SARS-CoV-2 Production in a Scalable High Cell Density Bioreactor
Abstract
:1. Introduction
2. Materials and Methods
2.1. Cell Culture
2.2. Virus Isolate
2.3. Cell Culture and Virus Production in the CelCradleTM 500-AP
2.4. Virus Titration
2.5. RNA Titration
2.6. S1 ELISA
2.7. Deep Sequencing
3. Results
3.1. Similar Cell Expansion Obtained Comparing Two Different Cell Numbers for Seeding of the CelCradleTM 500-AP (Experiment 1, 2 and 3)
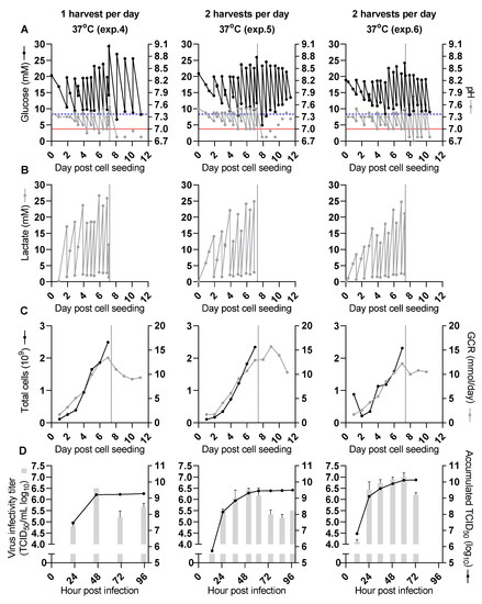
3.2. SARS-CoV-2 Production with One Harvest Per Day (Experiment 4)
3.3. Improved Virus Yields by Two Harvests per Day (Experiments 5 and 6)
3.4. Virus Production at 33 °C Further Enhanced Virus Yield (Experiment 7)
3.5. Addition of TrypLE to the Cell Culture Medium Did Not Enhance Virus Production (Experiment 8)
4. Discussion
Author Contributions
Funding
Institutional Review Board Statement
Informed Consent Statement
Data Availability Statement
Acknowledgments
Conflicts of Interest
References
- Lu, R.; Zhao, X.; Li, J.; Niu, P.; Yang, B.; Wu, H.; Wang, W.; Song, H.; Huang, B.; Zhu, N.; et al. Genomic characterisation and epidemiology of 2019 novel coronavirus: Implications for virus origins and receptor binding. Lancet 2020, 395, 565–574. [Google Scholar] [CrossRef] [Green Version]
- WHO Coronavirus Disease (COVID-19) Dashboard. Available online: https://covid19.who.int/ (accessed on 8 June 2021).
- Huang, C.; Wang, Y.; Li, X.; Ren, L.; Zhao, J.; Hu, Y.; Zhang, L.; Fan, G.; Xu, J.; Gu, X.; et al. Clinical features of patients infected with 2019 novel coronavirus in Wuhan, China. Lancet 2020, 395, 497–506. [Google Scholar] [CrossRef] [Green Version]
- Bai, Y.; Yao, L.; Wei, T.; Tian, F.; Jin, D.Y.; Chen, L.; Wang, M. Presumed Asymptomatic Carrier Transmission of COVID-19. JAMA 2020, 323, 1406–1407. [Google Scholar] [CrossRef] [PubMed] [Green Version]
- Thakur, V.; Ratho, R.K.; Kumar, P.; Bhatia, S.K.; Bora, I.; Mohi, G.K.; Saxena, S.K.; Devi, M.; Yadav, D.; Mehariya, S. Multi-Organ Involvement in COVID-19: Beyond Pulmonary Manifestations. J. Clin. Med. 2021, 10, 446. [Google Scholar] [CrossRef] [PubMed]
- Lancet, T. Facing up to long COVID. Lancet 2020, 396, 1861. [Google Scholar] [CrossRef]
- Krammer, F. SARS-CoV-2 vaccines in development. Nature 2020, 586, 516–527. [Google Scholar] [CrossRef]
- COVID-19—Landscape of Novel Coronavirus Candidate Vaccine Development Worldwide—8 June 2021. Available online: https://www.who.int/publications/m/item/draft-landscape-of-covid-19-candidate-vaccines (accessed on 8 June 2021).
