Operational Limits of the Bulk Hybrid Liquid Membranes Based on Dispersion Systems
Abstract
:1. Introduction
2. Materials and Methods
2.1. Reagents and Materials
2.2. Methods
2.2.1. Obtaining the Dispersion Liquid Membranes (DLM)
2.2.2. Transport Experiments of the Silver Ions or p-Nitrophenol
2.3. Equipment
3. Results and Discussions
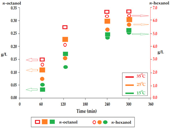
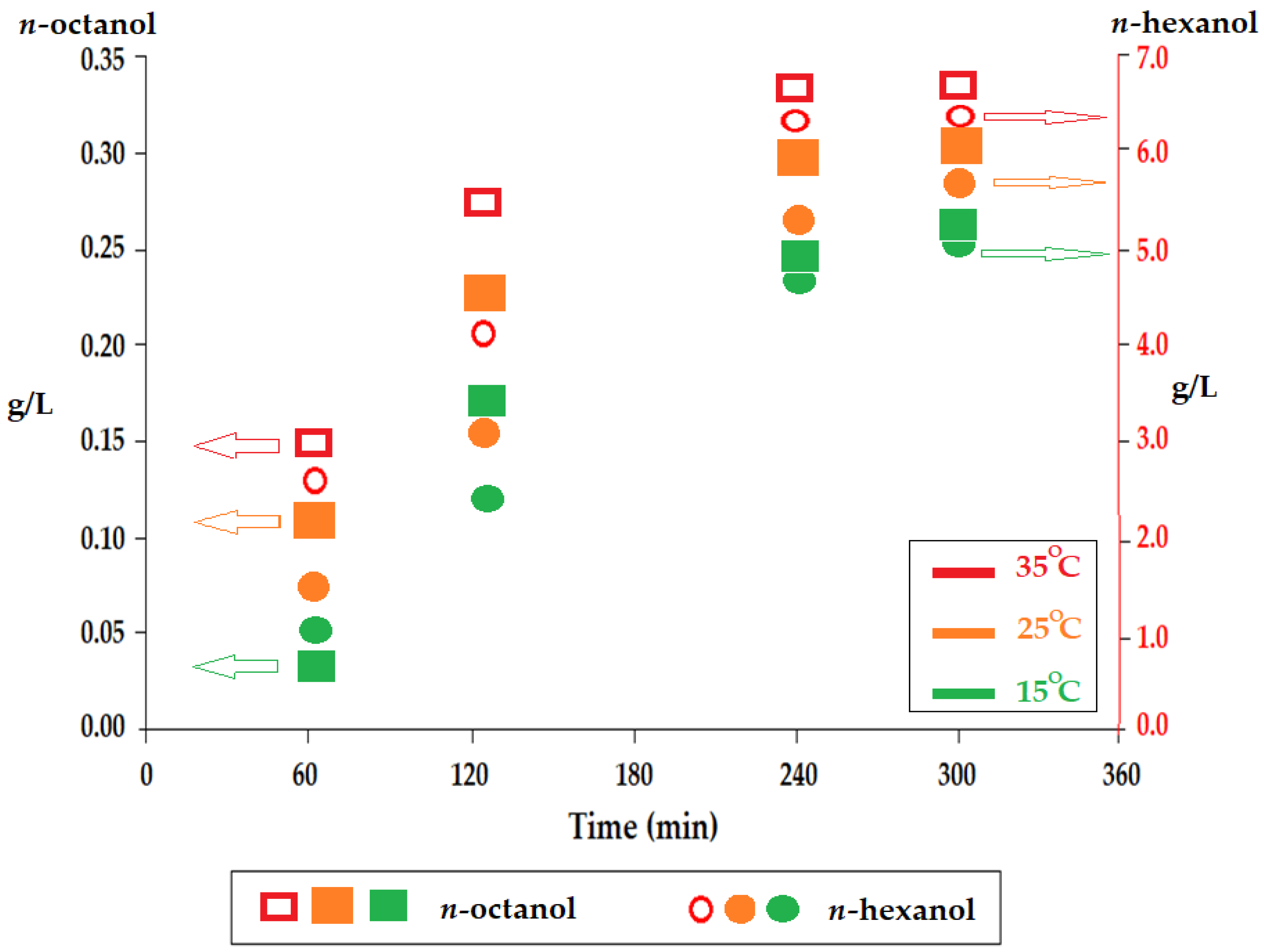
3.1. Membrane Material Losses in the Aqueous Phases of the Hybrid System
3.2. The Influence of the Operational Parameters of the Membrane on the Separation Efficiency
- For the extraction of silver ions (Figure 7a,c): a source phase of pH = 7 and a concentration of 10−4 mol/L (0.0108 g Ag/L), a receiving phase of pH = 1 (hydrochloric acid), a 4% NaCl electrolyte in the aqueous phases and a membrane of n-alkyl alcohols with 3 g/L of magnetic nanoparticles.
