Characteristic Analysis of AlGaN/GaN HEMT with Composited Buffer Layer on High-Heat Dissipation Poly-AlN Substrates
Abstract
1. Introduction
2. Device Structure
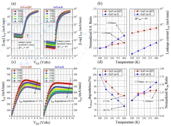
3. Experimental Result and Discussion
4. Conclusions
Author Contributions
Funding
Conflicts of Interest
References
- Kaushik, J.; Balakrishnan, V.; Mongia, D.; Kumar, U.; Dayal, S.; Panwar, B.; Muralidharan, R. Investigation of surface related leakage current in AlGaN/GaN High Electron Mobility Transistors. Thin Solid Films 2016, 612, 147–152. [Google Scholar] [CrossRef]
- Asubar, J.T.; Yoshida, S.; Tokuda, H.; Kuzuhara, M. Highly reduced current collapse in AlGaN/GaN high-electron-mobility transistors by combined application of oxygen plasma treatment and field plate structures. Jpn. J. Appl. Phys. 2016, 55, 04EG07. [Google Scholar] [CrossRef]
- Asubar, J.; Kobayashi, Y.; Yoshitsugu, K.; Yatabe, Z.; Tokuda, H.; Horita, M.; Uraoka, Y.; Hashizume, T.; Kuzuhara, M. Current Collapse Reduction in AlGaN/GaN HEMTs by High-Pressure Water Vapor Annealing. IEEE Trans. Electron Devices 2015, 62, 2423–2428. [Google Scholar] [CrossRef]
- Ambacher, O.; Smart, J.; Shealy, J.R.; Weimann, N.; Chu, K.; Murphy, M.J.; Schaff, W.J.; Eastman, L.F.; Dimitrov, R.; Wittmer, L.L.; et al. Two-dimensional electron gases induced by spontaneous and piezoelectric polarization charges in N- and Ga-face AlGaN/GaN heterostructures. J. Appl. Phys. 1999, 85, 3222–3233. [Google Scholar] [CrossRef]
- Nigam, A.; Bhat, T.N.; Rajamani, S.; Bin Dolmanan, S.; Tripathy, S.; Kumar, M. Effect of self-heating on electrical characteristics of AlGaN/ GaN HEMT on Si (111) substrate. AIP Adv. 2017, 7, 085015. [Google Scholar] [CrossRef]
- Chattopadhyay, M.K.; Tokekar, S. Thermal model for dc characteristics of algan/gan hemts including self-heating effect and non-linear polarization. Microelectron. J. 2008, 39, 1181–1188. [Google Scholar] [CrossRef]
- Chiu, H.-C.; Chen, S.-C.; Chiu, J.-W.; Li, B.-H.; Xuan, R.; Hu, C.-W.; Hsueh, K.-P. Effect of various Fe-doped AlGaN buffer layer of AlGaN/GaN HEMTs on Si substrate. J. Vac. Sci. Technol. B 2017, 35, 41205. [Google Scholar] [CrossRef]
- Kawada, Y.; Hanawa, H.; Horio, K. Effects of acceptors in a Fe-doped buffer layer on breakdown characteristics of AlGaN/GaN high electron mobility transistors with a high-kpassivation layer. Jpn. J. Appl. Phys. 2017, 56, 108003. [Google Scholar] [CrossRef]
- Jia, Y.; Xu, Y.; Lu, K.; Wen, Z.; Huang, A.-D.; Guo, Y.-X. Characterization of Buffer-Related Current Collapse by Buffer Potential Simulation in AlGaN/GaN HEMTs. IEEE Trans. Electron Devices 2018, 65, 3169–3175. [Google Scholar] [CrossRef]
- Raja, P.V.; Bouslama, M.; Sarkar, S.; Pandurang, K.R.; Nallatamby, J.-C.; DasGupta, N.; DasGupta, A. Deep-Level Traps in AlGaN/GaN- and AlInN/GaN-Based HEMTs With Different Buffer Doping Technologies. IEEE Trans. Electron Devices 2020, 67, 2304–2310. [Google Scholar] [CrossRef]
- Kang, H.-S.; Won, C.-H.; Kim, Y.-J.; Kim, D.-S.; Yoon, Y.J.; Kang, I.M.; Lee, Y.S.; Lee, J.-H. Suppression of current collapse in AlGaN/GaN MISHFET with carbon- doped GaN/undoped GaN multi-layered buffer structure. Phys. Status Solidi (a) 2015, 212, 1116–1121. [Google Scholar] [CrossRef]
