Separation of Drugs by Commercial Nanofiltration Membranes and Their Modelling
Abstract
:1. Introduction
2. Materials and Methods
2.1. Materials
2.2. Experimental Setup
2.3. Analytical Methods for Caffeine, Paracetamol and Naproxen
2.4. Separation Methods
2.4.1. Water Flux and NaCl Glycerol Rejection Studies
2.4.2. Experiments with Caffeine, Paracetamol and Naproxen
2.5. Data Analysis and Modelling
3. Results and Discussion
3.1. Distilled Water Flux
3.2. NaCl Rejection
3.3. Glycerol Rejection and Pore Size Calculation
3.4. Effect of Feed Concentration on the Rejection of PhACs
3.5. Effect of Ionic Strength on the Rejection of PhACs
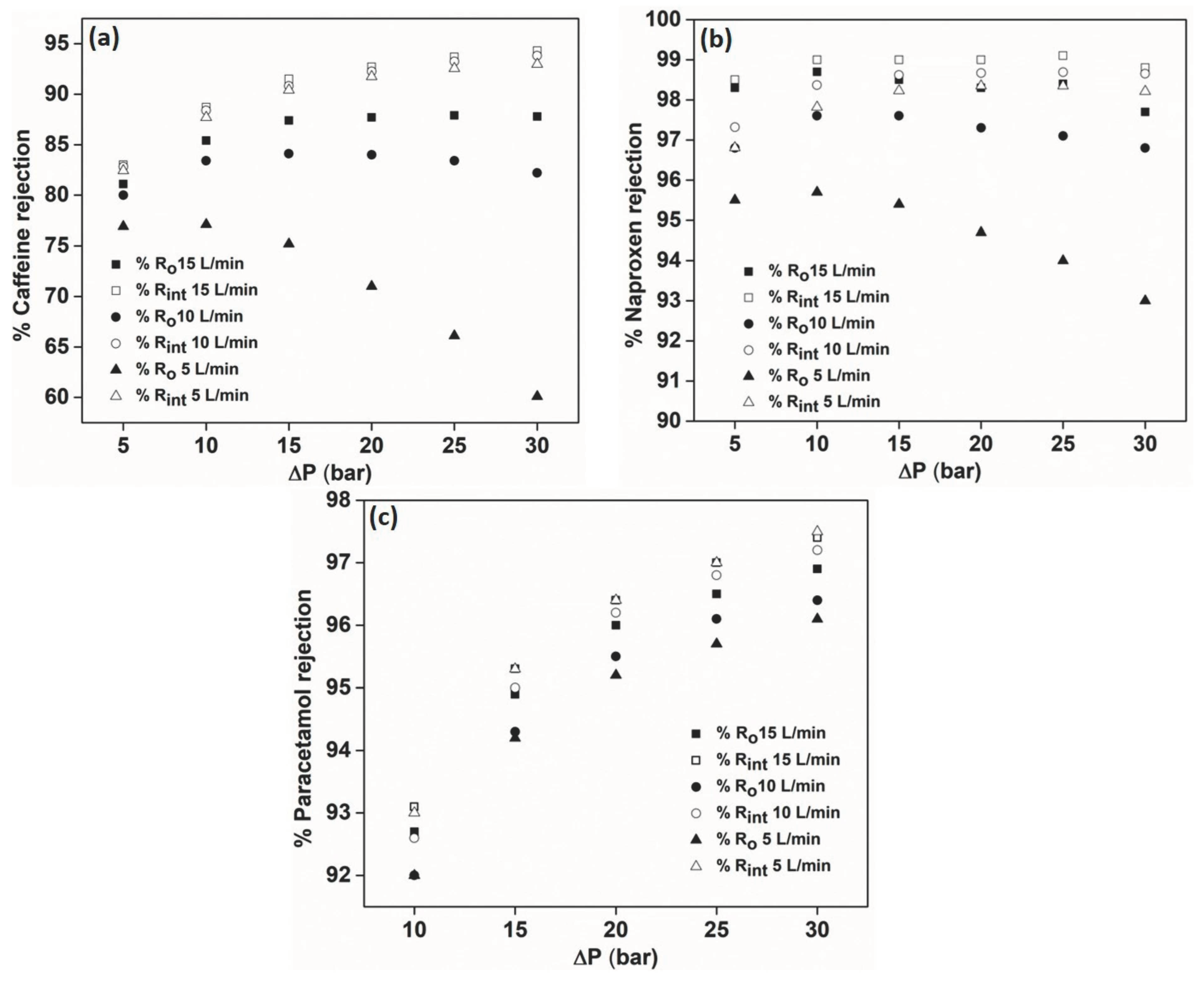
3.6. Effect of Feed Flow Rate on the Rejection of PhACs
3.7. Mathematical Modelling
4. Conclusions
Author Contributions
Funding
Institutional Review Board Statement
Informed Consent Statement
Data Availability Statement
Acknowledgments
Conflicts of Interest
References
- Garcia-Ivars, J.; Martella, L.; Massella, M.; Carbonell-Alcaina, C.; Alcaina-Miranda, M.I.; Iborra-Clar, M.I. Nanofiltration as tertiary treatment method for removing trace pharmaceutically active compounds in wastewater from wastewater treatment plants. Water Res. 2017, 125, 360–373. [Google Scholar] [CrossRef] [PubMed]
- Chandrakanth, G.; Antía, P.G.; Ganapati, D.Y.; Inmaculada, O.; Raquel, I.; Virendra, K.R.; Kumudini, V.M. Pharmaceutical Industry Wastewater: Review of the Technologies for Water Treatment and Reuse. Ind. Eng. Chem. Res. 2014, 53, 11571–11592. [Google Scholar]
- Vasilachi, I.C.; Asiminicesei, D.M.; Fertu, D.I.; Gavrilescu, M. Occurrence and fate of emerging pollutants in Water environmental and options for their removal. Water 2021, 13, 181. [Google Scholar] [CrossRef]
- Kim, S.; Chu, K.H.; Al-Hamadani, Y.A.J.; Park, C.M.; Jang, M.; Kim, D.H.; Yu, M.; Heo, J.; Yoon, Y. Removal of contaminants of emerging concern by membranes in water and wastewater: A review. Chem. Eng. J. 2018, 335, 896–914. [Google Scholar] [CrossRef]
- Jonathan, C.E.; Vítor, J.P.V. Innovative light-driven chemical/catalytic reactors towards contaminants of emerging concern mitigation: A review. Chem. Eng. J. 2020, 394, 124865. [Google Scholar]
- Mehrdad, T.; Satinder, K.B.; Verma, M.; Surampalli, R.Y.; Zhang, T.C.; Valero, J.R. Membrane processes for removal of pharmaceutically active compounds (PhACs) from water and wastewaters. Sci. Total Environ. 2016, 547, 60–77. [Google Scholar]