- For the extraction of p-nitrophenol (PNP) (Figure 7b,d): a source phase with pH = 1 (nitric acid) and a concentration of 10−2 mol/L (1.39 g PNP/L), a receiving phase with pH = 11 (sodium hydroxide), a 4% NaNO3 electrolyte in the aqueous phases and a membrane of n-alkyl alcohols with 3 g/L of magnetic nanoparticles.
- For the extraction of silver ions (Figure 9a): a source phase of pH = 7 and a concentration of 10−4 mol/L (0.0108 g Ag/L), a receiving phase of pH = 1 (hydrochloric acid), a 4% NaCl electrolyte in aqueous phases and a membrane of n-alkyl alcohols with 3 g/L of magnetic nanoparticles having a 1.12% silver content.
- For the extraction of p-nitrophenol (PNP) (Figure 9b): a source phase of pH = 1 (nitric acid) and a concentration of 10−2 mol/L (1.39 g PNP/L), a receiving phase of pH = 11 (sodium hydroxide), a 4% NaNO3 electrolyte in aqueous phases and an n-alkyl alcohol membrane with 3 g/L of magnetic nanoparticles having a 1.12% silver content.
3.3. Study of the Influence of Aqueous Phase Parameters on the Performance of the Hybrid System
3.4. Recommended Advantages, Limits and Parameters for the Proposed Hybrid Membrane System
- Wide possibilities for varying the physical–chemical parameters of both the membrane and the aqueous phases;
- A large interphase transfer surface, ensuring convection both by means of source/receiving phase droplets passing through the membrane and through magnetic nanoparticles engaged by a rotating magnetic field (which can be achieved by electromagnetic means without moving elements);
- Easily adjustable recirculation rates of the aqueous phases;
- An easily adjusted thickness of the membrane;
- The volume of the source and receiving phase can be varied, and their ratio can be increased;
- It does not require surfactants to stabilize the drops;
- It does not require the breaking of an emulsion (the droplet size, imposed by the flow of the aqueous phases, is relatively large);
- Membrane solvents are biodegradable;
- The magnetic nanoparticles in the membrane phase can be promoters of turbulence but also carriers.
- The membrane solvents are lost (at the solubility limit) in the aqueous phases;
- Special attention is needed to adjust the pH of the aqueous phases (a strong basic pH favors the appearance of emulsification and/or the increase in membrane solvent losses);
- The working temperature cannot be increased (because both the volatility and solubility of the membrane solvent will also increase);
- The flow at a single drip hole is limited and must be determined so that the drops are relatively large;
- The flow rate increases only by multiplying the drip holes;
- The volume of the membrane phase is still large, and the solvent losses in the aqueous phases are significant;
- The membrane solvents must be biodegradable.
