Fouling Mitigation by Optimizing Flow Rate and Pulsed Electric Field during Bipolar Membrane Electroacidification of Caseinate Solution
Abstract
:1. Introduction
2. Materials and Methods
2.1. Materials
2.2. Methods
2.2.1. Electrodialysis Cell
2.2.2. Protocol
2.2.3. Analyses and Calculations
Solution Conductivity
Solution pH
Membrane Thickness and Electrical Conductivity
Foulant Amount
Membrane Surface Photographs
Number of Charges Transported
Energy Consumptions
Reynolds Numbers
Statistical Analyses
3. Results and Discussion
3.1. Evolution of pH
3.1.1. Caseinate Stream
3.1.2. KCl Stream
3.2. Cake Layer Foulant Morphology and Density
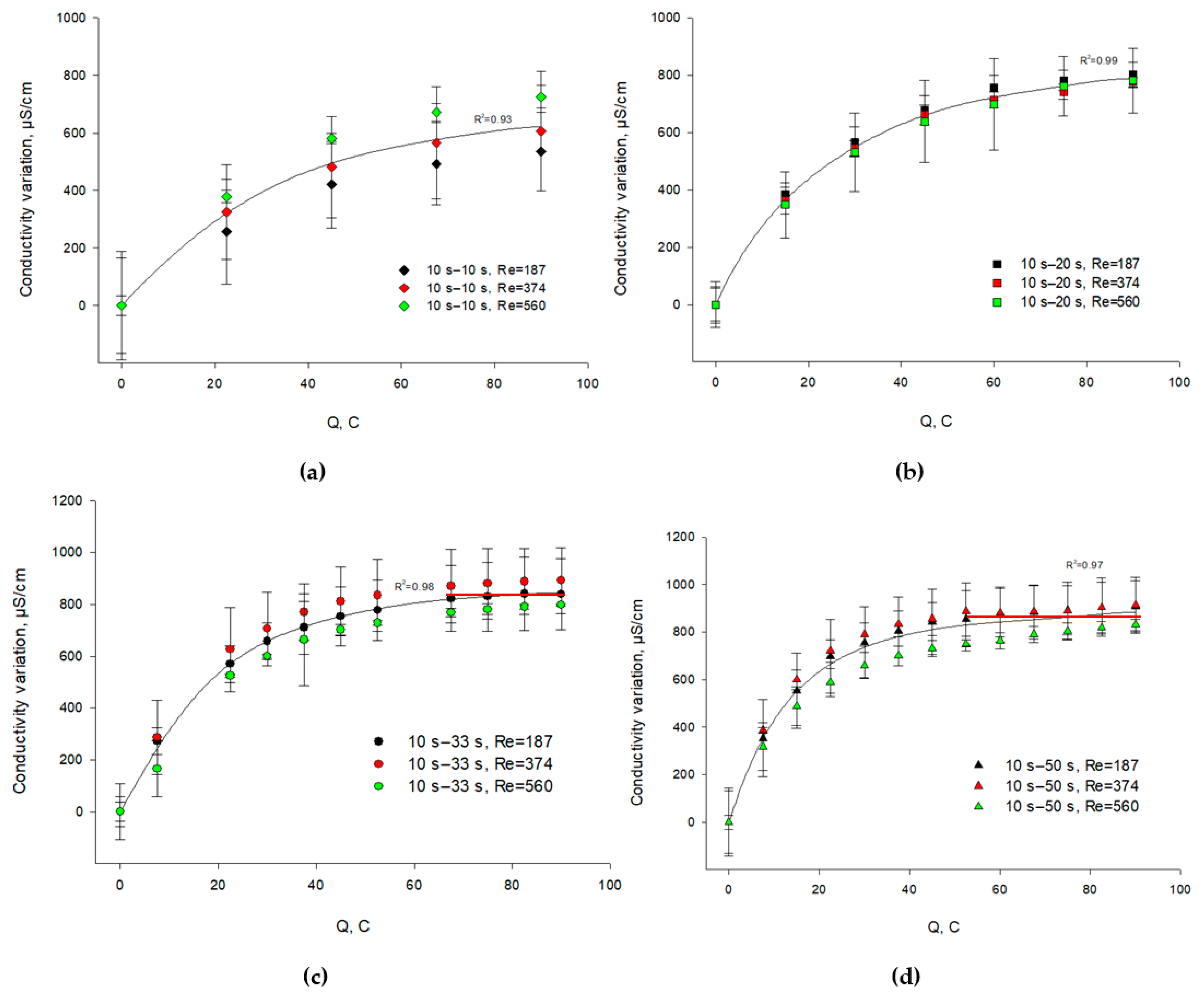
3.3. Evolution of Conductivity
3.3.1. Caseinate Stream
3.3.2. KCl Stream
3.4. Mineral Content of KCl Stream
3.5. Membrane Parameters
3.6. Energy Consumptions
4. Conclusions
Supplementary Materials
Author Contributions
Funding
Institutional Review Board Statement
Informed Consent Statement
Acknowledgments
Conflicts of Interest
References
- Pelletier, S.; Serre, E.; Mikhaylin, S.; Bazinet, L. Optimization of cranberry juice deacidification by electrodialysis with bipolar membrane: Impact of pulsed electric field conditions. Sep. Purif. Technol. 2017, 186, 106–116. [Google Scholar] [CrossRef]
- Lemay, N.; Mikhaylin, S.; Bazinet, L. Voltage spike and electroconvective vortices generation during electrodialysis under pulsed electric field: Impact on demineralization process efficiency and energy consumption. Innov. Food Sci. Emerg. Technol. 2019, 52, 221–231. [Google Scholar] [CrossRef]
- Ma, H.; Yue, S.; Li, H.; Wang, Q.; Tu, M. Recovery of lactic acid and other organic acids from food waste ethanol fermentation stillage: Feasibility and effects of substrates. Sep. Purif. Technol. 2019, 209, 223–228. [Google Scholar] [CrossRef]
- Bazinet, L.; Lamarche, F.; Ippersiel, D.; Amiot, J. Bipolar membrane electroacidification to produce bovine milk casein isolate. J. Agric. Food Chem. 1999, 47, 5291–5296. [Google Scholar] [CrossRef]
- AlSawaftah, N.; Abuwatfa, W.; Darwish, N.; Husseini, G. A Comprehensive Review on Membrane Fouling: Mathematical Modelling, Prediction, Diagnosis, and Mitigation. Water 2021, 13, 1327. [Google Scholar] [CrossRef]
- Bazinet, L.; Ippersiel, D.; Montpetit, D.; Mahdavi, B.; Amiot, J.; Lamarche, F. Effect of membrane permselectivity on the fouling of cationic membranes during skim milk electroacidification. J. Membr. Sci. 2000, 174, 97–110. [Google Scholar] [CrossRef]
