Rejection Capacity of Nanofiltration Membranes for Nickel, Copper, Silver and Palladium at Various Oxidation States
Abstract
1. Introduction
2. Materials and Methods
2.1. Chemical Analysis
2.2. Experimental Set Up (Dead-End Module)
2.3. Characterization of the Materials
Water Permeability Study
2.4. Scanning Electron Microscopy (SEM)
2.5. Contact Angle Measurement
3. Results and Discussion
3.1. Membrane Wettability
3.2. Salt Retention Measurements
3.2.1. Single Salt Rejection
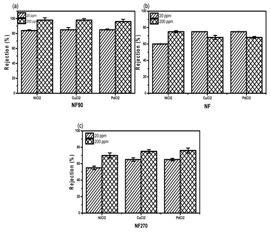
3.2.2. Metal Rejection Capacity
4. Conclusions
Author Contributions
Funding
Institutional Review Board Statement
Informed Consent Statement
Data Availability Statement
Acknowledgments
Conflicts of Interest
References
- Dobson, R.S.; Burgess, J.E. Biological treatment of precious metal refinery wastewater: A review. Miner. Eng. 2007, 20, 519–532. [Google Scholar] [CrossRef]
- Zou, H.S.; Chu, Z.Q.; Lin, G. A novel recovery technology of trace precious metals from waste water by combining agglomeration and adsorption. Trans. Nonferrous Met. Soc. China 2007, 17, 858–863. [Google Scholar] [CrossRef]
- Al-Rashdi, B.; Somerfield, C.; Hilal, N. Heavy metals removal using adsorption and nanofiltration techniques. Sep. Purif. Rev. 2011, 40, 209–259. [Google Scholar] [CrossRef]
- Mohammad, A.W.; Othaman, R.; Hilal, N. Potential use of nanofiltration membranes in treatment of industrial wastewater from Ni-P electroless plating. Desalination 2004, 168, 241–252. [Google Scholar] [CrossRef]
- Murthy, Z.V.P.; Chaudhari, L.B. Separation of binary heavy metals from aqueous solutions by nanofiltration and characterization of the membrane using Spiegler-Kedem model. Chem. Eng. J. 2009, 150, 181–187. [Google Scholar] [CrossRef]
- Lopez, J.; Reig, M.; Gibert, O.; Valderrama, C.; Cortina, J.L. Evaluation of NF membranes as treatment technology of acid mine drainage: Metals and sulfate removal. Desalination 2018, 440, 122–134. [Google Scholar] [CrossRef]
- Siddique, T.A.; Dutta, N.K.; Choudhury, N.R. Nanofiltration for arsenic removal: Challenges, recent developments, and perspectives. Nanomaterials 2020, 10, 1323. [Google Scholar] [CrossRef] [PubMed]
- Ramos, R.L.; Grossi, L.B.; Ricci, B.C.; Amaral, M.C.S. Membrane selection for the Gold mining pressure-oxidation process (POX) effluent reclamation using integrated UF-NF-RO processes. J. Environ. Chem. Eng. 2020, 8. [Google Scholar] [CrossRef]
- López, J.; Reig, M.; Vecino, X.; Cortina, J.L. Arsenic impact on the valorisation schemes of acidic mine waters of the Iberian Pyrite Belt: Integration of selective precipitation and spiral-wound nanofiltration processes. J. Hazard. Mater. 2021, 403. [Google Scholar] [CrossRef]
- Heidmann, I.; Calmano, W. Removal of Zn (II), Cu (II), Ni (II), Ag (II) and Cr (IV) present in aqueous solution by aluminium electrocoagulation. J. Hazard. Mater. 2008, 152, 934–941. [Google Scholar] [CrossRef]
- Qin, J.J.; Wai, M.N.; Oo, M.H.; Lee, H. A pilot study for reclamation of a combined rinse from a nickel-plating operation using a dual-membrane UF/RO process. Desalination 2004, 161, 155–167. [Google Scholar] [CrossRef]
- Xaba, B.M.; Modise, S.J.; Okoli, B.J.; Monapathi, M.E.; Nelana, S. Characterization of Selected Polymeric Membranes Used in the Separation and Recovery of Palladium-Based Catalyst Systems. Membranes 2020, 10, 166. [Google Scholar] [CrossRef]
- Ghorbani, A.; Bayati, B.; Poerio, T.; Argurio, P.; Kikhavani, T.; Namdari, M.; Ferreira, L.M. Application of NF Polymeric Membranes for Removal of Multicomponent Heat-Stable Salts (HSS) Ions from Methyl Diethanolamine (MDEA) Solutions. Molecules 2020, 25, 4911. [Google Scholar] [CrossRef] [PubMed]