4. Conclusions
Author Contributions
Funding
Institutional Review Board Statement
Informed Consent Statement
Data Availability Statement
Conflicts of Interest
References
- Masry, B.; Aly, M.; Daoud, J. Selective permeation of Ag+ ions from pyrosulfite solution through Nano-Emulsion Liquid Membrane (NELM) containing CYANEX 925 as carrier. Colloids Surf. A Physicochem. Eng. Asp. 2020, 610, 125713. [Google Scholar] [CrossRef]
- Astolfi, M.L.; Ginese, D.; Ferrante, R.; Marconi, E.; Girelli, A.M.; Canepari, S. On-Line Separation and Determination of Trivalent and Hexavalent Chromium with a New Liquid Membrane Annular Contactor Coupled to Inductively Coupled Plasma Optical Emission Spectrometry. Processes 2021, 9, 536. [Google Scholar] [CrossRef]
- Al-Ani, F.H.; Alsalhy, Q.F.; Al-Dahhan, M. Enhancing emulsion liquid membrane system (ELM) stability and performance for the extraction of phenol from wastewater using various nanoparticles. Desalination Water Treat. 2021, 210, 180–191. [Google Scholar] [CrossRef]
- Pavón, S.; Blaesing, L.; Jahn, A.; Aubel, I.; Bertau, M. Liquid Membranes for Efficient Recovery of Phenolic Compounds such as Vanillin and Catechol. Membranes 2020, 11, 20. [Google Scholar] [CrossRef] [PubMed]
- Wang, B.-Y.; Zhang, N.; Li, Z.-Y.; Lang, Q.-L.; Yan, B.-H.; Liu, Y.; Zhang, Y. Selective Separation of Acetic and Hexanoic Acids across Polymer Inclusion Membrane with Ionic Liquids as Carrier. Int. J. Mol. Sci. 2019, 20, 3915. [Google Scholar] [CrossRef] [PubMed] [Green Version]
- Yang, B.; Bai, L.; Li, T.; Deng, L.; Liu, L.; Zeng, S.; Han, J.; Zhang, X. Super selective ammonia separation through multiple-site interaction with ionic liquid-based hybrid membranes. J. Membr. Sci. 2021, 628, 119264. [Google Scholar] [CrossRef]
- Kislik, V.S. Liquid Membrane: Principles and Applications. In Chemical Separations & Wastewater Treatment; Elsevier: Amsterdam, The Netherlands, 2010. [Google Scholar]
- Jean, E.; Villemin, D.; Hlaibi, M.; Lebrun, L. Heavy metal ions extraction using new supported liquid membranes containing ionic liquid as carrier. Sep. Purif. Technol. 2018, 201, 1–9. [Google Scholar] [CrossRef]
- Craveiro, R.; Neves, L.A.; Duarte, A.R.C.; Paiva, A. Supported liquid membranes based on deep eutectic solvents for gas separation processes. Sep. Purif. Technol. 2020, 254, 117593. [Google Scholar] [CrossRef]
- Wang, Z.; Sun, Y.; Tang, N.; Miao, C.; Wang, Y.; Tang, L.; Wang, S.; Yang, X. Simultaneous extraction and recovery of gold(I) from alkaline solutions using an environmentally benign polymer inclusion membrane with ionic liquid as the carrier. Sep. Purif. Technol. 2019, 222, 136–144. [Google Scholar] [CrossRef]
- Rosano, H.L.; Schulman, J.H.; Weisbuch, J.B. Mechanism of the Selective Flux of Salts and Ions through Nonaqueous Liquid Membranes. Ann. N. Y. Acad. Sci. 1961, 92, 457–469. [Google Scholar] [CrossRef]
- Noble, R.D.; Stern, S.A. Membrane Separations Technology: Principles and Applications; Elsevier: Amsterdam, The Netherlands, 1995. [Google Scholar]
- Li, L.; Ma, G.; Pan, Z.; Zhang, N.; Zhang, Z. Research Progress in Gas Separation Using Hollow Fiber Membrane Contactors. Membranes 2020, 10, 380. [Google Scholar] [CrossRef] [PubMed]
- Prasad, R.; Sirkar, K.K. Membrane-Based Solvent Extraction. In Membrane Handbook; Ho, W.S.W., Sirkar, K.K., Eds.; Springer: Boston, MA, USA, 1992. [Google Scholar] [CrossRef]