- Mondor, M.; Ippersiel, D.; Lamarche, F.; Masse, L. Fouling characterization of electrodialysis membranes used for the recovery and concentration of ammonia from swine manure. Bioresour. Technol. 2009, 100, 566–571. [Google Scholar] [CrossRef]
- Maddah, H.; Chogle, A. Biofouling in reverse osmosis: Phenomena, monitoring, controlling and remediation. Appl. Water Sci. 2017, 7, 2637–2651. [Google Scholar] [CrossRef] [Green Version]
- Mikhaylin, S.; Bazinet, L. Fouling on ion-exchange membranes: Classification, characterization and strategies of prevention and control. Adv. Colloid Interface Sci. 2016, 229, 34–56. [Google Scholar] [CrossRef] [PubMed]
- Bazinet, L.; Geoffroy, T.R. Electrodialytic Processes: Market Overview, Membrane Phenomena, Recent Developments and Sustainable Strategies. Membranes 2020, 10, 221. [Google Scholar] [CrossRef] [PubMed]
- Karlin, Y.V.; Kropotov, V.N. Electrodialysis separation of Na+ and Ca2+ in a pulsed current mode. Russ. J. Electrochem. 1995, 31, 472–476. [Google Scholar]
- Nikonenko, V.V.; Mareev, S.A.; Pismenskaya, N.D.; Uzdenova, A.M.; Kovalenko, A.V.; Urtenov, M.K.; Pourcelly, G. Effect of electroconvection and its use in intensifying the mass transfer in electrodialysis (Review). Russ. J. Electrochem. 2017, 53, 1122–1144. [Google Scholar] [CrossRef]
- Malek, P.; Ortiz, J.M.; Richards, B.S.; Schäfer, A.I. Electrodialytic removal of NaCl from water: Impacts of using pulsed electric potential on ion transport and water dissociation phenomena. J. Membr. Sci. 2013, 435, 99–109. [Google Scholar] [CrossRef] [Green Version]
- Park, J.-S.; Lee, H.-J.; Moon, S.-H. Determination of an optimum frequency of square wave power for fouling mitigation in desalting electrodialysis in the presence of humate. Sep. Purif. Technol. 2003, 30, 101–112. [Google Scholar] [CrossRef]
- Suwal, S.; Amiot, J.; Beaulieu, L.; Bazinet, L. Effect of pulsed electric field and polarity reversal on peptide/amino acid migration, selectivity and fouling mitigation. J. Membr. Sci. 2016, 510, 405–416. [Google Scholar] [CrossRef]
- Haddad, M.; Bazinet, L.; Savadogo, O.; Paris, J. Electrochemical acidification of Kraft black liquor: Impacts of pulsed electric field application on bipolar membrane colloidal fouling and process intensification. J. Membr. Sci. 2017, 524, 482–492. [Google Scholar] [CrossRef]