- Poland, G.A.; Ovsyannikova, I.G.; Kennedy, R.B. SARS-CoV-2 immunity: Review and applications to phase 3 vaccine candidates. Lancet 2020, 396, 1595–1606. [Google Scholar] [CrossRef]
- Plotkin, S.A. Correlates of protection induced by vaccination. Clin. Vaccine Immunol. 2010, 17, 1055–1065. [Google Scholar] [CrossRef] [Green Version]
- Plotkin, S.A.; Plotkin, S.L. The development of vaccines: How the past led to the future. Nat. Rev. Microbiol. 2011, 9, 889–893. [Google Scholar] [CrossRef]
- Amanat, F.; Krammer, F. SARS-CoV-2 Vaccines: Status Report. Immunity 2020, 52, 583–589. [Google Scholar] [CrossRef]
- Fauvelle, C.; Colpitts, C.C.; Keck, Z.Y.; Pierce, B.G.; Foung, S.K.; Baumert, T.F. Hepatitis C virus vaccine candidates inducing protective neutralizing antibodies. Expert Rev. Vaccines 2016, 15, 1535–1544. [Google Scholar] [CrossRef] [PubMed]
- Lesch, H.P.; Valonen, P.; Karhinen, M. Evaluation of the Single-Use Fixed-Bed Bioreactors in Scalable Virus Production. Biotechnol. J. 2020, 16, e2000020. [Google Scholar] [CrossRef]
- Ramirez, S.; Fernandez-Antunez, C.; Galli, A.; Underwood, A.; Pham, L.V.; Ryberg, L.A.; Feng, S.; Pedersen, M.S.; Mikkelsen, L.S.; Belouzard, S.; et al. Overcoming culture restriction for SARS-CoV-2 in human cells facilitates the screening of compounds inhibiting viral replication. Antimicrob. Agents Chemother. 2021, 65, e0009721. [Google Scholar] [CrossRef]
- Wolschek, M.; Nuvonis Technologies GmbH, Vienna, Austria; Venkatesan, N.P.; Esco Aster Pte Ltd., Singapore 486 777, Singapore. Personal communication, 2020.
- Gammeltoft, K.A.; Zhou, Y.; Duarte Hernandez, C.R.; Galli, A.; Offersgaard, A.; Costa, R.; Pham, L.V.; Fahnøe, U.; Feng, S.; Scheel, T.K.H.; et al. Hepatitis C Virus Protease Inhibitors Show Differential Efficacy and Interactions with Remdesivir for Treatment of SARS-CoV-2 in Vitro. Antimicrob. Agents Chemother. 2021, in press. [Google Scholar] [CrossRef]
- Zhou, Y.; Gilmore, K.; Ramirez, S.; Settels, E.; Gammeltoft, K.; Pham, L.; Fahnøe, U.; Feng, S.; Offersgaard, A.; Trimpert, J.; et al. In vitro efficacy of Artemisinin-based treatments against SARS-CoV-2. Sci. Rep. 2021, in press. [Google Scholar]
- Gottwein, J.M.; Scheel, T.K.; Callendret, B.; Li, Y.P.; Eccleston, H.B.; Engle, R.E.; Govindarajan, S.; Satterfield, W.; Purcell, R.H.; Walker, C.M.; et al. Novel infectious cDNA clones of hepatitis C virus genotype 3a (strain S52) and 4a (strain ED43): Genetic analyses and in vivo pathogenesis studies. J. Virol. 2010, 84, 5277–5293. [Google Scholar] [CrossRef] [Green Version]
- Reed, L.J.; Muench, H. A simple method of estimating fifty per cent endpoints. Am. J. Epidemiol. 1938, 27, 493–497. [Google Scholar] [CrossRef]
- Corman, V.M.; Landt, O.; Kaiser, M.; Molenkamp, R.; Meijer, A.; Chu, D.K.; Bleicker, T.; Brunink, S.; Schneider, J.; Schmidt, M.L.; et al. Detection of 2019 novel coronavirus (2019-nCoV) by real-time RT-PCR. Eurosurveillance 2020, 25. [Google Scholar] [CrossRef] [Green Version]