- San Román, M.F.; Bringas, E.; Ibañez, R.; Ortiz, I. Liquid membrane technology: Fundamentals and review of its applications. J. Chem. Technol. Biotechnol. 2010, 85, 2–10. [Google Scholar] [CrossRef]
- Serban, B.; Ruse, E.; Minca, M.; Pasare, J.; Nechifor, G. Calixarenes-Conveyors in the liquid membranes. II. Rev. Chim. 2002, 51, 249–258. [Google Scholar]
- Kemperman, A.; Bargeman, D.; Boomgaard, T.V.D.; Strathmann, H. Stability of Supported Liquid Membranes: State of the Art. Sep. Sci. Technol. 1996, 31, 2733–2762. [Google Scholar] [CrossRef]
- Izatt, R.; Clark, G.A.; Bradshaw, J.S.; Lamb, J.D.; Christensen, J.J. Macrocycle-Facilitated Transport of Ions in Liquid Membrane Systems. Sep. Purif. Methods 1986, 15, 21–72. [Google Scholar] [CrossRef]
- Izatt, R.M.; Lindh, G.C.; Bruening, R.L.; Bradshaw, J.S.; Lamb, J.D.; Christensen, J.J. Design of cation selectivity into liquid membrane systems using macrocyclic carriers. Pure Appl. Chem. 1986, 58, 1453–1460. [Google Scholar] [CrossRef]
- Schlosser, Š.; Sabolová, E.; Kertész, R.; Kubišová, L. Factors influencing transport through liquid membranes and membrane based solvent extraction. J. Sep. Sci. 2001, 24, 509–518. [Google Scholar] [CrossRef]
- Zhang, X.J.; Liu, J.H.; Fan, Q.J.; Lian, Q.T.; Lu, T.S. Industrial application of liquid membrane separation for phenolic waste water treatment. Technol. Water Treat. 1987, 2, 127. [Google Scholar]
- Kiani, A.; Bhave, R.R.; Sirkar, K.K. Solvent extraction with immobilized interfaces in a microporous hydrophobic membrane. J. Membr. Sci. 1984, 20, 125–145. [Google Scholar] [CrossRef]
- Sirkar, K.K.; Shanbhag, P.V.; Kovvali, A.S. Membrane in a Reactor: A Functional Perspective. Ind. Eng. Chem. Res. 1999, 38, 3715–3737. [Google Scholar] [CrossRef]
- Bacon, E.; Jung, L. Selective extraction and transport of mercury through a liquid membrane by macrocyclic ligands. Improvement in the transport efficiency and an approach to physiological systems. J. Membr. Sci. 1985, 24, 185–199. [Google Scholar] [CrossRef]
- Christensen, J.J.; Lamb, J.D.; Brown, P.R.; Oscarson, J.L.; Izatt, R. Liquid Membrane Separations of Metal Cations Using Macrocyclic Carriers. Sep. Sci. Technol. 1981, 16, 1193–1215. [Google Scholar] [CrossRef]
- Brown, P.; Izatt, R.; Christensen, J.; Lamb, J. Transport of Eu2+ in a H2O-CHCl3-H2O liquid membrane system containing the macrocyclic polyether 18-crown-6. J. Membr. Sci. 1983, 13, 85–88. [Google Scholar] [CrossRef]
- Burgard, M.; Elisoamiadana, P.; Leroy, M.J.F. Liquid Membrane Studies: Transport against the Concentration Gradient of AuCI, Proceedings of International Solvent Extraction Conference, AICHE ISEC ’83; Denver, CO, USA, August 26–September 2 1983; American Institute of Chemical Engineer: New York, NY, USA, 1983; Volume II, pp. 399–400. [Google Scholar]
- Kislik, V.; Eyal, A. Hybrid liquid membrane (HLM) system in separation technologies. J. Membr. Sci. 1996, 111, 259–272. [Google Scholar] [CrossRef]
- Majumdar, S.; Sirkar, K.K. Hollow-fiber contained liquid membrane. In Membrane Handbook; Ho, W.S.W., Sirkar, K.K., Eds.; Van Nostrand Reinhold: New York, NY, USA, 1992; pp. 764–808. [Google Scholar]
- Schlosser, S.; Sabol, E. Three-phase contactor with distributed U-shaped bundles of hollow-fibers for pertraction. J. Membr. Sci. 2002, 210, 331–347. [Google Scholar] [CrossRef]