- Lee, H.-J.; Oh, S.J.; Moon, S.-H. Removal of hardness in fermentation broth by electrodialysis. J. Chem. Technol. Biotechnol. 2002, 77, 1005–1012. [Google Scholar] [CrossRef]
- Lee, H.-J.; Oh, S.J.; Moon, S.-H. Recovery of ammonium sulfate from fermentation waste by electrodialysis. Water Res. 2003, 37, 1091–1099. [Google Scholar] [CrossRef]
- Ruiz, B.; Sistat, P.; Huguet, P.; Pourcelly, G.; Araya-Farias, M.; Bazinet, L. Application of relaxation periods during electrodialysis of a casein solution: Impact on anion-exchange membrane fouling. J. Membr. Sci. 2007, 287, 41–50. [Google Scholar] [CrossRef]
- Nichka, V.S.; Geoffroy, T.R.; Nikonenko, V.; Bazinet, L. Impacts of Flow Rate and Pulsed Electric Field Current Mode on Protein Fouling Formation during Bipolar Membrane Electroacidification of Skim Milk. Membranes 2020, 10, 200. [Google Scholar] [CrossRef]
- Eigel, W.N.; Butler, J.E.; Ernstrom, C.A.; Farrell, H.M.; Harwalkar, V.R.; Jenness, R.; Whitney, R.M. Nomenclature of Proteins of Cow’s Milk: Fifth Revision. J. Dairy Sci. 1984, 67, 1599–1631. [Google Scholar] [CrossRef]
- Modler, H.W. Functional Properties of Nonfat Dairy Ingredients—A Review. Modification of Products Containing Casein. J. Dairy Sci. 1985, 68, 2195–2205. [Google Scholar] [CrossRef]
- Cifuentes-Araya, N.; Pourcelly, G.; Bazinet, L. Impact of pulsed electric field on electrodialysis process performance and membrane fouling during consecutive demineralization of a model salt solution containing a high magnesium/calcium ratio. J. Colloid Interface Sci. 2011, 361, 79–89. [Google Scholar] [CrossRef]
- Lteif, R.; Dammak, L.; Larchet, C.; Auclair, B. Conductivité électrique membranaire: Étude de l’effet de la concentration, de la nature de l’électrolyte et de la structure membranaire. Eur. Polym. J. 1999, 35, 1187–1195. [Google Scholar] [CrossRef]
- Lebrun, L.; Da Silva, E.; Pourcelly, G.; Métayer, M. Elaboration and characterisation of ion-exchange films used in the fabrication of bipolar membranes. J. Membr. Sci. 2003, 227, 95–111. [Google Scholar] [CrossRef]
- Tanaka, Y. Ion Exchange Membranes: Fundamentals and Applications, 1st ed.; Elsevier Science: Amsterdam, The Netherlands, 2007; pp. 205–244. [Google Scholar]
- Dinkov, K.; Dushkova, M.; Toshkov, N. Regression models for density and viscosity of ultrafiltration milk concentrates. Bulg. J. Agric. Sci. 2008, 14, 542–548. [Google Scholar]