- Jensen, S.B.; Fahnoe, U.; Pham, L.V.; Serre, S.B.N.; Tang, Q.; Ghanem, L.; Pedersen, M.S.; Ramirez, S.; Humes, D.; Pihl, A.F.; et al. Evolutionary Pathways to Persistence of Highly Fit and Resistant Hepatitis C Virus Protease Inhibitor Escape Variants. Hepatology 2019, 70, 771–787. [Google Scholar] [CrossRef]
- Fahnoe, U.; Bukh, J. Full-Length Open Reading Frame Amplification of Hepatitis C Virus. In Hepatitis C Virus Protocols; Humana Press: New York, NY, USA, 2019. [Google Scholar]
- Gao, Q.; Bao, L.; Mao, H.; Wang, L.; Xu, K.; Yang, M.; Li, Y.; Zhu, L.; Wang, N.; Lv, Z.; et al. Development of an inactivated vaccine candidate for SARS-CoV-2. Science 2020, 369, 77–81. [Google Scholar] [CrossRef]
- Yuk, I.H.; Lin, G.B.; Ju, H.; Sifi, I.; Lam, Y.; Cortez, A.; Liebertz, D.; Berry, J.M.; Schwartz, R.M. A serum-free Vero production platform for a chimeric virus vaccine candidate. Cytotechnology 2006, 51, 183–192. [Google Scholar] [CrossRef] [Green Version]
- Oguchi, S.; Saito, H.; Tsukahara, M.; Tsumura, H. pH Condition in temperature shift cultivation enhances cell longevity and specific hMab productivity in CHO culture. Cytotechnology 2006, 52, 199–207. [Google Scholar] [CrossRef] [Green Version]
- Masterton, R.J.; Smales, C.M. The impact of process temperature on mammalian cell lines and the implications for the production of recombinant proteins in CHO cells. Pharm. Bioprocess. 2014, 2, 49–61. [Google Scholar] [CrossRef]
- Ou, X.; Liu, Y.; Lei, X.; Li, P.; Mi, D.; Ren, L.; Guo, L.; Guo, R.; Chen, T.; Hu, J.; et al. Characterization of spike glycoprotein of SARS-CoV-2 on virus entry and its immune cross-reactivity with SARS-CoV. Nat. Commun. 2020, 11, 1620. [Google Scholar] [CrossRef] [PubMed] [Green Version]
- Hoffmann, M.; Kleine-Weber, H.; Pöhlmann, S. A Multibasic Cleavage Site in the Spike Protein of SARS-CoV-2 Is Essential for Infection of Human Lung Cells. Mol. Cell 2020, 78, 779–784.e5. [Google Scholar] [CrossRef]
- Xia, X. Domains and Functions of Spike Protein in Sars-Cov-2 in the Context of Vaccine Design. Viruses 2021, 13, 109. [Google Scholar] [CrossRef] [PubMed]
- Toriniwa, H.; Komiya, T. Japanese encephalitis virus production in Vero cells with serum-free medium using a novel oscillating bioreactor. Biologicals 2007, 35, 221–226. [Google Scholar] [CrossRef] [PubMed]
- Chen, Y.H.; Wu, J.C.; Wang, K.C.; Chiang, Y.W.; Lai, C.W.; Chung, Y.C.; Hu, Y.C. Baculovirus-mediated production of HDV-like particles in BHK cells using a novel oscillating bioreactor. J. Biotechnol. 2005, 118, 135–147. [Google Scholar] [CrossRef]
- Lai, C.C.; Weng, T.C.; Tseng, Y.F.; Chiang, J.R.; Lee, M.S.; Hu, A.Y. Evaluation of novel disposable bioreactors on pandemic influenza virus production. PLoS ONE 2019, 14, e0220803. [Google Scholar] [CrossRef] [Green Version]
- Esco VacciXcell. TideXcell: The Gentle Giant of Adherent Bioprocessing. Available online: https://escovaccixcell.com/assets/central_download/document/9010289_Vaccixcell_Product%20Guide_A4_Brochure_vE_LR.pdf (accessed on 20 March 2021).