- Wódzki, R.; Nowaczyk, J. Propionic and acetic acid pertraction through a multimembrane hybrid system containing TOPO or TBP. Sep. Purif. Technol. 2002, 26, 207–220. [Google Scholar] [CrossRef]
- Drioli, E.; Romano, M. Progress and New Perspectives on Integrated Membrane Operations for Sustainable Industrial Growth. Ind. Eng. Chem. Res. 2001, 40, 1277–1300. [Google Scholar] [CrossRef]
- Sengupta, A. Degassing a Liquid with a Membrane Contactor. U.S. Patent 6,402,818-B1 (US6402818B1), 11 June 2002. [Google Scholar]
- Peterson, P.A.; Runkle, C.J.; Sengupta, A.; Wiesler, F.E. Shell-Less Hollow Fiber Membrane Fluid Contactor. U.S. Patent 6,149,817 (US6149817A), 21 November 2000. [Google Scholar]
- Kubišová, L.; Sabolová, E.; Schlosser, Š.; Marták, J.; Kertész, R. Mass-transfer in membrane based solvent extraction and stripping of 5-methyl-2-pyrazinecarboxylic acid and co-transport of sulphuric acid in HF contactors. Desalination 2004, 163, 27–38. [Google Scholar] [CrossRef]
- Eyal, A.M.; Bressler, E. Industrial separation of carboxylic and amino acids by liquid membranes: Applicability, process considerations, and potential advantage. Biotechnol. Bioeng. 1993, 41, 287–295. [Google Scholar] [CrossRef]
- Eyal, A.; Kislik, V. Aqueous hybrid liquid membrane: A novel system for separation of solutes using water-soluble polymers as carriers. J. Membr. Sci. 1999, 161, 207–221. [Google Scholar] [CrossRef]
- Boyadzhiev, L.; Benenshek, E.; Lazarova, Z. Removal of phenol from wastewater by double emulsion membranes and creeping film pertraction. J. Membr. Sci. 1984, 21, 137–144. [Google Scholar] [CrossRef]
- Gadekar, P.T.; Mukkolath, A.V.; Tiwari, K.K. Recovery of Nitrophenols from Aqueous Solutions by a Liquid Emulsion Membrane System. Sep. Sci. Technol. 1992, 27, 427–445. [Google Scholar] [CrossRef]
- Nechifor, G.; Păncescu, F.M.; Albu, P.C.; Grosu, A.R.; Oprea, O.; Tanczos, S.-K.; Bungău, C.; Grosu, V.-A.; Ioan, M.-R.; Nechifor, A.C. Transport and Separation of the Silver Ion with n–decanol Liquid Membranes Based on 10–undecylenic Acid, 10–undecen–1–ol and Magnetic Nanoparticles. Membranes 2021, 11, 936. [Google Scholar] [CrossRef] [PubMed]
- Dimulescu, I.A.; Nechifor, A.C.; Bǎrdacǎ, C.; Oprea, O.; Paşcu, D.; Totu, E.E.; Albu, P.C.; Nechifor, G.; Bungău, S.G. Accessible Silver-Iron Oxide Nanoparticles as a Nanomaterial for Supported Liquid Membranes. Nanomaterials 2021, 11, 1204. [Google Scholar] [CrossRef]
- Nechifor, A.; Goran, A.; Grosu, V.-A.; Bungău, C.; Albu, P.; Grosu, A.; Oprea, O.; Păncescu, F.; Nechifor, G. Improving the Performance of Composite Hollow Fiber Membranes with Magnetic Field Generated Convection Application on pH Correction. Membranes 2021, 11, 445. [Google Scholar] [CrossRef] [PubMed]
- Yahya, A.A.; Rashid, K.T.; Ghadhban, M.Y.; Mousa, N.E.; Majdi, H.S.; Salih, I.K.; Alsalhy, Q.F. Removal of 4-Nitrophenol from Aqueous Solution by Using Polyphenylsulfone-Based Blend Membranes: Characterization and Performance. Membranes 2021, 11, 171. [Google Scholar] [CrossRef] [PubMed]
- Reichardt, C. Empirical Parameters of Solvent Polarity as Linear Free-Energy Relationships. Angew. Chem. Int. Ed. 1979, 18, 98–110. [Google Scholar] [CrossRef]