- Balster, J.; Punt, I.; Stamatialis, D.; Wessling, M. Multi-layer spacer geometries with improved mass transport. J. Membr. Sci. 2006, 282, 351–361. [Google Scholar] [CrossRef]
- Bazinet, L.; Lamarche, F.; Ippersiel, D.; Gendron, C.; Mahdavi, B.; Amiot, J. Comparison of Electrochemical and Chemical Acidification of Skim Milk. J. Food Sci. 2000, 65, 1303–1307. [Google Scholar] [CrossRef]
- Bazinet, L.; Ippersiel, D.; Gendron, C.; Beaudry, J.; Mahdavi, B.; Amiot, J.; Lamarche, F. Cationic balance in skim milk during bipolar membrane electroacidification. J. Membr. Sci. 2000, 173, 201–209. [Google Scholar] [CrossRef]
- Lorient, D.; Alais, C. Dégradation thermique des caséines αs et β de vache. Biochimie 1974, 56, 667–673. [Google Scholar] [CrossRef]
- Casademont, C.; Sistat, P.; Ruiz, B.; Pourcelly, G.; Bazinet, L. Electrodialysis of model salt solution containing whey proteins: Enhancement by pulsed electric field and modified cell configuration. J. Membr. Sci. 2009, 328, 238–245. [Google Scholar] [CrossRef]
- Grossman, G.; Sonin, A.A. Experimental study of the effects of hydrodynamics and membrane fouling in electrodialysis. Desalination 1972, 10, 157–180. [Google Scholar] [CrossRef]
- Grossman, G.; Sonin, A.A. Membrane fouling in electrodialysis: A model and experiments. Desalination 1973, 12, 107–125. [Google Scholar] [CrossRef]
- Nikonenko, V.V.; Pismenskaya, N.D.; Belova, E.I.; Sistat, P.; Huguet, P.; Pourcelly, G.; Larchet, C. Intensive current transfer in membrane systems: Modelling, mechanisms and application in electrodialysis. Adv. Colloid Interface Sci. 2010, 160, 101–123. [Google Scholar] [CrossRef] [PubMed]
- Damaskin, B.B.; Petriy, O.A.; Tsirlina, G.A. Elektrokhimiya [Electrochemistry]; Khimiya, Koloss: Moscow, Russia, 2006; pp. 147–151. (In Russian) [Google Scholar]
- Bazinet, L.; Montpetit, D.; Ippersiel, D.; Mahdavi, B.; Amiot, J.; Lamarche, F. Neutralization of hydroxide generated during skim milk electroacidification and its effect on bipolar and cationic membrane integrity. J. Membr. Sci. 2003, 216, 229–239. [Google Scholar] [CrossRef]
- Aritomi, T.; van den Boomgaard, T.; Strathmann, H. Current-voltage curve of a bipolar membrane at high current density. Desalination 1996, 104, 13–18. [Google Scholar] [CrossRef] [Green Version]









