Two-Dimensional Conjugated Mass Transfer of Carbon Dioxide Absorption in a Hollow-Fiber Gas-Liquid Membrane Contactor
Abstract
1. Introduction
2. Theoretical Formulation
- (1)
- Steady state and fully developed flow in each flowing channel;
- (2)
- Negligible axial diffusion and conduction, entrance length, and end effects;
- (3)
- Happel’s surface model used to characterize the velocity profile in the fiber cell;
- (4)
- Isothermal operation and constant physical properties;
- (5)
- The applicability of thermodynamic equilibrium and Henry’s law;
- (6)
- The chemical reaction is very fast and the equilibrium state is reached;
- (7)
- The hollow fiber membrane thickness can be neglected as compared to the hollow fiber radius.
2.1. Concurrent-Flow Operations
- (I)
- When
- (II)
- When ,
- (III)
- When ,
2.2. Countercurrent-Flow Operations
- (I)
- When
- (II)
- When and
- (III)
- When and
2.3. Absorbent Efficiency in the Gas/Liquid Membrane Absorption System
3. Membrane Modularization and Experimental Setup
4. Results and Discussion
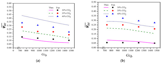
4.1. Outlet Concentration Distributions
4.2. Absorption Flux and Absorption Efficiency
5. Conclusions
- ●
- The absorption increases with the increase of the MEA absorbent Graetz number.
- ●
- The absorption efficiency is obtained by implementing fiber cells where the absorption rate enhancement of N = 19 fiber cells is higher than that of N = 7 fiber cells but increases with decreasing the inlet CO2 concentration.
- ●
- The absorption flux increases with an increase in the number of fiber cells and the inlet CO2 concentration.
- ●
- A more considerable absorption flux is achieved in countercurrent-flow operations than that in concurrent-flow operations due to utilizing the driving-force concentration gradient more effectively.
- ●
- Fore eigenvalues were used in the calculation procedure, and a good approximation was obtained, as indicated in Table 1. The results show that the agreement is fairly good in predicting the theoretical predictions, with an accuracy of for the absorption flux.
Author Contributions
Funding
Informed Consent Statement
Data Availability Statement
Acknowledgments
Conflicts of Interest
Abbreviations
| C | concentration in the stream (mol/m3) |
| Da | ordinary diffusion coefficient of CO2 in N2 (m2/s) |
| Db | ordinary diffusion coefficient of CO2 in MEA (m2/s) |
| Deq,b | the equivalent diameter of channel b (m) |
| dmn | coefficients in the eigenfunction |
| E | the accuracy of the experimental results |
| emn | coefficient in the eigenfunction |
| Fm | eigenfunction associated with eigenvalue |
| Gm | function defined during the use of orthogonal expansion method |
| Gza | Graetz number of gas feed stream |
| Gzb | absorbent Graetz number |
| H | Henry’s law constant |
| IM | absorption efficiency |
| local mass transfer coefficient for liquid phase (m/s) | |
| L | channel length (m) |
| N | the number of fiber cells |
| Nexp | the number of experimental measurements |
| Q | volumetric flow rate (m3/s) |
| r | transversal coordinate (m) |
| rf | free surface radius (m) |
| ri | fiber inside radius (m) |
| ro | fiber outside radius (m) |
| rs | shell outside radius (m) |
| Sm | expansion coefficient associated with eigenvalue |
| local Sherwood number | |
| averaged Sherwood number | |
| velocity distribution of fluid (m/s) | |
| averaged velocity of fluid (m/s) | |