- Diaconu, I.; Nechifor, G.; Nechifor, A.C.; Ruse, E.; Totu, E.E. Membranary techniques used at the separation of some phenolic compounds from aqueous media. UPB Sci. Bull. Ser. B Chem. Mater. Sci. 2009, 71, 39–46. [Google Scholar]
- Diaconu, I.; Gîrdea, R.; Cristea, C.; Nechifor, G.; Ruse, E.; Totu, E.E. Removal and recovery of some phenolic pollutants using liquid membranes. Rom. Biotechnol. Lett. 2010, 15, 5702–5708. [Google Scholar]
- Yu, P.; Chang, Z.; Ma, Y.; Wang, S.; Cao, H.; Hua, C.; Liu, H. Separation of p-Nitrophenol and o-Nitrophenol with three-liquid-phase extraction system. Sep. Purif. Technol. 2009, 70, 199–206. [Google Scholar] [CrossRef]
- Yusof, N.A.; Zakaria, N.D.; Maamor, N.A.M.; Abdullah, A.H.; Haron, J. Synthesis and Characterization of Molecularly Imprinted Polymer Membrane for the Removal of 2,4-Dinitrophenol. Int. J. Mol. Sci. 2013, 14, 3993–4004. [Google Scholar] [CrossRef] [PubMed]
- Koter, S.; Szczepański, P.; Mateescu, M.; Nechifor, G.; Badalau, L.; Koter, I. Modeling of the cadmium transport through a bulk liquid membrane. Sep. Purif. Technol. 2013, 107, 135–143. [Google Scholar] [CrossRef]
- Szczepański, P.; Tanczos, S.K.; Ghindeanu, L.D.; Wódzki, R. Transport of p-nitrophenol in an agitated bulk liquid membrane system—Experimental and theoretical study by network analysis. Sep. Purif. Technol. 2014, 132, 616–626. [Google Scholar] [CrossRef]
- Craciun, M.E.; Mihai, M.; Nechifor, G. Characteristics of double jet immobilized membrane. Environ. Eng. Manag. J. 2009, 8, 771–776. [Google Scholar]
- Badea, N.N.; Crăciun, M.E.; Galeş, O.; Iarca, L.; Nechifor, G. Influence of the carrier (dibenzo-18 crown-6) on liquid membrane iodide separation. UPB Sci. Bull. Ser. B Chem. Mater. Sci. 2011, 73, 153–160. [Google Scholar]
- Park, Y.; Skelland, A.; Forney, L.J.; Kim, J.-H. Removal of phenol and substituted phenols by newly developed emulsion liquid membrane process. Water Res. 2006, 40, 1763–1772. [Google Scholar] [CrossRef]
- Bazhenov, S.D.; Bildyukevich, A.V.; Volkov, A.V. Gas-Liquid Hollow Fiber Membrane Contactors for Different Applications. Fibers 2018, 6, 76. [Google Scholar] [CrossRef] [Green Version]
- Iulianelli, A.; Drioli, E. Membrane engineering: Latest advancements in gas separation and pre-treatment processes, petrochemical industry and refinery, and future perspectives in emerging applications. Fuel Process. Technol. 2020, 206, 106464. [Google Scholar] [CrossRef]
- Cahn, R.P.; Li, N.N. Separation of Phenol from Waste Water by the Liquid Membrane Technique. Sep. Sci. 1974, 9, 505–519. [Google Scholar] [CrossRef]
- Chang, Y.C.; Li, S.P. A study of emulsified liquid membrane treatment of phenolic wastewater. Desalination 1983, 47, 351–361. [Google Scholar] [CrossRef]
- Yoshida, W.; Baba, Y.; Kubota, F.; Kolev, S.D.; Goto, M. Selective transport of scandium(III) across polymer inclusion membranes with improved stability which contain an amic acid carrier. J. Membr. Sci. 2019, 572, 291–299. [Google Scholar] [CrossRef]
- Alpaydin, S.; Saf, A.Ö.; Bozkurt, S.; Sirit, A. Kinetic study on removal of toxic metal Cr(VI) through a bulk liquid membrane containing p-tert-butylcalix[4]arene derivative. Desalination 2011, 275, 166–171. [Google Scholar] [CrossRef]
- Jusoh, N.; Othman, N.; Sulaiman, R.N.R.; Noah, N.F.M.; Kamarudin, K.S.N. Development of Palm Oil-Based Synergist Liquid Membrane Formulation for Silver Recovery from Aqueous Solution. J. Membr. Sci. Res. 2021, 7, 59–63. [Google Scholar]