- Ahmad, J.; Naeem, S.; Ahmad, M.; Usman, A.R.; Al-Wabel, M.I. A critical review on organic micropollutants contamination in wastewater and removal through carbon nanotubes. J. Environ. Manag. 2019, 246, 214–228. [Google Scholar] [CrossRef]
- Jayasiri, H.B.; Purushothaman, C.S.; Vennila, A. Pharmaceutically active compounds (PhACs): A threat for aquatic environment. J. Mar. Sci. Res. Dev. 2013, 4, 1–2. [Google Scholar] [CrossRef]
- Molinari, R.; Caruso, A.; Argurio, P.; Poerio, T. Diclofenac transport through stagnant sandwich and supported liquid membrane systems. Ind. Eng. Chem. Res. 2006, 45, 9115–9121. [Google Scholar] [CrossRef]
- Mamo, J.; García-Galán, M.J.; Stefania, M.; Rodríguez-Mozaz, S.; Barceló, D.; Monclús, H.; Rodriguez-Roda, I.; Comas, J. Fate of pharmaceuticals and their transformation products in integrated membrane systems for wastewater reclamation. Chem. Eng. J. 2018, 331, 450–461. [Google Scholar] [CrossRef] [Green Version]
- Lange, F.; Cornelissen, S.; Kubac, D.; Sein, M.M.; von Sonntag, J.; Hannich, C.B. Degradation of macrolide antibiotics by ozone: A mechanistic case study with clarithromycin. Chemosphere 2006, 65, 17–23. [Google Scholar] [CrossRef]
- Anon. Pharmaceuticals in Drinking-Water; World Health Organization: Geneva, Switzerland, 2011. [Google Scholar]
- Carolina, F.C.; Lisete, C.L.; Miriam, C.S.A. Occurrence, fate and removal of pharmaceutically active compounds (PhACs) in water and wastewater treatment plants—A review. J. Water Process Eng. 2019, 32, 1009272. [Google Scholar]
- Anderson, P.D. Technical Brief: Endocrine Disrupting Compounds and Implications for Wastewater Treatment, WERF Report: Surface Water Quality, 04-WEM-6; IWA: London, UK, 2005. [Google Scholar]
- Yuyi, Y.; Wenjuan, S.; Hui, L.; Weibo, W.; Linna, D.; Wei, X. Antibiotics and antibiotic resistance genes in global lakes: A review and meta-analysis. Environ. Int. 2018, 116, 60–73. [Google Scholar]
- Bell, K.Y.; Bandy, J.; Beck, S.; Keen, O.; Kolankowsky, N.; Parker, A.M.; Linden, K. Emerging pollutants—Part II: Treatment. Water Environ. Res. 2012, 84, 1909–1940. [Google Scholar] [CrossRef]
- Heberer, T. Occurrence, fate, and removal of pharmaceutical residues in the aquatic environment: A review of recent research data. Toxicol. Lett. 2002, 131, 5–17. [Google Scholar] [CrossRef]
- Xie, P.; Chen, C.; Zhang, C.; Su, G.; Ren, N.; Ho, S.H. Revealing the role of adsorption in ciprofloxacin and sulfadiazine elimination routes in microalgae. Water Res. 2020, 172, 115475. [Google Scholar] [CrossRef] [PubMed]
