Simulations on Simple Models of Connexin Hemichannels Indicate That Ca2+ Blocking Is Not a Pure Electrostatic Effect
Abstract
1. Introduction
2. Materials and Methods
2.1. Modelling
2.2. Molecular Dynamics Simulations
2.3. Permeation Events
2.4. Relative Density
2.5. Survival Probability, Dipolar Orientation and Relaxation of Water
3. Results
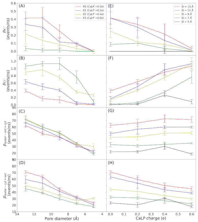
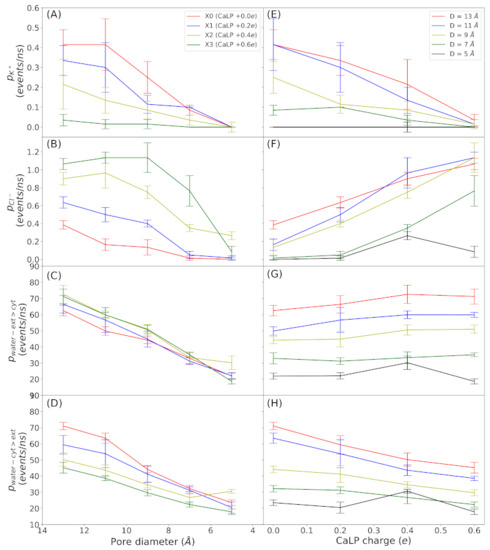
3.1. Permeation Events
3.2. Species Distributions
3.3. Water Dynamics
4. Discussion
Supplementary Materials
Author Contributions
Funding
Institutional Review Board Statement
Informed Consent Statement
Data Availability Statement
Conflicts of Interest
Abbreviations
| HC | Hemichannel | 
| GJC | Gap-junction channel | 
| PH | Parahelix | 
| NTH | N-terminal helix | 
| CaLP | Calcium-like particles | 
| SP | Survival probability | 
| WdO | Water dipole orientation | 
| CNT | Carbon nanotubes | 
References
- García, I.E.; Prado, P.; Pupo, A.; Jara, O.; Rojas-Gómez, D.; Mujica, P.; Flores-Muñoz, C.; González-Casanova, J.; Soto-Riveros, C.; Pinto, B.I.; et al. Connexinopathies: A structural and functional glimpse. BMC Cell Biol. 2016, 17, 71–87. [Google Scholar] [CrossRef]
- Srinivas, M.; Verselis, V.K.; White, T.W. Human diseases associated with connexin mutations. Biochim. Biophys. Acta Biomembr. 2018, 1860, 192–201. [Google Scholar] [CrossRef]
- Aasen, T.; Mesnil, M.; Naus, C.C.; Lampe, P.D.; Laird, D.W. Gap junctions and cancer: Communicating for 50 years. Nat. Rev. Cancer 2016, 775–788. [Google Scholar] [CrossRef]
- García-Dorado, D.; Rodríguez-Sinovas, A.; Ruiz-Meana, M. Gap junction-mediated spread of cell injury and death during myocardial ischemia-reperfusion. Cardiovasc. Res. 2004, 61, 386–401. [Google Scholar] [CrossRef]
- Hernández-Guerra, M.; Hadjihambi, A.; Jalan, R. Gap junctions in liver disease: Implications for pathogenesis and therapy. J. Hepatol. 2019, 70, 759–772. [Google Scholar] [CrossRef] [PubMed]
- Lewandowski, R.; Shibayama, J.; Oxford, E.M.; Joshi-Mukherjee, R.; Coombs, W.; Sorgen, P.L.; Taffet, S.M.; Delmar, M. Chemical gating of connexin channels. In Connexins: A Guide; Humana Press: Totowa, NJ, USA, 2009. [Google Scholar] [CrossRef]
- Unwin, P.N.; Ennis, P.D. Calcium-mediated changes in gap junction structure: Evidence from the low angle X-ray pattern. J. Cell Biol. 1983, 97, 1459–1466. [Google Scholar] [CrossRef]
- Trexler, E.B.; Bennett, M.V.L.; Bargiello, T.A.; Verselis, V.K. Voltage gating and permeation in a gap junction hemichannel (connexins/intercellular communication/ion channels/permeability/rectification). Biophys. J. Cell Biol. 1996, 93, 5836–5841. [Google Scholar] [CrossRef]
- Maeda, S.; Nakagawa, S.; Suga, M.; Yamashita, E.; Oshima, A.; Fujiyoshi, Y.; Tsukihara, T. Structure of the connexin 26 gap junction channel at 3.5 A resolution. Nature 2009, 458, 597–602. [Google Scholar] [CrossRef] [PubMed]
- Kwon, T.; Harris, A.L.; Rossi, A.; Bargiello, T.A. Molecular dynamics simulations of the Cx26 hemichannel: Evaluation of structural models with Brownian dynamics. J. Gen. Physiol. 2011, 138, 475–493. [Google Scholar] [CrossRef] [PubMed]
- Zonta, F.; Polles, G.; Sanasi, M.F.; Bortolozzi, M.; Mammano, F. The 3.5 ångström X-ray structure of the human connexin26 gap junction channel is unlikely that of a fully open channel. Cell Commun. Signal. 2013, 11, 15. [Google Scholar] [CrossRef] [PubMed]