| Component | Molar Mass (g/mol) | Density (830 kg/m3) | Solubility in Water (g/L) | Viscosity (cP) | Relative Polarity Measure * |
|---|---|---|---|---|---|
| n-hexanol | 102.17 | 814 | 5.900 | 0.59 | −0.579 |
| n-octanol | 130.23 | 830 | 0.300 | 7.36 | −0.567 |
| n-decanol | 158.28 | 830 | 0.037 | 12.05 | −0.540 |
| n-dodecanol | 186.34 | 831 | 0.004 | 18.80 | −0.511 |
| 10–undecen–1–ol | 170.29 | 846 | 0.044 | – | – |
| 10–undecylenic acid | 184.28 | 912 | 0.074 | – | – |
| Nanoparticles | Composition Fe–Ag (%) | Medium Dimension (nm) | Saturation Magnetization (emu/g) | Refs. | |
|---|---|---|---|---|---|
| NPFe–Ag1 | 70.59 | 0.21 | 35.4 | 1.40 | [40] |
| NPFe–Ag2 | 60.86 | 0.93 | 38.7 | 1.31 | [41,42] |
| NPFe–Ag3 | 57.55 | 1.12 | 41.5 | 1.13 | [42] |
| Liquid Membrane (LM) | Advantages | Disadvantages | Remedy Solutions |
|---|---|---|---|
| Bulk liquid membrane (BLM) | Accessible in the laboratory | High solvent consumption | Use of green solvents |
| Adaptable design | Difficultly scaling | Development of process engineering | |
| Easy change of experimental conditions | Small mass transfer area | Development of new contact systems | |
| Emulsion Liquid Membranes (ELM) | Huge mass transfer area | Emulsion instability | Development of process engineering |
| Accessible pilot scaling | Use of surfactants | Use of biodegradable surfactants | |
| Wide possibilities to change the operational parameters | The need to recover the transported species by breaking the emulsion | Improvement of the ways of breaking emulsions |
Publisher’s Note: MDPI stays neutral with regard to jurisdictional claims in published maps and institutional affiliations. |
© 2022 by the authors. Licensee MDPI, Basel, Switzerland. This article is an open access article distributed under the terms and conditions of the Creative Commons Attribution (CC BY) license (https://creativecommons.org/licenses/by/4.0/).
Share and Cite
Ferencz, A.; Grosu, A.R.; Al-Ani, H.N.A.; Nechifor, A.C.; Tanczos, S.-K.; Albu, P.C.; Crăciun, M.E.; Ioan, M.-R.; Grosu, V.-A.; Nechifor, G. Operational Limits of the Bulk Hybrid Liquid Membranes Based on Dispersion Systems. Membranes 2022, 12, 190. https://doi.org/10.3390/membranes12020190
Ferencz A, Grosu AR, Al-Ani HNA, Nechifor AC, Tanczos S-K, Albu PC, Crăciun ME, Ioan M-R, Grosu V-A, Nechifor G. Operational Limits of the Bulk Hybrid Liquid Membranes Based on Dispersion Systems. Membranes. 2022; 12(2):190. https://doi.org/10.3390/membranes12020190
Chicago/Turabian StyleFerencz (Dinu), Andreea, Alexandra Raluca Grosu, Hussam Nadum Abdalraheem Al-Ani, Aurelia Cristina Nechifor, Szidonia-Katalin Tanczos, Paul Constantin Albu, Mihaela Emanuela Crăciun, Mihail-Răzvan Ioan, Vlad-Alexandru Grosu, and Gheorghe Nechifor. 2022. "Operational Limits of the Bulk Hybrid Liquid Membranes Based on Dispersion Systems" Membranes 12, no. 2: 190. https://doi.org/10.3390/membranes12020190
APA StyleFerencz, A., Grosu, A. R., Al-Ani, H. N. A., Nechifor, A. C., Tanczos, S.-K., Albu, P. C., Crăciun, M. E., Ioan, M.-R., Grosu, V.-A., & Nechifor, G. (2022). Operational Limits of the Bulk Hybrid Liquid Membranes Based on Dispersion Systems. Membranes, 12(2), 190. https://doi.org/10.3390/membranes12020190