- Wang, H.; Zhang, Y.; Huang, B.; Deng, W.; Quan, Y.; Wang, W.; Xu, W.; Zhao, Y.; Li, N.; Zhang, J.; et al. Development of an Inactivated Vaccine Candidate, BBIBP-CorV, with Potent Protection against SARS-CoV-2. Cell 2020, 182, 713–721.e9. [Google Scholar] [CrossRef] [PubMed]
- Zhang, Y.; Zeng, G.; Pan, H.; Li, C.; Hu, Y.; Chu, K.; Han, W.; Chen, Z.; Tang, R.; Yin, W.; et al. Safety, tolerability, and immunogenicity of an inactivated SARS-CoV-2 vaccine in healthy adults aged 18-59 years: A randomised, double-blind, placebo-controlled, phase 1/2 clinical trial. Lancet Infect. Dis. 2021, 21, 181–192. [Google Scholar] [CrossRef]
- Xia, S.; Zhang, Y.; Wang, Y.; Wang, H.; Yang, Y.; Gao, G.F.; Tan, W.; Wu, G.; Xu, M.; Lou, Z.; et al. Safety and immunogenicity of an inactivated SARS-CoV-2 vaccine, BBIBP-CorV: A randomised, double-blind, placebo-controlled, phase 1/2 trial. Lancet Infect. Dis. 2021, 21, 39–51. [Google Scholar] [CrossRef]
- Ella, R.; Vadrevu, K.M.; Jogdand, H.; Prasad, S.; Reddy, S.; Sarangi, V.; Ganneru, B.; Sapkal, G.; Yadav, P.; Abraham, P.; et al. Safety and immunogenicity of an inactivated SARS-CoV-2 vaccine, BBV152: A double-blind, randomised, phase 1 trial. Lancet Infect. Dis. 2021, 21, 637–646. [Google Scholar] [CrossRef]
- Ganneru, B.; Jogdand, H.; Daram, V.K.; Das, D.; Molugu, N.R.; Prasad, S.D.; Kannappa, S.V.; Ella, K.M.; Ravikrishnan, R.; Awasthi, A.; et al. Th1 Skewed immune response of Whole Virion Inactivated SARS CoV 2 Vaccine and its safety evaluation. Iscience 2021, 24, 102298. [Google Scholar] [CrossRef]
- Valneva and Dynavax Announce Collaboration to Advance Vaccine Development for COVID-19 [Press Release]. Available online: https://valneva.com/press-release/valneva-and-dynavax-announce-collaboration-to-advance-vaccine-development-for-covid-19/ (accessed on 6 February 2021).
- Nuvonis Vero Cell Banks (R&D and GMP). Available online: https://nuvonis.com/vero-cell-banks/ (accessed on 30 January 2021).
- Barrett, P.N.; Mundt, W.; Kistner, O.; Howard, M.K. Vero cell platform in vaccine production: Moving towards cell culture-based viral vaccines. Expert Rev. Vaccines 2009, 8, 607–618. [Google Scholar] [CrossRef]
- Esco Aster Pte Ltd. Cultivation of Serum-Free Vero Cells to High Cell Densities for Influenza Vaccine Production; Esco Aster Pte Ltd.: Singapore, 2018. [Google Scholar]
- Jardon, M.; Garnier, A. PH, pCO2, and temperature effect on R-adenovirus production. Biotechnol. Prog. 2003, 19, 202–208. [Google Scholar] [CrossRef]
- Hassell, T.; Gleave, S.; Butler, M. Growth inhibition in animal cell culture. The effect of lactate and ammonia. Appl. Biochem. Biotechnol. 1991, 30, 29–41. [Google Scholar] [CrossRef]
- Thomassen, Y.E.; Rubingh, O.; Wijffels, R.H.; van der Pol, L.A.; Bakker, W.A. Improved poliovirus D-antigen yields by application of different Vero cell cultivation methods. Vaccine 2014, 32, 2782–2788. [Google Scholar] [CrossRef] [PubMed] [Green Version]
- TrypLE Select Enzyme: A Temperature-Stable Replacement for Animal Trypsin in Cell Dissociation Applications (Application Note). Available online: https://assets.thermofisher.com/TFS-Assets/BPD/Application-Notes/tryple-select-enzyme-app-note.pdf (accessed on 5 January 2021).
