0.005 |
| T = 1373 K, pO2 = 0.21 atm | 5.018 ± 0.005 |
| Defect Reaction | kJ·mol−1 | J·mol−1·K−1 | ||
|---|---|---|---|---|
| 1 | 18.0 ± 2.9 a | 0 b | 0.986 | |
| 2 | −113.1 ± 0.9 a | 0 b | ||
| 3 | 63.9 ± 1.6 a | 69.9 ± 1.0 a | ||
| Substance | Concentration of the Obtained Solution, mol·kg−1 | |
|---|---|---|
| −676 ± 3 a | (2.0 ± 0.1 a) · 10−4 | |
| −20.8 ± 0.4 a | (1.9 ± 0.1 a) · 10−4 | |
| 6.1 ± 0.4 a | (3.8 ±0.2 a) · 10−4 |
| δ in YBC | Concentration of the Obtained Solution, mol·kg−1 | |
|---|---|---|
| 0.594 | −791 ± 4 a | (1.8 ± 0.1 a) · 10−4 |
| 0.701 | −769 ± 3 a | |
| 0.791 | −748 ± 6 a | |
| 0.891 | −728 ± 4 a | |
| 0.982 | −710 ± 2 a |
| Substance | |
|---|---|
| BaCO3(s) | −1213.0 ± 0.1 a [23] |
| CO2(g) | −393.51 ± 0.05 a [39] |
| CoCl2·4.24H2O(s) | −1588.6 ± 2.1 a,b [39] |
| HCl(aq) | −162.17 ± 0.01 a [39] |
| H2O(aq) | −285.83 ± 0.04 a [39] |
| N2H6Cl2(aq) | −338.58 a [39] |
| (6-δ) in YBC | |
|---|---|
| 5.406 | −2072 ± 7 a |
| 5.299 | −2063 ± 6 a |
| 5.209 | −2059 ± 8 a |
| 5.109 | −2052 ± 6 a |
| 5.018 | −-2044 ± 6 a |
Disclaimer/Publisher’s Note: The statements, opinions and data contained in all publications are solely those of the individual author(s) and contributor(s) and not of MDPI and/or the editor(s). MDPI and/or the editor(s) disclaim responsibility for any injury to people or property resulting from any ideas, methods, instructions or products referred to in the content. |
© 2022 by the authors. Licensee MDPI, Basel, Switzerland. This article is an open access article distributed under the terms and conditions of the Creative Commons Attribution (CC BY) license (https://creativecommons.org/licenses/by/4.0/).
Share and Cite
Yagovitin, R.E.; Tsvetkov, D.S.; Ivanov, I.L.; Malyshkin, D.A.; Sereda, V.V.; Zuev, A.Y. Thermodynamics of Formation and Disordering of YBaCo2O6-δ Double Perovskite as a Base for Novel Dense Ceramic Membrane Materials. Membranes 2023, 13, 10. https://doi.org/10.3390/membranes13010010
Yagovitin RE, Tsvetkov DS, Ivanov IL, Malyshkin DA, Sereda VV, Zuev AY. Thermodynamics of Formation and Disordering of YBaCo2O6-δ Double Perovskite as a Base for Novel Dense Ceramic Membrane Materials. Membranes. 2023; 13(1):10. https://doi.org/10.3390/membranes13010010
Chicago/Turabian StyleYagovitin, Roman E., Dmitry S. Tsvetkov, Ivan L. Ivanov, Dmitry A. Malyshkin, Vladimir V. Sereda, and Andrey Yu. Zuev. 2023. "Thermodynamics of Formation and Disordering of YBaCo2O6-δ Double Perovskite as a Base for Novel Dense Ceramic Membrane Materials" Membranes 13, no. 1: 10. https://doi.org/10.3390/membranes13010010
APA StyleYagovitin, R. E., Tsvetkov, D. S., Ivanov, I. L., Malyshkin, D. A., Sereda, V. V., & Zuev, A. Y. (2023). Thermodynamics of Formation and Disordering of YBaCo2O6-δ Double Perovskite as a Base for Novel Dense Ceramic Membrane Materials. Membranes, 13(1), 10. https://doi.org/10.3390/membranes13010010