| z | longitudinal coordinate (m) |
| Greek letters | |
| thickness of the porous membrane (m) | |
| membrane porosity | |
| packing density | |
| dimensionless transversal coordinate, r/rf | |
| eigenvalue | |
| dimensionless longitudinal coordinate, | |
| dimensionless concentration | |
| averaged dimensionless concentration | |
| absorption flux (mol/m2 s) | |
| experimental data of (mol/m2 s) | |
| theoretical prediction of (mol/m2 s) | |
| Superscripts and Subscripts | |
| a | in the gas feed flow channel |
| b | in the liquid absorbent flow channel |
| i | at the inlet |
| e | at the outlet |
References
- Li, R.; Xu, J.; Wang, L.; Li, J.; Sun, X. Reduction of VOC emissions by a membrane-based gas absorption process. J. Envirn. Sci. 2009, 21, 1096–1102. [Google Scholar] [CrossRef]
- Dindore, V.Y.; Brilman, D.W.F.; Geuzebroek, F.H.; Versteeg, G.F. Membrane-solvent selection for CO2 removal using membrane gas-liquid contactors. Sep. Purif. Technol. 2004, 40, 133–145. [Google Scholar] [CrossRef]
- Ramakula, P.; Prapasawada, T.; Pancharoena, U.; Pattaveekongkab, W. Separation of radioactive metal ions by hollow fiber-supported liquid membrane and permeability analysis. J. Chin. Inst. Chem. Eng. 2007, 38, 489–494. [Google Scholar] [CrossRef]
- Harbou, I.V.; Imle, M.; Hasse, H. Modeling and simulation of reactive absorption of CO2 with MEA: Results for four different packing on two different scales. Chem. Eng. Sci. 2014, 105, 179–190. [Google Scholar] [CrossRef]
- Lin, Y.F.; Ko, C.C.; Chen, C.H.; Tung, K.L.; Chang, K.S.; Chung, T.W. Sol-gel preparation of polymethylsilsesquioxane aerogel membranes for CO2 absorption fluxes in membrane contactors. Appl. Energy 2014, 129, 25–31. [Google Scholar] [CrossRef]
- Lin, Y.F.; Kuo, J.W. Mesoporous bis(trimethoxysilyl)hexane (BTMSH)/tetraethyl orthosilicate (TEOS)-based hybrid silica aerogel membranes for CO2 capture. Chem. Eng. J. 2016, 300, 29–35. [Google Scholar] [CrossRef]
- Bernardo, P.; Drioli, E.; Golemme, G. Membrane gas separation: A review/state of the art. Ind. Eng. Chem. Res. 2009, 48, 4638–4663. [Google Scholar] [CrossRef]
- Hamimour, N.; Sandall, O.C. Absorption of carbon dioxide into aqueous methyldiethanolamine. Chem. Eng. Sci. 1984, 39, 1791–1796. [Google Scholar] [CrossRef]
- Rochelle, G.T. Amine Scrubbing for CO2 Capture. Science 2009, 325, 1652–1654. [Google Scholar] [CrossRef]
- Tobiesen, F.A.; Svendsen, H.F. Study of a modified amine-based regeneration unit. Ind. Eng. Chem. Res. 2006, 45, 2489–2496. [Google Scholar] [CrossRef]
- Rongwong, W.; Boributh, S.; Assabumrungrat, S.; Laosiripojana, N.; Jiraratananon, R. Simultaneous absorption of CO2 and H2S from biogas by capillary membrane contactor. J. Membr. Sci. 2012, 392–393, 38–47. [Google Scholar] [CrossRef]
- Zhang, C.-Y.; Hu, H.-C.; Chai, X.-S.; Pan, L.; Xiao, X.-M. A novel method for the determination of adsorption partition coefficients of minor gases in a shale sample by headspace gas chromatography. J. Chromatogr. A 2013, 1310, 118–125. [Google Scholar] [CrossRef]
- Zhang, Z.E.; Yan, Y.F.; Zhang, L.; Ju, S.X.; Chen, Y.X.; Ran, J.Y.; Pu, G.; Qin, C.L. Theoretical Study on CO2 Absorption from Biogas by Membrane Contactors. Ind. Eng. Chem. Res. 2014, 53, 14075–14083. [Google Scholar] [CrossRef]
- Rezakazemi, M.; Sadrzadeh, M.; Matsuura, T. Thermally stable polymers for advanced high-performance gas separation membranes. Prog. Energy Combust. Sci. 2018, 66, 1–41. [Google Scholar] [CrossRef]