- Diemert, S.; Andrews, R.C. The impact of alum coagulation on pharmaceutically active compounds, endocrine disrupting compounds and natural organic matter. Water Sci. Technol. Water Supply. 2013, 13, 1348–1357. [Google Scholar] [CrossRef]
- El-Kemary, M.; El-Shamy, H.; El-Mehasseb, I. Photocatalytic degradation of ciprofloxacin drug in water using ZnO nanoparticles. J. Lumin. 2010, 130, 2327–2331. [Google Scholar] [CrossRef]
- Dodd, M.C.; Kohler, H.P.E.; Von Gunten, U. Oxidation of Antibacterial Compounds by Ozone and Hydroxyl Radical: Elimination of Biological Activity during Aqueous Ozonation Processes. Environ. Sci. Technol. 2009, 43, 2498–2504. [Google Scholar] [CrossRef]
- Le-Minh, N.; Khan, S.J.; Drewes, J.E.; Stuetz, R.M. Fate of antibiotics during municipal water recycling treatment processes. Water Res. 2010, 44, 4295–4323. [Google Scholar] [CrossRef]
- Geens, J.; Witte, B.D.; Bruggen, B.V.D. Removal of API’s (Active Pharmaceutical Ingredients) from organic solvents by nanofiltration. Sep. Sci. Technol. 2007, 42, 2435–2449. [Google Scholar] [CrossRef]
- Jye, L.W.; Ismail, A.F. Nanofiltration Membranes: Synthesis, Characterization, and Applications; CRC Press Taylor & Francis Group: Boca Raton, FL, USA, 2017. [Google Scholar]
- Yangali-Quintanilla, V.; Sadmani, A.; McConville, M.; Kennedy, M.; Amy, G. Rejection of pharmaceutically active compounds and endocrine disrupting compounds by clean and fouled nanofiltration membranes. Water Res. 2009, 43, 2349–2362. [Google Scholar] [CrossRef]
- María, J.L.M.; Arcadio, S.; Arsuaga, J.M. Nanofiltration removal of pharmaceutically active compounds. Desalina. Water Treat. 2012, 42, 138–143. [Google Scholar]
- Verliefde, A.R.D.; Cornelissen, E.R.; Heijman, S.G.J.; Petrinic, I.; Luxbacher, T.; Amy, G.L.; Van der Bruggen, B.; Dijk, J.C.V. Influence of membrane fouling by (pretreated) surface water on rejection of pharmaceutically active compounds (PhACs) by nanofiltration membranes. J. Membr. Sci. 2009, 330, 90–103. [Google Scholar] [CrossRef]
- Jiř, C.; Edwin, W.; Petr, M. Removal of micropollutants from water by commercially available nanofiltration membranes. Sci. Total Environ. 2020, 720, 137474. [Google Scholar]
- Kimura, K.; Amy, G.; Drewes, J.; Heberer, T.; Kim, T.; Watanabe, Y. Rejection of organic micropollutants (disinfection byproducts, endocrine disrupting compounds, and pharmaceutically active compounds) by NF/RO membranes. J. Membr. Sci. 2003, 227, 113–121. [Google Scholar] [CrossRef]