- Dill, V.; Ehret, J.; Zimmer, A.; Beer, M.; Eschbaumer, M. Cell Density Effects in Different Cell Culture Media and Their Impact on the Propagation of Foot-And-Mouth Disease Virus. Viruses 2019, 11, 511. [Google Scholar] [CrossRef] [Green Version]
- Lesch, H.P.; Heikkila, K.M.; Lipponen, E.M.; Valonen, P.; Muller, A.; Rasanen, E.; Tuunanen, T.; Hassinen, M.M.; Parker, N.; Karhinen, M.; et al. Process Development of Adenoviral Vector Production in Fixed Bed Bioreactor: From Bench to Commercial Scale. Hum. Gene. Ther. 2015, 26, 560–571. [Google Scholar] [CrossRef] [PubMed]
- Vazquez-Ramirez, D.; Genzel, Y.; Jordan, I.; Sandig, V.; Reichl, U. High-cell-density cultivations to increase MVA virus production. Vaccine 2018, 36, 3124–3133. [Google Scholar] [CrossRef] [PubMed]
- Vazquez-Ramirez, D.; Jordan, I.; Sandig, V.; Genzel, Y.; Reichl, U. High titer MVA and influenza A virus production using a hybrid fed-batch/perfusion strategy with an ATF system. Appl. Microbiol. Biotechnol. 2019, 103, 3025–3035. [Google Scholar] [CrossRef] [PubMed] [Green Version]
- Bissinger, T.; Fritsch, J.; Mihut, A.; Wu, Y.; Liu, X.; Genzel, Y.; Tan, W.S.; Reichl, U. Semi-perfusion cultures of suspension MDCK cells enable high cell concentrations and efficient influenza A virus production. Vaccine 2019, 37, 7003–7010. [Google Scholar] [CrossRef] [PubMed]
- Wu, F.; Zhao, S.; Yu, B.; Chen, Y.M.; Wang, W.; Song, Z.G.; Hu, Y.; Tao, Z.W.; Tian, J.H.; Pei, Y.Y.; et al. A new coronavirus associated with human respiratory disease in China. Nature 2020, 579, 265–269. [Google Scholar] [CrossRef] [Green Version]
- Korber, B.; Fischer, W.M.; Gnanakaran, S.; Yoon, H.; Theiler, J.; Abfalterer, W.; Hengartner, N.; Giorgi, E.E.; Bhattacharya, T.; Foley, B.; et al. Tracking Changes in SARS-CoV-2 Spike: Evidence that D614G Increases Infectivity of the COVID-19 Virus. Cell 2020, 182, 812–827.e19. [Google Scholar] [CrossRef] [PubMed]
- Zhang, L.; Jackson, C.B.; Mou, H.; Ojha, A.; Peng, H.; Quinlan, B.D.; Rangarajan, E.S.; Pan, A.; Vanderheiden, A.; Suthar, M.S.; et al. SARS-CoV-2 spike-protein D614G mutation increases virion spike density and infectivity. Nat. Commun. 2020, 11, 6013. [Google Scholar] [CrossRef]
- CoVsurver: Mutation Analysis of hCoV-19. Available online: https://www.gisaid.org/epiflu-applications/covsurver-mutations-app/ (accessed on 12 April 2021).
- SARS-CoV-2 Variants. Available online: https://www.who.int/csr/don/31-december-2020-sars-cov2-variants/en/ (accessed on 5 January 2021).
- Ragan, I.K.; Hartson, L.M.; Dutt, T.S.; Obregon-Henao, A.; Maison, R.M.; Gordy, P.; Fox, A.; Karger, B.R.; Cross, S.T.; Kapuscinski, M.L.; et al. A Whole Virion Vaccine for COVID-19 Produced via a Novel Inactivation Method and Preliminary Demonstration of Efficacy in an Animal Challenge Model. Vaccines 2021, 9, 340. [Google Scholar] [CrossRef] [PubMed]
- Agrawal, A.S.; Tao, X.; Algaissi, A.; Garron, T.; Narayanan, K.; Peng, B.H.; Couch, R.B.; Tseng, C.T. Immunization with inactivated Middle East Respiratory Syndrome coronavirus vaccine leads to lung immunopathology on challenge with live virus. Hum. Vaccines Immunother. 2016, 12, 2351–2356. [Google Scholar] [CrossRef]
- WHO. Vaccines against Tick-Borne Encephalitis: WHO Position Paper—June 2011. Wkly. Epidemiol. Rec. 2011, 24, 241–256. [Google Scholar]
- WHO. Japanese Encephalitis Vaccines: WHO Position Paper—February 2015. Wkly. Epidemiol. Rec. 2015, 90, 69–88. [Google Scholar]
- Japanese Encephalitis Inactivated Vaccine (Human) (Purified Inactivated Vaccine—Adsorbed)—JEEV. Available online: https://www.who.int/immunization_standards/vaccine_quality/pq_266_je_1dose_biologicale_insert_updated.pdf (accessed on 5 June 2021).
