Tick-Borne Encephalitis Specific Lymphocyte Response after Allogeneic Hematopoietic Stem Cell Transplantation Predicts Humoral Immunity after Vaccination
Abstract
:1. Introduction
2. Materials and Methods
2.1. Study Population and Design
2.2. Institutional Review Board Statement
2.3. Study Endpoints
2.4. Laboratory Analyses
2.4.1. Collection and Storage of Peripheral Blood Mononuclear Cells
2.4.2. Lymphocyte Proliferation Detected by Thymidine Incorporation Assay
2.4.3. Flow Cytometric Analysis
2.4.4. Cytokine Detection Assays
2.4.5. Statistical Analyses
3. Results
3.1. Characteristics of the Study Population
3.2. Assessment of Lymphocyte Proliferation and Cytokine Responses after Antigen-Specific and Polyclonal Stimulation
3.2.1. Comparison between Patients and Healthy Control Subjects
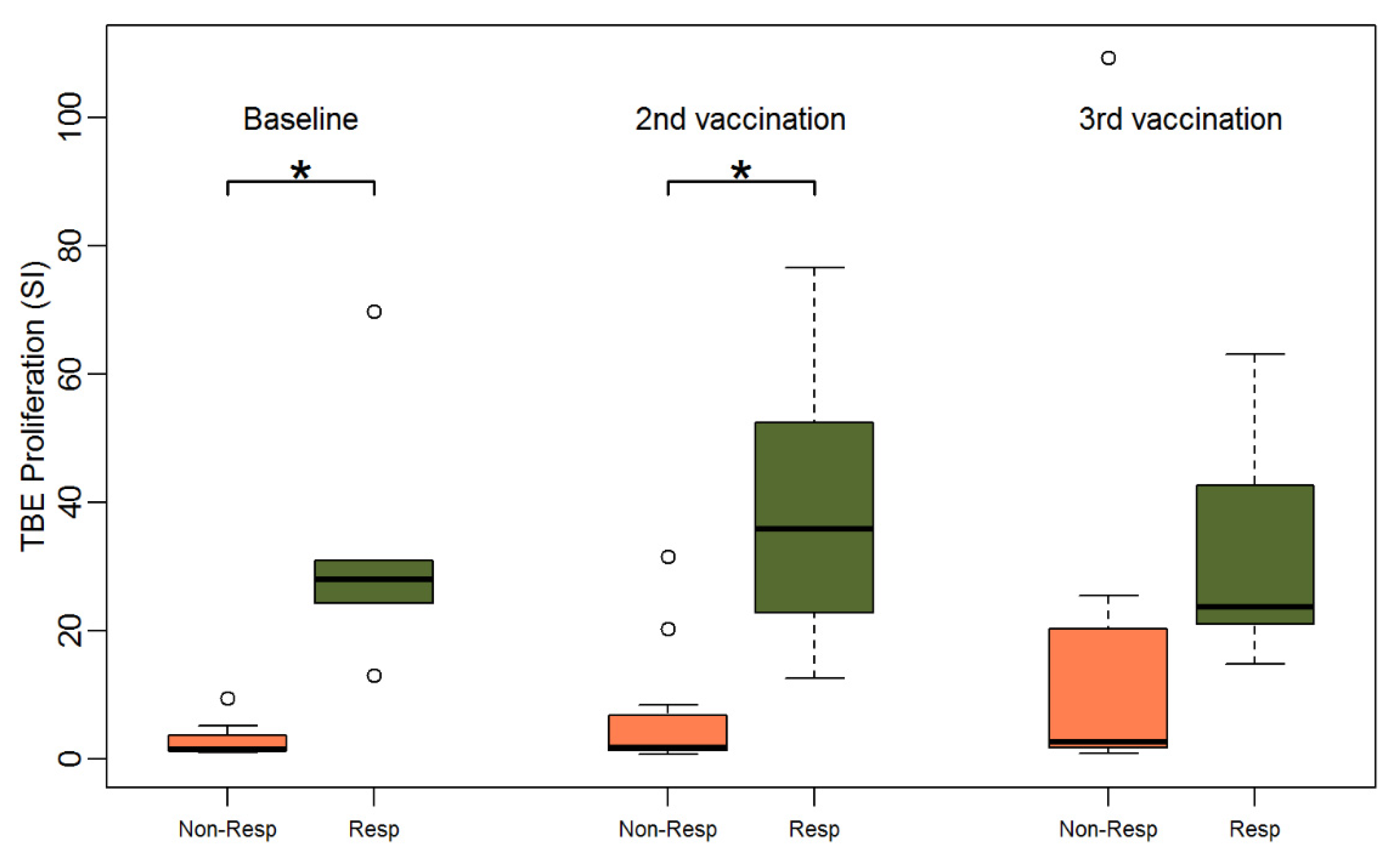
3.2.2. Comparison of Patients with and without Humoral Response
3.2.3. Comparing Patients with Related and Unrelated Donors
3.3. Predictors for TBE Proliferation at Baseline before Vaccination
4. Discussion
5. Conclusions
Supplementary Materials
Author Contributions
Funding
Institutional Review Board Statement
Informed Consent Statement
Data Availability Statement
Conflicts of Interest
References
- Erber, W.; Schmitt, H.; Janković, T. Epidemiology by country—An overview. Chapter 12a. In The TBE Book; Global Health Press: Singapore, 2019. [Google Scholar]
- ECDC. Tick-Borne Encephalitis. European Centre for Disease Prevention and Control: Annual Epidemiological Report for 2018. 2019. Available online: https://www.ecdc.europa.eu/en/publications-data/tick-borne-encephalitis-annual-epidemiological-report-2018 (accessed on 8 December 2020).
- Taba, P.; Schmutzhard, E.; Forsberg, P.; Lutsar, I.; Ljøstad, U.; Mygland, Å.; Levchenko, I.; Strle, F.; Steiner, I. Ean consensus review on prevention, diagnosis and management of tick-borne encephalitis. Eur. J. Neurol. 2017, 24, 1214–1261. [Google Scholar] [CrossRef]
- Lipowski, D.; Popiel, M.; Perlejewski, K.; Nakamura, S.; Bukowska-Osko, I.; Rzadkiewicz, E.; Dzieciatkowski, T.; Milecka, A.; Wenski, W.; Ciszek, M.; et al. A of fatal tick-borne encephalitis virus infection in organ transplant setting. J. Infect. Dis. 2017, 215, 896–901. [Google Scholar] [CrossRef] [PubMed] [Green Version]
- Mackall, C.; Fry, T.; Gress, R.; Peggs, K.; Storek, J.; Toubert, A. Background to hematopoietic cell transplantation, including post transplant immune recovery. Bone Marrow Transplant. 2009, 44, 457–462. [Google Scholar] [CrossRef]