- Belaissaoui, B.; Favre, E. Evaluation of a dense skin hollow fiber gas-liquid membrane contactor for high pressure removal of CO2 from syngas using Selexol as the absorbent. Chem. Eng. Sci. 2018, 184, 186–199. [Google Scholar] [CrossRef]
- Lee, H.J.; Park, Y.G.; Kim, M.K.; Lee, S.H.; Park, J.H. Study on CO2 absorption performance of lab-scale ceramic hollow fiber membrane contactor by gas/liquid flow direction and module design. Sep. Purif. Technol. 2019, 220, 189–196. [Google Scholar] [CrossRef]
- Chen, L.; Ho, C.D.; Jen, L.Y.; Lim, J.W.; Chen, Y.H. Augmenting CO2 absorption flux through a gas-liquid membrane module by inserting carbon-fiber spacers. Membranes 2020, 10, 302–322. [Google Scholar] [CrossRef]
- Hosseinzadeh, A.; Hosseinzadeh, M.; Vatania, A.; Mohammadi, T. Mathematical modeling for the simultaneous absorption of CO2 and SO2 using MEA in hollow fiber membrane contactors. Chem. Eng. Process. 2017, 111, 35–45. [Google Scholar] [CrossRef]
- Zhang, Z.E.; Yan, Y.F.; Zhang, L.; Ju, S.X. Hollow fiber membrane contactor absorption of CO2 from the flue gas. Glob. NEST 2014, 16, 354–373. [Google Scholar]
- Zhang, Z.E.; Yan, Y.; Zhang, L.; Ju, S.X. Numerical simulation and analysis of CO2 removal in a polypropylene hollow fiber membrane contactor. Ind. Eng. Chem. 2014, 32, 1–7. [Google Scholar]
- Yang, M.C.; Cussler, E.L. Designing hollow-fiber contactor. AIChE J. 1986, 32, 1910–1915. [Google Scholar] [CrossRef]
- Costello, M.J.; Fane, A.G.; Hogan, P.A.; Schofield, R.W. The effect of shell side hydrodynamics on the performance of axial flow hollow fiber modules. J. Membr. Sci. 1993, 80, 1–11. [Google Scholar] [CrossRef]
- Lipnizki, F.; Field, R.W. Mass transfer performance for hollow fiber modules with shell-side axial feed flow: Using an engineering approach to develop a framework. J. Membr. Sci. 2001, 193, 195–208. [Google Scholar] [CrossRef]
- Chen, V.; Hlavacek, M. Application of Voronoi tessellation for modeling randomly packed hollow-fiber bundles. AIChE J. 1994, 40, 606–612. [Google Scholar] [CrossRef]
- Roger, J.D.; Long, R. Modeling hollow fiber membrane contactors using film theory, Voronoi tessellations, and facilitation factors for systems with interface reactions. J. Membr. Sci. 1997, 134, 1–17. [Google Scholar] [CrossRef]
- Zheng, J.M.; Xu, Y.Y.; Xu, Z.K. Shell side mass transfer characteristics in a parallel flow hollow fiber membrane module. Sep. Sci. Tech. 2003, 6, 1247–1267. [Google Scholar] [CrossRef]
- Cooney, D.O.; Jackson, C.C. Gas absorption in a hollow fiber device. Chem. Eng. Comm. 1989, 79, 153–163. [Google Scholar] [CrossRef]
- Perelman, T.L. On Conjugated problems of heat transfer. Int. J. Heat Mass Transf. 1961, 3, 293–303. [Google Scholar] [CrossRef]
- Shah, K.; Jain, A. An iterative, analytical method for solving conjugate heat transfer problem. Int. J. Heat Mass Transf. 2015, 90, 1232–1240. [Google Scholar] [CrossRef]
- Nunge, R.J.; Gill, W.N. An analytical study of laminar counterflow double-pipe heat exchangers. AIChE J. 1966, 12, 279–289. [Google Scholar] [CrossRef]
- Ho, C.D.; Yang, W.Y. Heat transfer of conjugated Graetz problems with laminar counterflow in double-pass concentric circular heat exchangers. Int. J. Heat Mass Transf. 2005, 48, 4474–4480. [Google Scholar] [CrossRef]