- Seo, S.H.; Jang, Y. Cold-Adapted Live Attenuated SARS-Cov-2 Vaccine Completely Protects Human ACE2 Transgenic Mice from SARS-Cov-2 Infection. Vaccines 2020, 8, 584. [Google Scholar] [CrossRef] [PubMed]
- Lau, S.Y.; Wang, P.; Mok, B.W.; Zhang, A.J.; Chu, H.; Lee, A.C.; Deng, S.; Chen, P.; Chan, K.H.; Song, W.; et al. Attenuated SARS-CoV-2 variants with deletions at the S1/S2 junction. Emerg. Microbes Infect. 2020, 9, 837–842. [Google Scholar] [CrossRef] [PubMed]



| Experiment | 1 | 2 | 3 | 4 | 5 | 6 | 7 | 8 |
|---|---|---|---|---|---|---|---|---|
| Harvests per day | na | na | na | 1 | 2 | 2 | 2 | 2 |
| Temperature post infection, °C | na | na | na | 37 | 37 | 37 | 33 | 33 |
| Additives post infection | na | na | na | none | none | none | none | TrypLE |
| Cell numbers prior to infection | ||||||||
| Seed cell number | 1.4 × 108 | 2.3 × 108 | 1.5 × 108 | 1.5 × 108 | 1.5 × 108 | 1.5 × 108 | 1.5 × 108 | 1.5 × 108 |
| Peak total cell number | 2.8 × 109 | 2.7 × 109 | 2.7 × 109 | 2.5 × 109 | 2.3 × 109 | 2.3 × 109 | 2.3 × 109 | 2.2 × 109 |
| Cells/carrier | 3.5 × 106 | 3.4 × 106 | 3.4 × 106 | 3.1 × 106 | 2.9 × 106 | 2.8 × 106 | 2.9 × 106 | 2.7 × 106 |
| Cells/mL | 5.6 × 106 | 5.4 × 106 | 5.4 × 106 | 5.0 × 106 | 4.7 × 106 | 4.6 × 106 | 4.7 × 106 | 4.4 × 106 |
| Peak total cell number, dpcs | 9 | 9 | 9 | 7 a | 7 a | 7 a | 7 a | 7 a |
| Cell culture supernatant parameters prior to infection | ||||||||
| Peak GCR, mmol/day (dpcs) | 11 (9) | 12 (8) | 13 (7) | 13 (7) | 13 (7) | 12 (7) | 11 (7) | 13 (7) |
| Glucose range, mM | 7.7–22 | 7.1–23 | 9.5–25 | 8.7–29 | 7.8–26 | 8.4–24 | 8.3–23 | 7.5–24 |
| Lactate, mM b | 24 | 26 | 25 | 27 | 25 | 25 | 21 | 27 |
| Glutamine range, mM c | 3.5–4.2 | 3.7–4.1 | 3.7–4.1 | nd | nd | nd | nd | nd |
| Ammonia range, mM c | 0.1–0.4 | 0.1–0.5 | 0.1–0.6 | nd | nd | nd | nd | nd |
| pH range | 6.9–7.5 | 6.8–7.5 | 6.9–7.5 | 6.9–7.5 | 7–7.5 | 7–7.5 | 6.9–7.5 | 6.9–7.5 |
| Cell culture supernatant parameters post infection | ||||||||
| Glucose range, mM | na | na | na | 6.7–27 | 4.9–25 | 8.1–20 | 9.9–20 | 11–21 |
| pH range | na | na | na | 6.8 d | 6.8 d | 6.7–7.8 | 6.8–7.6 | 6.9–7.8 |
| Nucleotide Position a,b | Reference Nucleotide a | Alternative Nucleotide | Prevalence of Nucleotide Change | Gene | Amino Acid Change d | ||
|---|---|---|---|---|---|---|---|
| Seed Stock | Exp. 5 c | Exp. 7 Virus Pool c | |||||
| 1059 | C | T | 100 | 100 | 100 | nsp2 | T85I |
| 14,408 | C | T | 99 | 100 | 100 | nsp12 | P323L |
| 21,759 | A | G | 47 | 45 | 40 | S | H66R |
| 22,206 | A | G | 12 | 11 | 8 | S | D215G |