- Verselis, V.K.; Trelles, M.P.; Rubinos, C.; Bargiello, T.A.; Srinivas, M. Loop gating of connexin hemichannels involves movement of pore-lining residues in the first extracellular loop domain. J. Biol. Chem. 2009, 284, 4484–4493. [Google Scholar] [CrossRef]
- Bargiello, T.A.; Tang, Q.; Oh, S.; Kwon, T. Voltage-dependent conformational changes in connexin channels. Biochim. Biophys. Acta Biomembr. 2012, 1818, 1807–1822. [Google Scholar] [CrossRef] [PubMed]
- Müller, D.J.; Hand, G.M.; Engel, A.; Sosinsky, G.E. Conformational changes in surface structures of isolated connexin 26 gap junctions. EMBO J. 2002, 21, 3598–3607. [Google Scholar] [CrossRef]
- Allen, M.J.; Gemel, J.; Beyer, E.C.; Lal, R. Atomic force microscopy of Connexin40 gap junction hemichannels reveals calcium-dependent three-dimensional molecular topography and open-closed conformations of both the extracellular and cytoplasmic faces. J. Biol. Chem. 2011, 286, 22139–22146. [Google Scholar] [CrossRef] [PubMed]
- Verselis, V.K.; Ginter, C.S.; Bargiello, T.A. Opposite voltage gating polarities of two closely related onnexins. Nature 1994, 368, 348–351. [Google Scholar] [CrossRef] [PubMed]
- Srinivas, M.; Kronengold, J.; Bukauskas, F.F.; Bargiello, T.A.; Verselis, V.K. Correlative studies of gating in Cx46 and Cx50 hemichannels and gap junction channels. Biophys. J. 2005, 88, 1725–1739. [Google Scholar] [CrossRef]
- Oh, S.; Rivkin, S.; Tang, Q.; Verselis, V.K.; Bargiello, T.A. Determinants of gating polarity of a connexin 32 hemichannel. Biophys. J. 2004, 87, 912–928. [Google Scholar] [CrossRef]
- Oshima, A.; Tani, K.; Hiroaki, Y.; Fujiyoshi, Y.; Sosinsky, G.E. Three-dimensional structure of a human connexin26 gap junction channel reveals a plug in the vestibule. Proc. Natl. Acad. Sci. USA 2007, 104, 10034–10039. [Google Scholar] [CrossRef]
- Myers, J.B.; Haddad, B.G.; O’Neill, S.E.; Chorev, D.S.; Yoshioka, C.C.; Robinson, C.V.; Zuckerman, D.M.; Reichow, S.L. Structure of native lens connexin 46/50 intercellular channels by cryo-EM. Nature 2018, 564, 372–377. [Google Scholar] [CrossRef] [PubMed]
- Lee, H.J.; Jeong, H.; Hyun, J.; Ryu, B.; Park, K.; Lim, H.H.; Yoo, J.; Woo, J.S. Cryo-EM structure of human Cx31.3/GJC3 connexin hemichannel. Sci. Adv. 2020, 6, 1–15. [Google Scholar] [CrossRef] [PubMed]
- Bennett, B.C.; Purdy, M.D.; Baker, K.A.; Acharya, C.; McIntire, W.E.; Stevens, R.C.; Zhang, Q.; Harris, A.L.; Abagyan, R.; Yeager, M. An electrostatic mechanism for Ca(2+)-mediated regulation of gap junction channels. Nat. Commun. 2016, 7, 8770. [Google Scholar] [CrossRef]
- Lopez, W.; Ramachandran, J.; Alsamarah, A.; Luo, Y.; Harris, A.L.; Contreras, J.E. Mechanism of gating by calcium in connexin hemichannels. Proc. Natl. Acad. Sci. USA 2016, 113, E7986–E7995. [Google Scholar] [CrossRef]
- Pinto, B.I.; Pupo, A.; García, I.E.; Mena-Ulecia, K.; Martínez, A.D.; Latorre, R.; Gonzalez, C. Calcium binding and voltage gating in Cx46 hemichannels. Sci. Rep. 2017, 7, 15851. [Google Scholar] [CrossRef]
- Escalona, Y.; Garate, J.A.; Araya-Secchi, R.; Huynh, T.; Zhou, R.; Perez-Acle, T. Exploring the membrane potential of simple dual-membrane systems as models for gap-junction channels. Biophys. J. 2016, 110, 2678–2688. [Google Scholar] [CrossRef]