- Maury, S.; Mary, J.Y.; Rabian, C.; Schwarzinger, M.; Toubert, A.; Scieux, C.; Carmagnat, M.; Esperou, H.; Ribaud, P.; Devergie, A.; et al. Prolonged immune deficiency following allogeneic stem cell transplantation: Risk factors and complications in adult patients. Br. J. Haematol. 2001, 115, 630–641. [Google Scholar] [CrossRef]
- Hilgendorf, I.; Freund, M.; Jilg, W.; Einsele, H.; Gea-Banacloche, J.; Greinix, H.; Halter, J.; Lawitschka, A.; Wolff, D.; Meisel, R. Vaccination of allogeneic haematopoietic stem cell transplant recipients: Report from the international consensus conference on clinical practice in chronic gvhd. Vaccine 2011, 29, 2825–2833. [Google Scholar] [CrossRef]
- Harrison, N.; Grabmeier-Pfistershammer, K.; Graf, A.; Schwarzinger, I.; Aberle, J.H.; Stiasny, K.; Greinix, H.; Rabitsch, W.; Kalhs, P.; Ramharter, M.; et al. Humoral immune response to tick-borne encephalitis vaccination in allogeneic blood and marrow graft recipients. NPJ Vaccines 2020, 5, 67. [Google Scholar] [CrossRef]
- Greinix, H.T.; Pohlreich, D.; Kouba, M.; Körmöczi, U.; Lohmann, I.; Feldmann, K.; Zielinski, C.; Pickl, W.F. Elevated numbers of immature/transitional cd21- b lymphocytes and deficiency of memory cd27+ b cells identify patients with active chronic graft-versus-host disease. Biol. Blood Marrow Transplant. J. Am. Soc. Blood Marrow Transplant. 2008, 14, 208–219. [Google Scholar] [CrossRef] [PubMed] [Green Version]
- Kuzmina, Z.; Greinix, H.T.; Weigl, R.; Körmöczi, U.; Rottal, A.; Frantal, S.; Eder, S.; Pickl, W.F. Significant differences in b-cell subpopulations characterize patients with chronic graft-versus-host disease-associated dysgammaglobulinemia. Blood 2011, 117, 2265–2274. [Google Scholar] [CrossRef] [Green Version]
- Li, G.; Teleki, C.; Wang, T. Memory t cells in flavivirus vaccination. Vaccines 2018, 6, 73. [Google Scholar] [CrossRef] [PubMed] [Green Version]
- Aberle, J.H.; Schwaiger, J.; Aberle, S.W.; Stiasny, K.; Scheinost, O.; Kundi, M.; Chmelik, V.; Heinz, F.X. Human cd4+ t helper cell responses after tick-borne encephalitis vaccination and infection. PLoS ONE 2015, 10, e0140545. [Google Scholar] [CrossRef] [PubMed] [Green Version]
- Divekar, A.A.; Zaiss, D.M.; Lee, F.E.; Liu, D.; Topham, D.J.; Sijts, A.J.; Mosmann, T.R. Protein vaccines induce uncommitted il-2-secreting human and mouse cd4 t cells, whereas infections induce more ifn-gamma-secreting cells. J. Immunol. (Baltim. Md. 1950) 2006, 176, 1465–1473. [Google Scholar] [CrossRef] [Green Version]