| 22,296 | A | G | 17 | 11 | 15 | S | H245R |
| 22,301 | A | C | 5 | 9 | 10 | S | S247R |
| 22,487 | G | A | 14 | 16 | 17 | S | E309K |
| 23,403 | A | G | 100 | 100 | 100 | S | D614G |
| 23,615 | C | A | 2 | 5 | 4 | S | R685S |
| 23,618 | A | C | 3 | 7 | 5 | S | S686R |
| 25,563 | G | T | 100 | 100 | 100 | ORF3a | Q57H |
| 28,899 | G | T | 99 | 99 | 100 | N | R209I |
| Experiment | 4 | 5 | 6 | 7 | 8 |
|---|---|---|---|---|---|
| Harvests per day | 1 | 2 | 2 | 2 | 2 |
| Temperature post infection, °C | 37 | 37 | 37 | 33 | 33 |
| Additives post infection | none | none | none | none | TrypLE |
| Total harvest volume, L a | 2 | 3.9 | 3 | 5.2 | 4.3 |
| Peak infectivity titer, log10 TCID50/mL (hpi) | 6.5 (46) | 6.4 (52) | 7.0 (60) | 7.3 (72) | 7.2 (59) |
| Total accumulated TCID50 units, log10 b | 9.3 | 9.5 | 10.1 | 10.5 | 10.4 |
| CSVY, TCID50 units/cell | 0.8 | 1.3 | 5.9 | 12.7 | 11.1 |
| Yield compared to experiment 7 c | 7% | 11% | 46% | 100% | 83% |
Publisher’s Note: MDPI stays neutral with regard to jurisdictional claims in published maps and institutional affiliations. |
© 2021 by the authors. Licensee MDPI, Basel, Switzerland. This article is an open access article distributed under the terms and conditions of the Creative Commons Attribution (CC BY) license (https://creativecommons.org/licenses/by/4.0/).
Share and Cite
Offersgaard, A.; Duarte Hernandez, C.R.; Pihl, A.F.; Costa, R.; Venkatesan, N.P.; Lin, X.; Van Pham, L.; Feng, S.; Fahnøe, U.; Scheel, T.K.H.; et al. SARS-CoV-2 Production in a Scalable High Cell Density Bioreactor. Vaccines 2021, 9, 706. https://doi.org/10.3390/vaccines9070706
Offersgaard A, Duarte Hernandez CR, Pihl AF, Costa R, Venkatesan NP, Lin X, Van Pham L, Feng S, Fahnøe U, Scheel TKH, et al. SARS-CoV-2 Production in a Scalable High Cell Density Bioreactor. Vaccines. 2021; 9(7):706. https://doi.org/10.3390/vaccines9070706
Chicago/Turabian StyleOffersgaard, Anna, Carlos Rene Duarte Hernandez, Anne Finne Pihl, Rui Costa, Nandini Prabhakar Venkatesan, Xiangliang Lin, Long Van Pham, Shan Feng, Ulrik Fahnøe, Troels Kasper Høyer Scheel, and et al. 2021. "SARS-CoV-2 Production in a Scalable High Cell Density Bioreactor" Vaccines 9, no. 7: 706. https://doi.org/10.3390/vaccines9070706
APA StyleOffersgaard, A., Duarte Hernandez, C. R., Pihl, A. F., Costa, R., Venkatesan, N. P., Lin, X., Van Pham, L., Feng, S., Fahnøe, U., Scheel, T. K. H., Ramirez, S., Reichl, U., Bukh, J., Genzel, Y., & Gottwein, J. M. (2021). SARS-CoV-2 Production in a Scalable High Cell Density Bioreactor. Vaccines, 9(7), 706. https://doi.org/10.3390/vaccines9070706