| Na, ppm | K, ppm | Mg, ppm | Ca, ppm | P, ppm |
|---|---|---|---|---|
| 359.4 | 0.77 | 0.32 | 7.58 | 211.9 |
| Subunit | MW (kDa) | pI | Phosphates/Mole |
|---|---|---|---|
| α-s1 | 22–23.7 | 4.2–4.7 | 8–10 |
| α-s2 | 25 | - | 10–13 |
| Β | 24 | 4.6–5.1 | 4–5 |
| Κ | 19 | 4.1–5.8 | 1 |
| Ca (ppm) | K (ppm) | Na (ppm) | P (ppm) | Cl (ppm) | ||||||||||||
|---|---|---|---|---|---|---|---|---|---|---|---|---|---|---|---|---|
| PEF Ratio | Re | Initial | Final | Variation | Initial | Final | Variation | Initial | Final | Variation | Initial | Final | Variation | Initial | Final | Variation |
| 10 s–10 s | 187 | 0.317 ± 0.090 | 0.115 ± 0.171 | −0.202 ± 0.202 Aa | 610 ± 6 | 596 ± 33 | −13 ± 30 Aa | 18.8 ± 6.2 | 62.1 ± 9.8 | 43.3 ± 5.3 Aa | 0.023 ± 0.009 | 0.039 ± 0.013 | 0.016 ± 0.020 Aa | 669 ± 21 | 653 ± 55 | −16 ± 47 Aa |
| 374 | 0.436 ± 0.141 | 0.064 ± 0.070 | −0.372 ± 0.076 Aa | 670 ± 18 | 626 ± 35 | −44 ± 34 Aa | 23.3 ± 3.0 | 78.0 ± 3.6 | 54.8 ± 1.9 Aa | 0.035 ± 0.003 | 0.058 ± 0.010 | 0.018 ± 0.006 Aa | 727 ± 10 | 698 ± 51 | −29 ± 40 Aa | |
| 560 | 0.297 ± 0.047 | 0.025 ± 0.004 | −0.272 ± 0.043 Aa | 643 ± 31 | 620 ± 35 | −23 ± 29 Aa | 16.3 ± 3.1 | 71.7 ± 6.4 | 55.4 ± 3.8 Aa | 0.055 ± 0.032 | 0.046 ± 0.036 | −0.019 ± 0.0031 Aa | 694 ± 14 | 704 ± 58 | 10 ± 44 Aa | |
| 10 s–20 s | 187 | 0.194 ± 0.049 | 0.021 ± 0.004 | −0.173 ± 0.045 Aa | 684 ± 47 | 742 ± 73 | 58 ± 40 Aa | 16.4 ± 5.3 | 77.4 ± 2.4 | 61.0 ± 4.4 Ba | 0.041 ± 0.011 | 0.056 ± 0.032 | 0.016 ± 0.043 Aa | 689 ± 31 | 675 ± 20 | −14 ± 29 Aa |
| 374 | 0.267 ± 0.019 | 0.029 ± 0.021 | −0.238 ± 0.098 Aa | 741 ± 59 | 691 ± 54 | −50 ± 40 Aa | 19.3 ± 3.7 | 84.2 ± 9.0 | 64.9 ± 5.2 Ba | 0.025 ± 0.006 | 0.030 ± 0.011 | 0.010 ± 0.017 Aa | 659 ± 42 | 733 ± 43 | 74 ± 72 Aa | |
| 560 | 0.245 ± 0.025 | 0.029 ± 0.007 | −0.216 ± 0.023 Aa | 721 ± 74 | 728 ± 35 | 7 ± 46 Aa | 15.7 ± 2.7 | 87.0 ± 3.2 | 71.3 ± 5.3 Ba | 0.015 ± 0.001 | 0.048 ± 0.021 | 0.034 ± 0.030 Aa | 642 ± 7 | 699 ± 59 | 57 ± 66 Aa | |
| 10 s–33 s | 187 | 0.186 ± 0.063 | 0.015 ± 0.004 | −0.170 ± 0.060 Aa | 699 ± 50 | 691 ± 45 | −8 ± 43 Aa | 15.3 ± 1.9 | 81.2 ± 6.2 | 65.9 ± 4.3 Ca | 0.016 ± 0.003 | 0.046 ± 0.007 | 0.029 ± 0.005 Aa | 669 ± 40 | 666 ± 42 | −4 ± 26 Aa |
| 374 | 0.293 ± 0.127 | 0.035 ± 0.022 | −0.258 ± 0.110 Aa | 776 ± 64 | 697 ± 22 | −79 ± 46 Aa | 17.2 ± 6.8 | 91.4 ± 6.0 | 74.2 ± 2.1 Cab | 0.015 ± 0.001 | 0.043 ± 0.025 | 0.028 ± 0.025 Aa | 665 ± 44 | 706 ± 27 | 41 ± 25 Aa | |