- Tang, B.; Huo, Z.; Wu, P. Study on a novel polyester composite nanofiltration membrane by interfacial polymerization of triethanolamine (TEOA) and trimesoyl chloride (TMC). I. Preparation, characterization and nanofiltration properties test of membrane. J. Membr. Sci. 2008, 320, 198–205. [Google Scholar] [CrossRef]
- López Rodríguez, J. Integration of Nanofiltration and Diffusion Dialysis for the Sustainable Management of Acidic Liquid Wastes. Ph.D. Thesis, Universitat Politècnica de Catalunya, Barcelona, Spain, 2019. [Google Scholar]
- López, J.; Reig, M.; Gibert, O.; Cortina, J.L. Recovery of sulphuric acid and added value metals (Zn, Cu and rare earths) from acidic mine waters using nanofiltration membranes. Sep. Purif. Technol. 2019, 212, 180–190. [Google Scholar] [CrossRef]
- Boucher, L.J. Advanced Inorganic Chemistry, Fifth Edition (Cotton, Albert F.; Wilkinson, Geoffrey). J. Chem. Educ. 1989, 66, A104. [Google Scholar] [CrossRef]
- Richards, L.A.; Richards, B.S.; Corry, B.; Schäfer, A.I. Experimental energy barriers to anions transporting through nanofiltration membranes. Environ. Sci. Technol. 2013, 47, 1968–1976. [Google Scholar] [CrossRef]
- Nghiem, L.D.; Schäfer, A.I.; Elimelech, M. Pharmaceutical retention mechanisms by nanofiltration membranes. Environ. Sci. Technol. 2005, 39, 7698–7705. [Google Scholar] [CrossRef]
- Nghiem, L.D.; Schäfer, A.I.; Elimelech, M. Nanofiltration of hormone mimicking trace organic contaminants. Sep. Sci. Technol. 2005, 40, 2633–2649. [Google Scholar] [CrossRef]
- Lau, W.J.; Ismail, A.F.; Misdan, N.; Kassim, M.A. A recent progress in thin film composite membrane: A review. Desalination 2012, 287, 190–199. [Google Scholar] [CrossRef]
- Seah, M.Q.; Lau, W.J.; Goh, P.S.; Tseng, H.H.; Wahab, R.A.; Ismail, A.F. Progress of interfacial polymerization techniques for polyamide thin film (Nano)composite membrane fabrication: A comprehensive review. Polymers 2020, 12, 2817. [Google Scholar] [CrossRef] [PubMed]
- Yildirim, Y.; Topaloğlu, A.K.; Ince, M.; Kajama, M.N. The use of NF and RO membrane system for reclamation and recycling of wastewaters generated from a hard coal mining. Niger. J. Technol. 2019, 38, 1048. [Google Scholar] [CrossRef]
- Ochando-Pulido, J.M.; Martínez-Férez, A.; Stoller, M. Analysis of the flux performance of different RO/NF membranes in the treatment of agroindustrial wastewater by means of the boundary flux theory. Membranes 2019, 9, 2. [Google Scholar] [CrossRef]
- Emamjomeh, M.M.; Torabi, H.; Mousazadeh, M.; Alijani, M.H.; Gohari, F. Impact of independent and non-independent parameters on various elements’ rejection by nanofiltration employed in groundwater treatment. Appl. Water Sci. 2019, 9, 1–10. [Google Scholar] [CrossRef]
- Van Der Bruggen, B.; Vandecasteele, C. Removal of pollutants from surface water and groundwater by nanofiltration: Overview of possible applications in the drinking water industry. Environ. Pollut. 2003, 122, 435–445. [Google Scholar] [CrossRef]
- Hussain, A.A.; Abashar, M.E.E.; Al-Mutaz, I.S. Influence of ion size on the prediction of nanofiltration membrane systems. Desalination 2007, 214, 150–166. [Google Scholar] [CrossRef]
- Agus, N.; Saranga, A.; Rosmana, A.; Sugiarti, A. International Journal of Scientific & Technology Research. Available online: http://www.ijstr.org/paper-references.php?ref=IJSTR-0819-21335 (accessed on 28 February 2021).