- Nair, R.R.; Protasova, E.; Strand, S.; Bilstad, T. Implementation of Spiegler– Kedem and steric hindrance pore models for analyzing nanofiltration membrane performance for smart water production. Membranes 2018, 8, 78. [Google Scholar] [CrossRef] [Green Version]
- Su, J.; Chung, T.-S. Sublayer structure and reflection coefficient and their effects on concentration polarization and membrane performance in FO processes. J. Membr. Sci. 2011, 376, 214–224. [Google Scholar] [CrossRef]
- Qadir, D.; Mukhtar, H.B.; Keong, L.K. Rejection of divalent ions in commercial tubularmembranes: Effect of feed concentration and anion type. Sustain. Environ. Res. 2017, 27, 103–106. [Google Scholar] [CrossRef]
- Mahlangu, T.O.; Msagati, T.A.M.; Hoek, E.M.V.; Verliefde, A.R.D.; Mamba, B.B. Rejection of pharmaceuticals by nanofiltration (NF) membranes: Effect of fouling on rejection behavior. Phys. Chem. Earth 2014, 76–78, 28–34. [Google Scholar] [CrossRef]
- Licona, K.P.M.; Geaquinto, L.R.O.; Nicolini, J.V.; Figueiredo, N.G.; Chiapetta, S.C.; Habert, A.C.; Yokoyama, L.J. Assessing potential of nanofiltration and reverse osmosis for removal of toxic pharmaceuticals from water. Water. Process. Eng. 2018, 25, 195–204. [Google Scholar] [CrossRef]
- Asunción, M.H.; Gerardo, L.; María, D.M.; María, G.; Elisa, G.; José, L.G. Using Pressure-Driven Membrane Processes to Remove Emerging Pollutants from Aqueous Solutions. Int. J. Environ. Res. Public Health 2021, 18, 4036. [Google Scholar]
- Azaïs, A.; Mendret, J.; Gassara, S.; Petit, E.; Deratani, A.; Brosillon, S. Nanofiltration for wastewater reuse: Counteractive effects of fouling and matrice on the rejection of pharmaceutical active compounds. Sep. Purif. Technol. 2014, 133, 313–327. [Google Scholar] [CrossRef]








| Structural Features | AFC 40 | AFC 80 |
|---|---|---|
| Membrane type | Tubular | Tubular |
| Material/Substrate | Polyamide selective layer/polysulfone | Polyamide selective layer/polysulfone |
| Usable pH range | 1.5–10.5 | 1.5–10.5 |
| Maximum pressure (bar) | 60 | 60 |
| Maximum temperature (°C) | 60 | 70 |
| Surface charge | Negative | Negative |
| Effective membrane area (cm2) | 240 | 240 |
| Membrane length (cm) | 30 | 30 |
| Internal diameter (cm) | 1.25 | 1.25 |
| HPLC Parameters | Mobile Phase (Water/Acetonitrile) (%) | Sample Injection Volume (µL) | Flow Rate (mL/min) | Detector (nm) | Retention Time (Rt) (min) |
|---|---|---|---|---|---|