| 560 | 0.216 ± 0.115 | 0.029 ± 0.022 | −0.187 ± 0.094 Aa | 729 ± 52 | 728 ± 53 | −2 ± 35 Aa | 17.1 ± 2.3 | 98.6 ± 9.8 | 81.4 ± 8.5 Cb | 0.025 ± 0.011 | 0.066 ± 0.017 | 0.041 ± 0.020 Aa | 669 ± 74 | 703 ± 39 | 33 ± 71 Aa | |
| 10 s–50 s | 187 | 0.178 ± 0.040 | 0.022 ± 0.009 | −0.156 ± 0.034 Aa | 730 ± 48 | 689 ± 31 | −42 ± 18 Aa | 14.5 ± 2.4 | 95.0 ± 3.0 | 80.5 ± 3.5 Da | 0.019 ± 0.004 | 0.029 ± 0.006 | 0.011 ± 0.004 Aa | 631 ± 25 | 670 ± 115 | 39 ± 92 Aa |
| 374 | 0.240 ± 0.009 | 0.059 ± 0.014 | −0.182 ± 0.013 Aa | 770 ± 10 | 765 ± 64 | −4 ± 61 Aa | 14.5 ± 1.4 | 113.6 ± 11.2 | 99.1 ± 10.0 Dbc | 0.025 ± 0.008 | 0.065 ± 0.022 | 0.040 ± 0.029 Aa | 696 ± 100 | 713 ± 108 | 17 ± 15 Aa | |
| 560 | 0.442 ± 0.214 | 0.078 ± 0.006 | −0.364 ± 0.208 Aa | 757 ± 31 | 716 ± 69 | −41 ± 100 Aa | 20.2 ± 3.1 | 116.5 ± 15.9 | 96.4 ± 12.9 Dc | 0.017 ± 0.016 | 0.049 ± 0.016 | 0.032 ± 0.016 Aa | 736 ± 73 | 749 ± 99 | 14 ± 26 Aa | |
Publisher’s Note: MDPI stays neutral with regard to jurisdictional claims in published maps and institutional affiliations. |
© 2021 by the authors. Licensee MDPI, Basel, Switzerland. This article is an open access article distributed under the terms and conditions of the Creative Commons Attribution (CC BY) license (https://creativecommons.org/licenses/by/4.0/).
Share and Cite
Nichka, V.S.; Nikonenko, V.V.; Bazinet, L. Fouling Mitigation by Optimizing Flow Rate and Pulsed Electric Field during Bipolar Membrane Electroacidification of Caseinate Solution. Membranes 2021, 11, 534. https://doi.org/10.3390/membranes11070534
Nichka VS, Nikonenko VV, Bazinet L. Fouling Mitigation by Optimizing Flow Rate and Pulsed Electric Field during Bipolar Membrane Electroacidification of Caseinate Solution. Membranes. 2021; 11(7):534. https://doi.org/10.3390/membranes11070534
Chicago/Turabian StyleNichka, Vladlen S., Victor V. Nikonenko, and Laurent Bazinet. 2021. "Fouling Mitigation by Optimizing Flow Rate and Pulsed Electric Field during Bipolar Membrane Electroacidification of Caseinate Solution" Membranes 11, no. 7: 534. https://doi.org/10.3390/membranes11070534
APA StyleNichka, V. S., Nikonenko, V. V., & Bazinet, L. (2021). Fouling Mitigation by Optimizing Flow Rate and Pulsed Electric Field during Bipolar Membrane Electroacidification of Caseinate Solution. Membranes, 11(7), 534. https://doi.org/10.3390/membranes11070534