- Jorgensen, W.L.; Chandrasekhar, J.; Madura, J.D.; Impey, R.W.; Klein, M.L. Comparison of simple potential functions for simulating liquid water. J. Chem. Phys. 1983, 79, 926. [Google Scholar] [CrossRef]
- Humphrey, W.; Dalke, A.; Schulten, K. VMD: Visual molecular dynamics. J. Mol. Graph. 1996, 14, 33–38. [Google Scholar] [CrossRef]
- Klauda, J.B.; Venable, R.M.; Freites, J.A.; O’Connor, J.W.; Tobias, D.J.; Mondragon-Ramirez, C.; Vorobyov, I.; MacKerell, A.D.; Pastor, R.W. Update of the CHARMM All-Atom Additive Force Field for Lipids: Validation on Six Lipid Types. J. Phys. Chem. B 2010, 114, 7830–7843. [Google Scholar] [CrossRef]
- Phillips, J.C.; Braun, R.; Wang, W.; Gumbart, J.; Tajkhorshid, E.; Villa, E.; Chipot, C.; Skeel, R.D.; Kalé, L.; Schulten, K. Scalable molecular dynamics with NAMD. J. Comput. Chem. 2005, 26, 1781–1802. [Google Scholar] [CrossRef] [PubMed]
- Tuckerman, M.; Berne, B.J.; Martyna, G.J. Reversible multiple time scale molecular dynamics. J. Chem. Phys. 1992, 97, 1990–2001. [Google Scholar] [CrossRef]
- Ryckaert, J.P.; Ciccotti, G.; Berendsen, H.J. Numerical integration of the cartesian equations of motion of a system with constraints: Molecular dynamics of n-alkanes. J. Comput. Phys. 1977, 23, 327–341. [Google Scholar] [CrossRef]
- Gumbart, J.; Khalili-Araghi, F.; Sotomayor, M.; Roux, B. Constant electric field simulations of the membrane potential illustrated with simple systems. Biochim. Biophys. Acta Biomembr. 2012, 1818, 294–302. [Google Scholar] [CrossRef]
- Araya-Secchi, R.; Perez-Acle, T.; Kang, S.G.; Huynh, T.; Bernardin, A.; Escalona, Y.; Garate, J.A.; Martínez, A.D.; García, I.E.; Sáez, J.C.; et al. Characterization of a Novel Water Pocket Inside the Human Cx26 Hemichannel Structure. Biophys. J. 2014, 107, 599–612. [Google Scholar] [CrossRef] [PubMed]
- Albano, J.M.; Jara, G.E.; Fernández, M.L.; Facelli, J.C.; Ferraro, M.B.; Pickholz, M. The Effects of Calcium on Lipid–Protein Interactions and Ion Flux in the Cx26 Connexon Embedded into a POPC Bilayer. J. Membr. Biol. 2019, 252, 451–464. [Google Scholar] [CrossRef]
- Hilder, T.A.; Gordon, D.; Chung, S.H. Synthetic chloride-selective carbon nanotubes examined by using molecular and stochastic dynamics. Biophys. J. 2010, 99, 1734–1742. [Google Scholar] [CrossRef] [PubMed]
- García-Fandiño, R.; Sansom, M.S. Designing biomimetic pores based on carbon nanotubes. Proc. Natl. Acad. Sci. USA 2012, 109, 6939–6944. [Google Scholar] [CrossRef]
- Zhu, F.; Schulten, K. Water and proton conduction through carbon nanotubes as models for biological channels. Biophys. J. 2003, 85, 236–244. [Google Scholar] [CrossRef][Green Version]
- Dzubiella, J.; Hansen, J.P. Electric-field-controlled water and ion permeation of a hydrophobic nanopore. J. Chem. Phys. 2005, 122. [Google Scholar] [CrossRef] [PubMed]
- Li, J.; Gong, X.; Lu, H.; Li, D.; Fang, H.; Zhou, R. Electrostatic gating of a nanometer water channel. Proc. Natl. Acad. Sci. USA 2007, 104, 3687–3692. [Google Scholar] [CrossRef]
- Wang, J.; Yu, Z.; Jian, Z.; Lu, X. Diameter and helicity effects on static properties of water molecules confined in carbon nanotubes. Phys. Chem. Chem. Phys. 2004, 6, 829–835. [Google Scholar] [CrossRef]