- Frejtag, W.; Burnette, J.; Kang, B.; Smith, R.M.; Vogel, S.S. An increase in surface area is not required for cell division in early sea urchin development. Dev. Biol. 2003, 259, 62–70. [Google Scholar] [CrossRef][Green Version]










| Membrane | NF90 | NF270 | NF |
|---|---|---|---|
| Manufactures | Dow/Filmtec | Dow/Filmtec | Dow/Filmtec |
| Material | Polyamide | Polyamide | Polypiperazine |
| Membrane type | FS | FS | FS |
| Maximum operating temp. (°C) | 45 | 45 | 45 |
| Surface charge @ pH 7 | −10 ± 2 | −18 ± 1 | −24 ± 2 |
| pH range | 2–11 | 2–11 | 3–10 |
| MWCO (Da) | 150 | 200 | 150 |
| Symbols | Parameter | Units |
|---|---|---|
| V | Volume flux | L |
| S | Surface area of the membrane | m2 |
| T | Time | h |
| Jw | Permeate flux | L·m−2·h−1 |
| ∆P | Trans-membrane pressure | bar |
| Aw | Water permeability coefficient | L·m−2·h−1·bar−1 |
| Δπ | Osmotic pressure difference | bar |
| ε | Surface porosity | |
| τ | Membrane tortuosity | |
| η | Viscosity | Pa·s |
| Δx | Membrane thickness | m |
| r | Pore radius | |
| cp | Concentration of solute on the permeate side | mg/L |
| cf | Concentration of solute on the feed side | mg/L |
| R | Observed rejection of salt | % |
| Membrane | Aw (L·m−2·h−1·bar−1) |
|---|---|
| NF90 | 2.10 |
| NF | 3.58 |
| NF270 | 7.46 |
| Membrane | Contact Angle (°) |
|---|---|
| NF90 | 47.3 ± 2.0 |
| NF | 32.1 ± 2.3 |
| NF270 | 26.1 ± 2.1 |
Publisher’s Note: MDPI stays neutral with regard to jurisdictional claims in published maps and institutional affiliations. |
© 2021 by the authors. Licensee MDPI, Basel, Switzerland. This article is an open access article distributed under the terms and conditions of the Creative Commons Attribution (CC BY) license (https://creativecommons.org/licenses/by/4.0/).
Share and Cite
Thabo, B.; Okoli, B.J.; Modise, S.J.; Nelana, S. Rejection Capacity of Nanofiltration Membranes for Nickel, Copper, Silver and Palladium at Various Oxidation States. Membranes 2021, 11, 653. https://doi.org/10.3390/membranes11090653
Thabo B, Okoli BJ, Modise SJ, Nelana S. Rejection Capacity of Nanofiltration Membranes for Nickel, Copper, Silver and Palladium at Various Oxidation States. Membranes. 2021; 11(9):653. https://doi.org/10.3390/membranes11090653
Chicago/Turabian StyleThabo, Brooms, Bamidele Joseph Okoli, Sekomeng Johannes Modise, and Simphiwe Nelana. 2021. "Rejection Capacity of Nanofiltration Membranes for Nickel, Copper, Silver and Palladium at Various Oxidation States" Membranes 11, no. 9: 653. https://doi.org/10.3390/membranes11090653
APA StyleThabo, B., Okoli, B. J., Modise, S. J., & Nelana, S. (2021). Rejection Capacity of Nanofiltration Membranes for Nickel, Copper, Silver and Palladium at Various Oxidation States. Membranes, 11(9), 653. https://doi.org/10.3390/membranes11090653