- Ho, C.D.; Sung, Y.J.; Chuang, Y.C. An analytical study of laminar concurrent flow membrane absorption through a hollow fiber gas-liquid membrane contactor. J. Membr. Sci. 2013, 428, 232–240. [Google Scholar] [CrossRef]
- Happel, J. Viscous flow relative to arrays of cylinders. AIChE J. 1959, 5, 174–177. [Google Scholar] [CrossRef]
- Zheng, Q.; Dong, L.; Chen, J.; Gao, G.; Fei, W. Absorption solubility calculation and process simulation for CO2 capture. J. Chem. Ind. Eng. 2010, 61, 1740–1746. [Google Scholar]
- Ho, C.D.; Chen, L.; Chen, L.; Liou, J.W.; Jen, L.Y. Theoretical and experimental studies of CO2 absorption by the amine solvent system in parallel-plate membrane contactors. Sep. Purif. Technol. 2018, 198, 128–136. [Google Scholar] [CrossRef]
- Ho, C.D. Improvement in performance of double-flow laminar countercurrent mass exchangers. J. Chem. Eng. Jpn. 2000, 33, 545–551. [Google Scholar] [CrossRef]
- Nunge, R.J.; Gill, W.N. Analysis of heat transfer in some countercurrent flows. Int. J. Heat Mass Transf. 1965, 8, 873–886. [Google Scholar] [CrossRef]










| n = 300 | |||||||||||||
| 3 | 0.0 | −0.199 | −4.113 | −13.814 | - | - | 0.063 | 0.021 | −0.080 | 7.06 | - | - | 0.1719 |
| 4 | 0.0 | −0.199 | −4.113 | −13.814 | −29.453 | - | 0.063 | 0.021 | −0.080 | 7.06 | −0.296 | - | 0.1620 |
| 5 | 0.0 | −0.199 | −4.113 | −13.814 | −29.453 | −51.063 | 0.064 | 0.021 | −0.080 | 7.06 | −0.296 | −0.927 | 0.1620 |
| n = 400 | |||||||||||||
| 3 | 0.0 | −0.132 | −3.857 | −13.455 | - | - | 0.457 | 0.106 | −0.082 | 9.98 | - | - | 0.0181 |
| 4 | 0.0 | −0.132 | −3.857 | −13.455 | 10.206 | - | 0.457 | 0.106 | −0.082 | 9.98 | −3.11 | - | 0.0199 |
| 5 | 0.0 | −0.132 | −3.857 | −13.455 | 10.206 | 29.023 | 0.457 | 0.106 | −0.082 | 9.98 | −3.11 | −4.20 | 0.0199 |
| CO2 (%) | ||||
|---|---|---|---|---|
| N = 7 | N = 19 | |||
| Concurrent | Countercurrent | Concurrent | Countercurrent | |
| 30 | 1.90 | 1.30 | 4.10 | 0.90 |
| 35 | 2.30 | 1.00 | 1.50 | 1.10 |
| 40 | 1.40 | 1.40 | 1.50 | 0.90 |
Publisher’s Note: MDPI stays neutral with regard to jurisdictional claims in published maps and institutional affiliations. |
© 2022 by the authors. Licensee MDPI, Basel, Switzerland. This article is an open access article distributed under the terms and conditions of the Creative Commons Attribution (CC BY) license (https://creativecommons.org/licenses/by/4.0/).
Share and Cite
Ho, C.-D.; Chen, L.; Huang, C.-C.; Chen, C.-H.; Chew, T.L.; Chen, Y.-H. Two-Dimensional Conjugated Mass Transfer of Carbon Dioxide Absorption in a Hollow-Fiber Gas-Liquid Membrane Contactor. Membranes 2022, 12, 1021. https://doi.org/10.3390/membranes12101021
Ho C-D, Chen L, Huang C-C, Chen C-H, Chew TL, Chen Y-H. Two-Dimensional Conjugated Mass Transfer of Carbon Dioxide Absorption in a Hollow-Fiber Gas-Liquid Membrane Contactor. Membranes. 2022; 12(10):1021. https://doi.org/10.3390/membranes12101021
Chicago/Turabian StyleHo, Chii-Dong, Luke Chen, Chien-Chang Huang, Chien-Hua Chen, Thiam Leng Chew, and Yu-Han Chen. 2022. "Two-Dimensional Conjugated Mass Transfer of Carbon Dioxide Absorption in a Hollow-Fiber Gas-Liquid Membrane Contactor" Membranes 12, no. 10: 1021. https://doi.org/10.3390/membranes12101021
APA StyleHo, C.-D., Chen, L., Huang, C.-C., Chen, C.-H., Chew, T. L., & Chen, Y.-H. (2022). Two-Dimensional Conjugated Mass Transfer of Carbon Dioxide Absorption in a Hollow-Fiber Gas-Liquid Membrane Contactor. Membranes, 12(10), 1021. https://doi.org/10.3390/membranes12101021