- Peter, C.; Hummer, G. Ion transport through membrane-spanning nanopores studied by molecular dynamics simulations and continuum electrostatics calculations. Biophys. J. 2005, 89, 2222–2234. [Google Scholar] [CrossRef]
- Zhu, Y.; Wei, M.; Shao, Q.; Lu, L.; Lu, X.; Shen, W. Molecular dynamics study of pore inner wall modification effect in structure of water molecules confined in single-walled carbon nanotubes. J. Phys. Chem. C 2009, 113, 882–889. [Google Scholar] [CrossRef]
- Köfinger, J.; Hummer, G.; Dellago, C. A one-dimensional dipole lattice model for water in narrow nanopores. J. Chem. Phys. 2009, 130, 04B618. [Google Scholar] [CrossRef] [PubMed]
- Villanelo, F.; Escalona, Y.; Pareja-Barrueto, C.; Garate, J.A.; Skerrett, I.M.; Perez-Acle, T. Accessing gap-junction channel structure-function relationships through molecular modeling and simulations. BMC Cell Biol. 2017, 28, 1–15. [Google Scholar] [CrossRef] [PubMed]
- Zonta, F.; Buratto, D.; Crispino, G.; Carrer, A.; Bruno, F.; Yang, G.; Mammano, F.; Pantano, S. Cues to opening mechanisms from in silico electric field excitation of cx26 hemichannel and in vitro mutagenesis studies in HeLa transfectans. Front. Mol. Neurosci. 2018, 11, 170. [Google Scholar] [CrossRef] [PubMed]
- Zonta, F.; Mammano, F.; Torsello, M.; Fortunati, N.; Orian, L.; Polimeno, A. Role of gamma carboxylated Glu47 in connexin 26 hemichannel regulation by extracellular Ca2+: Insight from a local quantum chemistry study. Biochem. Biophys. Res. Commun. 2014, 445, 10–15. [Google Scholar] [CrossRef]
- Albano, J.M.; Mussini, N.; Toriano, R.; Facelli, J.C.; Ferraro, M.B.; Pickholz, M. Calcium interactions with Cx26 hemmichannel: Spatial association between MD simulations biding sites and variant pathogenicity. Comput. Biol. Chem. 2018, 77, 331–342. [Google Scholar] [CrossRef]





| Publisher’s Note: MDPI stays neutral with regard to jurisdictional claims in published maps and institutional affiliations. | 
© 2021 by the authors. Licensee MDPI, Basel, Switzerland. This article is an open access article distributed under the terms and conditions of the Creative Commons Attribution (CC BY) license (https://creativecommons.org/licenses/by/4.0/).
Share and Cite
Villanelo, F.; Carrasco, J.; Jensen-Flores, J.; Garate, J.A.; Perez-Acle, T. Simulations on Simple Models of Connexin Hemichannels Indicate That Ca2+ Blocking Is Not a Pure Electrostatic Effect. Membranes 2021, 11, 372. https://doi.org/10.3390/membranes11050372
Villanelo F, Carrasco J, Jensen-Flores J, Garate JA, Perez-Acle T. Simulations on Simple Models of Connexin Hemichannels Indicate That Ca2+ Blocking Is Not a Pure Electrostatic Effect. Membranes. 2021; 11(5):372. https://doi.org/10.3390/membranes11050372
Chicago/Turabian StyleVillanelo, Felipe, Jorge Carrasco, Joaquin Jensen-Flores, Jose Antonio Garate, and Tomas Perez-Acle. 2021. "Simulations on Simple Models of Connexin Hemichannels Indicate That Ca2+ Blocking Is Not a Pure Electrostatic Effect" Membranes 11, no. 5: 372. https://doi.org/10.3390/membranes11050372
APA StyleVillanelo, F., Carrasco, J., Jensen-Flores, J., Garate, J. A., & Perez-Acle, T. (2021). Simulations on Simple Models of Connexin Hemichannels Indicate That Ca2+ Blocking Is Not a Pure Electrostatic Effect. Membranes, 11(5), 372. https://doi.org/10.3390/membranes11050372
 
         
                                                