- WHO. Vaccines against tick-borne encephalitis: Who position paper—Recommendations. Vaccine 2011, 29, 8769–8770. [Google Scholar] [CrossRef]
- Salat, J.; Mikulasek, K.; Larralde, O.; Pokorna Formanova, P.; Chrdle, A.; Haviernik, J.; Elsterova, J.; Teislerova, D.; Palus, M.; Eyer, L.; et al. Tick-borne encephalitis virus vaccines contain non-structural protein 1 antigen and may elicit ns1-specific antibody responses in vaccinated individuals. Vaccines 2020, 8, 81. [Google Scholar] [CrossRef] [PubMed] [Green Version]
- Einarsdottir, S.; Nicklasson, M.; Veje, M.; Bergström, T.; Studahl, M.; Lisak, M.; Olsson, M.; Johansson, B.; Andreasson, B.; Piauger, B.; et al. Vaccination against tick-borne encephalitis (tbe) after autologous and allogeneic stem cell transplantation. Vaccine 2021, 39, 1035–1038. [Google Scholar] [CrossRef] [PubMed]
- Cocks, B.G.; de Waal Malefyt, R.; Galizzi, J.P.; de Vries, J.E.; Aversa, G. Il-13 induces proliferation and differentiation of human b cells activated by the cd40 ligand. Int. Immunol. 1993, 5, 657–663. [Google Scholar] [CrossRef] [PubMed]
- Punnonen, J.; Aversa, G.; Cocks, B.G.; McKenzie, A.N.; Menon, S.; Zurawski, G.; de Waal Malefyt, R.; de Vries, J.E. Interleukin 13 induces interleukin 4-independent igg4 and ige synthesis and cd23 expression by human b cells. Proc. Natl. Acad. Sci. USA 1993, 90, 3730–3734. [Google Scholar] [CrossRef] [Green Version]
- van der Velden, A.M.; Claessen, A.M.; van Velzen-Blad, H.; Biesma, D.H.; Rijkers, G.T. Development of t cell-mediated immunity after autologous stem cell transplantation: Prolonged impairment of antigen-stimulated production of gamma-interferon. Bone Marrow Transplant. 2007, 40, 261–266. [Google Scholar] [CrossRef] [Green Version]
- Avetisyan, G.; Aschan, J.; Hassan, M.; Ljungman, P. Evaluation of immune responses to seasonal influenza vaccination in healthy volunteers and in patients after stem cell transplantation. Transplantation 2008, 86, 257–263. [Google Scholar] [CrossRef]
- Poulin, J.F.; Sylvestre, M.; Champagne, P.; Dion, M.L.; Kettaf, N.; Dumont, A.; Lainesse, M.; Fontaine, P.; Roy, D.C.; Perreault, C.; et al. Evidence for adequate thymic function but impaired naive t-cell survival following allogeneic hematopoietic stem cell transplantation in the absence of chronic graft-versus-host disease. Blood 2003, 102, 4600–4607. [Google Scholar] [CrossRef]