- Lee, J.-H.; Lisesivdin, S.B.; Lee, J.-H.; Ju, J.-M.; Atmaca, G.; Kim, J.-G.; Kang, S.-H.; Lee, Y.S.; Lee, S.-H.; Lim, J.-W.; et al. High Figure-of-Merit (V2BR /RON) AlGaN/GaN Power HEMT With Periodically C-Doped GaN Buffer and AlGaN Back Barrier. IEEE J. Electron Devices Soc. 2018, 6, 1179–1186. [Google Scholar] [CrossRef]
- Belkacemi, K.; Hocine, R. Efficient 3D-TLM Modeling and Simulation for the Thermal Management of Microwave AlGaN/GaN HEMT Used in High Power Amplifiers SSPA. J. Low Power Electron. Appl. 2018, 8, 23. [Google Scholar] [CrossRef]
- Wang, H.; Chiu, H.; Hsu, W.; Liu, C.; Chuang, C.; Liu, J.; Huang, Y. The Impact of AlxGa1−xN Back Barrier in AlGaN/GaN High Electron Mobility Transistors (HEMTs) on Six-Inch MCZ Si Substrate. Coatings 2020, 10, 570. [Google Scholar] [CrossRef]
- Anderson, T.J.; Koehler, A.D.; Tadjer, M.J.; Hite, J.; Nath, A.; Mahadik, N.A.; Aktas, O.; Odnoblyudov, V.; Basceri, C.; Hobart, K.D.; et al. Electrothermal evaluation of thick GaN epitaxial layers and AlGaN/GaN high-electron-mobility transistors on large-area engineered substrates. Appl. Phys. Express 2017, 10, 126501. [Google Scholar] [CrossRef]
- Safriuk, N. X-ray diffraction investigation of GaN layers on Si(111) and Al2O3 (0001) substrates. Semicond. Phys. Quantum Electron. Optoelectron. 2013, 16, 265–272. [Google Scholar] [CrossRef]
- Booker, I.; Khoshroo, L.R.; Woitok, J.F.; Kaganer, V.; Mauder, C.; Behmenburg, H.; Gruis, J.; Heuken, M.; Kalisch, H.; Jansen, R.H. Dislocation density assessment via X-ray GaN rocking curve scans. Phys. Status Solidi (c) 2010, 7, 1787–1789. [Google Scholar] [CrossRef]





Publisher’s Note: MDPI stays neutral with regard to jurisdictional claims in published maps and institutional affiliations. |
© 2021 by the authors. Licensee MDPI, Basel, Switzerland. This article is an open access article distributed under the terms and conditions of the Creative Commons Attribution (CC BY) license (https://creativecommons.org/licenses/by/4.0/).
Share and Cite
Huang, C.-R.; Chiu, H.-C.; Liu, C.-H.; Wang, H.-C.; Kao, H.-L.; Chen, C.-T.; Chang, K.-J. Characteristic Analysis of AlGaN/GaN HEMT with Composited Buffer Layer on High-Heat Dissipation Poly-AlN Substrates. Membranes 2021, 11, 848. https://doi.org/10.3390/membranes11110848
Huang C-R, Chiu H-C, Liu C-H, Wang H-C, Kao H-L, Chen C-T, Chang K-J. Characteristic Analysis of AlGaN/GaN HEMT with Composited Buffer Layer on High-Heat Dissipation Poly-AlN Substrates. Membranes. 2021; 11(11):848. https://doi.org/10.3390/membranes11110848
Chicago/Turabian StyleHuang, Chong-Rong, Hsien-Chin Chiu, Chia-Hao Liu, Hsiang-Chun Wang, Hsuan-Ling Kao, Chih-Tien Chen, and Kuo-Jen Chang. 2021. "Characteristic Analysis of AlGaN/GaN HEMT with Composited Buffer Layer on High-Heat Dissipation Poly-AlN Substrates" Membranes 11, no. 11: 848. https://doi.org/10.3390/membranes11110848
APA StyleHuang, C.-R., Chiu, H.-C., Liu, C.-H., Wang, H.-C., Kao, H.-L., Chen, C.-T., & Chang, K.-J. (2021). Characteristic Analysis of AlGaN/GaN HEMT with Composited Buffer Layer on High-Heat Dissipation Poly-AlN Substrates. Membranes, 11(11), 848. https://doi.org/10.3390/membranes11110848