| Caffeine | 55/45 | 10 | 1 | λmax: 274 | 2.35 |
| Paracetamol | 55/45 | 10 | 1 | λmax: 248 | 2.22 |
| Naproxen | 30/70 | 10 | 0.6 | λmax: 232 | 4.82 |
| Drug | MW (g/mol) | Chemical Formula | Solubility | Classification | Charge | Structure |
|---|---|---|---|---|---|---|
| Caffeine | 194.9 | C8H10N4O2 | Water | Central nervous system stimulant | Neutral | ![]() |
| Naproxen | 230.2 | C14H14O3 | Water and organic | Anti-inflammatory, analgesic | Negative | ![]() |
| Paracetamol | 151.16 | C8H9NO2 | Water | Analgesic, antipyretic | Partially negative or neutral | ![]() |
| Experiment | Hydraulic Permeability Coefficient (Lp) | ||
|---|---|---|---|
| Feed Flow Rate (L/min) | Caffeine | Naproxen | Paracetamol |
| 5 | 6.33 | 5.38 | 1.22 |
| 10 | 6.64 | 5.95 | 1.25 |
| 15 | 6.80 | 6.21 | 1.24 |
| Experiment | AFC 40 | AFC 80 | |||||
|---|---|---|---|---|---|---|---|
| Solute | Conc. (mg/L) | Σ (-) | ω (Lm−2h−1) | χ2 (-) | Σ (-) | ω (Lm−2h−1) | χ2 (-) |
| Caffeine | 20 | 0.952 | 1.67 × 10−6 | 3.19 × 10−4 | Not carried out since high rejection obtained with the AFC 40 membrane | ||
| Naproxen | 20 | 0.995 | 1.46 × 10−7 | 1.74 × 10−5 | Not carried out since high rejection obtained with the AFC 40 membrane | ||
| Paracetamol | 20 | Very low rejection obtained | 0.995 | 2.66 × 10−7 | 1.07 × 10−5 | ||
Publisher’s Note: MDPI stays neutral with regard to jurisdictional claims in published maps and institutional affiliations. |
© 2022 by the authors. Licensee MDPI, Basel, Switzerland. This article is an open access article distributed under the terms and conditions of the Creative Commons Attribution (CC BY) license (https://creativecommons.org/licenses/by/4.0/).
Share and Cite
Nayak, V.; Cuhorka, J.; Mikulášek, P. Separation of Drugs by Commercial Nanofiltration Membranes and Their Modelling. Membranes 2022, 12, 528. https://doi.org/10.3390/membranes12050528
Nayak V, Cuhorka J, Mikulášek P. Separation of Drugs by Commercial Nanofiltration Membranes and Their Modelling. Membranes. 2022; 12(5):528. https://doi.org/10.3390/membranes12050528
Chicago/Turabian StyleNayak, Vignesh, Jiří Cuhorka, and Petr Mikulášek. 2022. "Separation of Drugs by Commercial Nanofiltration Membranes and Their Modelling" Membranes 12, no. 5: 528. https://doi.org/10.3390/membranes12050528
APA StyleNayak, V., Cuhorka, J., & Mikulášek, P. (2022). Separation of Drugs by Commercial Nanofiltration Membranes and Their Modelling. Membranes, 12(5), 528. https://doi.org/10.3390/membranes12050528