- Gress, R.E.; Emerson, S.G.; Drobyski, W.R. Immune reconstitution: How it should work, what’s broken, and why it matters. Biol. Blood Marrow Transplant. J. Am. Soc. Blood Marrow Transplant. 2010, 16, S133–S137. [Google Scholar] [CrossRef] [Green Version]
- Lum, L.G.; Seigneuret, M.C.; Shiobara, S.; Noges, J.; Munn, N.; Shough, N.; Jin, N.R.; Beatty, P.; Martin, P.; Sullivan, K.; et al. Adoptively transferred immunity persists in human marrow graft recipients. Prog. Clin. Biol. Res. 1987, 244, 449–460. [Google Scholar]
- Harris, A.E.; Styczynski, J.; Bodge, M.; Mohty, M.; Savani, B.N.; Ljungman, P. Pretransplant vaccinations in allogeneic stem cell transplantation donors and recipients: An often-missed opportunity for immunoprotection? Bone Marrow Transplant. 2015, 50, 899–903. [Google Scholar] [CrossRef] [PubMed]
- Molrine, D.C.; Antin, J.H.; Guinan, E.C.; Soiffer, R.J.; MacDonald, K.; Malley, R.; Malinoski, F.; Trocciola, S.; Wilson, M.; Ambrosino, D.M. Donor immunization with pneumococcal conjugate vaccine and early protective antibody responses following allogeneic hematopoietic cell transplantation. Blood 2003, 101, 831–836. [Google Scholar] [CrossRef] [PubMed]
- Parkkali, T.; Käyhty, H.; Hovi, T.; Olander, R.M.; Roivainen, M.; Volin, L.; Ruutu, T.; Lahdenkari, M.; Ruutu, P. A randomized study on donor immunization with tetanus-diphtheria, haemophilus influenzae type b and inactivated poliovirus vaccines to improve the recipient responses to the same vaccines after allogeneic bone marrow transplantation. Bone Marrow Transplant. 2007, 39, 179–188. [Google Scholar] [CrossRef] [PubMed] [Green Version]
- Storek, J.; Dawson, M.A.; Lim, L.C.; Burman, B.E.; Stevens-Ayers, T.; Viganego, F.; Herremans, M.M.; Flowers, M.E.; Witherspoon, R.P.; Maloney, D.G.; et al. Efficacy of donor vaccination before hematopoietic cell transplantation and recipient vaccination both before and early after transplantation. Bone Marrow Transplant. 2004, 33, 337–346. [Google Scholar] [CrossRef] [Green Version]
- Baron, F.; Storer, B.; Maris, M.B.; Storek, J.; Piette, F.; Metcalf, M.; White, K.; Sandmaier, B.M.; Maloney, D.G.; Storb, R.; et al. Unrelated donor status and high donor age independently affect immunologic recovery after nonmyeloablative conditioning. Biol. Blood Marrow Transplant. J. Am. Soc. Blood Marrow Transplant. 2006, 12, 1176–1187. [Google Scholar] [CrossRef] [Green Version]






| Subject No. | Group | Age In Years | Sex | BMI | Underlying Condition | Sibling Donor | Conditioning Regimen * | Neutralization Test Titer Baseline | Lymphocyte Proliferation after Stimulation With (SI) | Humoral Responder | ||
|---|---|---|---|---|---|---|---|---|---|---|---|---|
| TBE Antigen | CEFT | PMA/Iono | ||||||||||
| 1 | Patient | 27 | F | 23.1 | AML | Yes | Myeloablative | 10 | 30.99 | 24.60 | 67.64 | Yes |
| 2 | Patient | 24 | M | 43.1 | AML | Yes | Myeloablative | 160 | 5.15 | 1.53 | 40.28 | No |
| 3 | Patient | 27 | M | 24.0 | ALL | Yes | Myeloablative | 95 | 4.15 | 2.61 | 60.44 | No |
| 4 | Patient | 56 | M | 31.5 | AML | No | Non-myeloablative | 40 | 2.22 | 1.13 | 66.28 | No |
| 5 | Patient | 61 | M | 29.0 | AML | Yes | Non-myeloablative | 48 | 13.06 | 24.65 | 77.40 | Yes |
| 6 | Patient | 27 | F | 39.1 | AML | No | Non-myeloablative | 113 | 28.45 | 21.69 | 54.37 | Yes |
| 7 | Patient | 47 | M | 29.9 | Lymphoma | No | Non-myeloablative | 6 | 1.02 | 36.13 | 322.35 | No |
| 8 | Patient | 22 | F | 19.5 | AML | Yes | Myeloablative | 538 | 24.34 | 34.67 | 132.59 | Yes |
| 9 | Patient | 53 | F | 22.7 | AML | No | Non-myeloablative | 12 | 1.53 | 1.24 | 72.24 | No |
| 10 | Patient | 43 | M | 27.8 | AML | No | Myeloablative | 40 | 1.21 | 2.21 | 71.54 | No |
| 11 | Patient | 22 | M | 23.1 | AML | No | Myeloablative | 40 | 1.04 | 3.47 | 94.69 | No |
| 12 | Patient | 26 | M | 26.9 | AA | Yes | Non-myeloablative | 10 | 3.35 | 14.59 | 153.72 | No |
| 13 | Patient | 41 | F | 24.2 | Lymphoma | Yes | Non-myeloablative | 10 | 9.42 | 1.57 | 532.10 | No |
| 14 | Patient | 55 | M | 28.4 | AML | No | Non-myeloablative | 4 | 1.45 | 1.39 | 64.81 | No |
| 15 | Patient | 58 | M | 32.4 | AML | No | Non-myeloablative | 80 | 1.44 | 8.55 | 190.69 | No |
| 16 | Patient | 26 | F | 19.1 | AML | Yes | Myeloablative | 135 | 69.70 | 45.20 | 171.94 | Yes |
| 17 | Patient | 31 | M | 23.4 | ALL | Yes | Myeloablative | 4 | 27.41 | 11.21 | 61.41 | Yes |
| 18 | Control | 27 | F | 18.5 | - | - | - | <5 | 0.98 | 134.64 | 271.29 | Yes |
| 19 | Control | 32 | M | 24.2 | - | - | - | <5 | 0.87 | 51.46 | 214.57 | Yes |
| 20 | Control | 22 | F | 20.3 | - | - | - | <5 | 0.89 | 77.62 | 374.98 | Yes |
| 21 | Control | 21 | F | 26.0 | - | - | - | <5 | 0.99 | 65.14 | 307.39 | Yes |
| 22 | Control | 23 | M | 22.2 | - | - | - | <5 | 2.31 | 13.34 | 314.67 | Yes |
| 23 | Control | 38 | F | 20.9 | - | - | - | <5 | 0.61 | 25.19 | 88.62 | Yes |
| 24 | Control | 33 | M | 21.1 | - | - | - | <5 | 1.27 | 45.24 | 85.41 | Yes |
| 25 | Control | 60 | M | 26.6 | - | - | - | <5 | 2.37 | 56.29 | 255.10 | No |
| Logistic Regression Models for TBE Proliferation SI > 3 | |||||
|---|---|---|---|---|---|
| Variable | Comparison | OR | Lower 95% CI | Upper 95% CI | p-Value |
| Humoral responder | Yes vs. No | 21.667 | 1.816 | 3090.366 | 0.012 |
| Donor | Related vs. Unrelated | 95.000 | 6.437 | 15,251.370 | <0.001 |
| Sex | Female vs. Male | 4.333 | 0.594 | 52.665 | 0.153 |
| Chronic GvHD requiring systemic immunosuppressive treatment | Yes vs. No | 1.667 | 0.247 | 11.718 | 0.595 |
| BMI | 0.981 | 0.847 | 1.134 | 0.784 | |
| Age | 0.918 | 0.835 | 0.988 | 0.020 | |
| Total CD4+ T-cell count at baseline | 1.004 | 0.997 | 1.014 | 0.241 | |
Publisher’s Note: MDPI stays neutral with regard to jurisdictional claims in published maps and institutional affiliations. |
© 2021 by the authors. Licensee MDPI, Basel, Switzerland. This article is an open access article distributed under the terms and conditions of the Creative Commons Attribution (CC BY) license (https://creativecommons.org/licenses/by/4.0/).
Share and Cite
Harrison, N.; Grabmeier-Pfistershammer, K.; Graf, A.; Trapin, D.; Tauber, P.; Aberle, J.H.; Stiasny, K.; Schmidt, R.; Greinix, H.; Rabitsch, W.; et al. Tick-Borne Encephalitis Specific Lymphocyte Response after Allogeneic Hematopoietic Stem Cell Transplantation Predicts Humoral Immunity after Vaccination. Vaccines 2021, 9, 908. https://doi.org/10.3390/vaccines9080908
Harrison N, Grabmeier-Pfistershammer K, Graf A, Trapin D, Tauber P, Aberle JH, Stiasny K, Schmidt R, Greinix H, Rabitsch W, et al. Tick-Borne Encephalitis Specific Lymphocyte Response after Allogeneic Hematopoietic Stem Cell Transplantation Predicts Humoral Immunity after Vaccination. Vaccines. 2021; 9(8):908. https://doi.org/10.3390/vaccines9080908
Chicago/Turabian StyleHarrison, Nicole, Katharina Grabmeier-Pfistershammer, Alexandra Graf, Doris Trapin, Peter Tauber, Judith H. Aberle, Karin Stiasny, Ralf Schmidt, Hildegard Greinix, Werner Rabitsch, and et al. 2021. "Tick-Borne Encephalitis Specific Lymphocyte Response after Allogeneic Hematopoietic Stem Cell Transplantation Predicts Humoral Immunity after Vaccination" Vaccines 9, no. 8: 908. https://doi.org/10.3390/vaccines9080908
APA StyleHarrison, N., Grabmeier-Pfistershammer, K., Graf, A., Trapin, D., Tauber, P., Aberle, J. H., Stiasny, K., Schmidt, R., Greinix, H., Rabitsch, W., Ramharter, M., Burgmann, H., Pickl, W. F., & Bahrs, C. (2021). Tick-Borne Encephalitis Specific Lymphocyte Response after Allogeneic Hematopoietic Stem Cell Transplantation Predicts Humoral Immunity after Vaccination. Vaccines, 9(8), 908. https://doi.org/10.3390/vaccines9080908

