A Nanoparticle-Poly(I:C) Combination Adjuvant Enhances the Breadth of the Immune Response to Inactivated Influenza Virus Vaccine in Pigs
Abstract
1. Introduction
2. Materials and Methods
2.1. Preparation of Influenza Viruses, Conserved Peptides, Adjuvant Poly(I:C) and Commercial Swine Flu Vaccine
2.2. Formulation of Nano-11-KAg-poly(I:C) and Nano-11-Peptides-Poly(I:C)
2.3. In Vitro Generation and Treatment of Porcine Monocyte-Derived Dendritic Cells (MoDCs)
2.4. Vaccination and Virus Challenge Trial in Pigs
2.5. Enzyme-Linked Immunosorbent Assay (ELISA) Assay
2.6. Flow Cytometry Analyses
2.7. Quantitative Reverse Transcription PCR (qRT-PCR) Analyses
2.8. Virus Neutralization Test (VNT) Titer and Infectious Virus Titration
2.9. Histopathology of Lungs
2.10. Statistical Analyses
3. Results
3.1. Preparation of Poly(I:C) Adjuvanted Nano-11-Based Influenza Vaccines
3.2. Nano-11-KAg-poly(I:C) Treatment Increased the Innate and Th1 Cytokine mRNA Expression in MoDCs
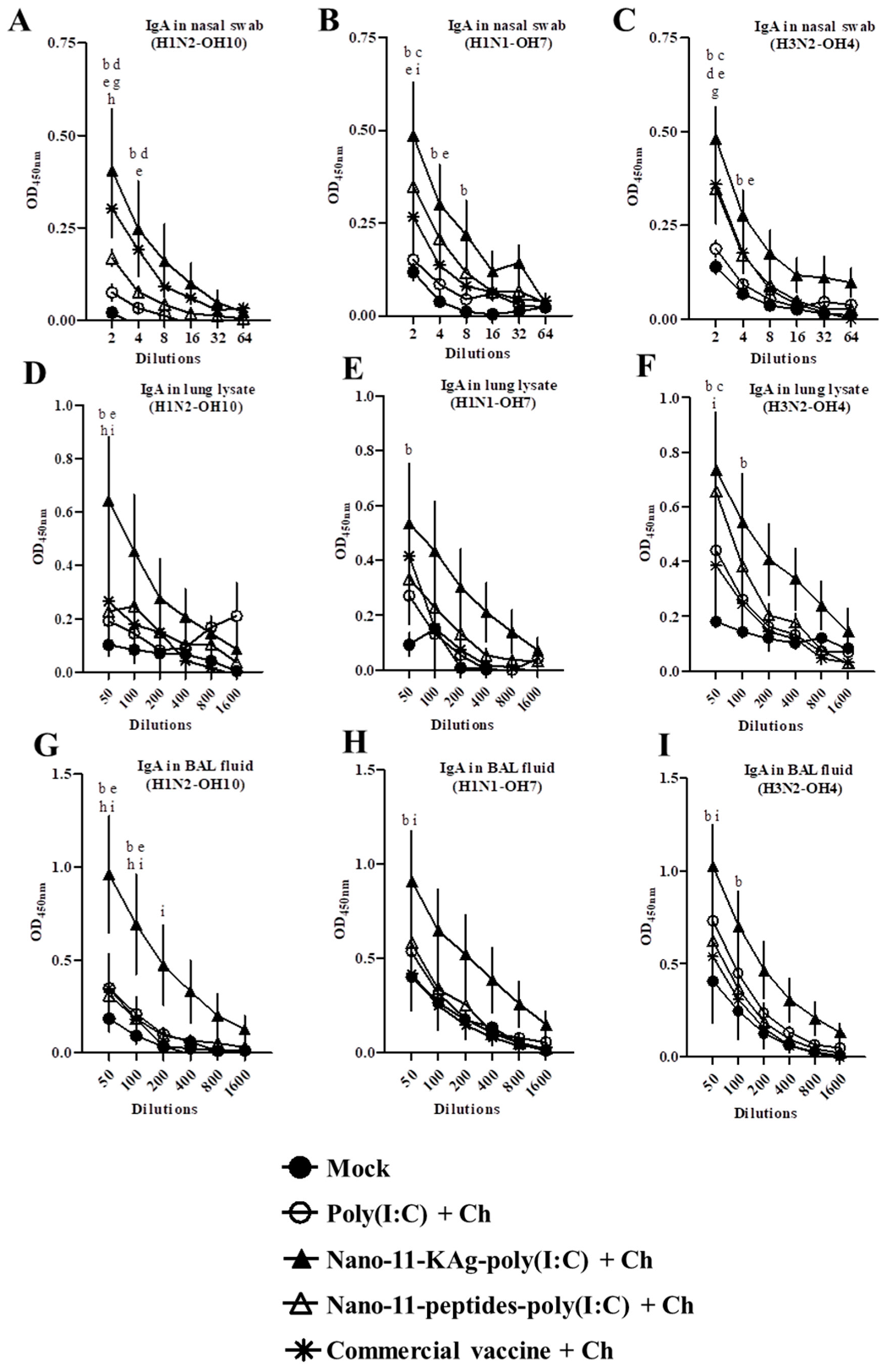
3.3. Nano-11-KAg-poly(I:C) Nanovaccine Augmented Cross-Reactive SIgA Antibody Response
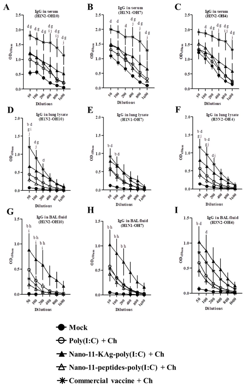
3.4. Nano-11-KAg-poly(I:C) Nanovaccine Increased the IgG Antibody Response in Lungs But Not in Serum
3.5. IFNγ Secretion by Lymphocytes of Poly(I:C) Adjuvanted Nano-11-Based Influenza Nanovaccinates
3.6. Poly(I:C) Adjuvanted Nano-11-Based Influenza Vaccines Increased Th1 and Th2 Cytokines mRNA Expression in TBLN
3.7. Nano-11-KAg-poly(I:C) Nanovaccinations Increased the VNT Titers in the Lung (But Not in Serum) with Comparable Virus Load in the Airways to That of Commercial Vaccine
4. Discussion
5. Conclusions
6. Ethics Statement
Author Contributions
Funding
Acknowledgments
Conflicts of Interest
References
- Janke, B.H. Clinicopathological features of Swine influenza. Curr. Top. Microbiol. Immunol. 2013, 370, 69–83. [Google Scholar] [CrossRef] [PubMed]
- Mastin, A.; Alarcon, P.; Pfeiffer, D.; Wood, J.; Williamson, S.; Brown, I.; Consortium, C.; Wieland, B. Prevalence and risk factors for swine influenza virus infection in the English pig population. PLoS Curr. 2011, 3, RRN1209. [Google Scholar] [CrossRef] [PubMed]
- Trebbien, R.; Larsen, L.E.; Viuff, B.M. Distribution of sialic acid receptors and influenza A virus of avian and swine origin in experimentally infected pigs. Virol. J. 2011, 8, 434. [Google Scholar] [CrossRef] [PubMed]
- Vincent, A.L.; Ma, W.; Lager, K.M.; Janke, B.H.; Richt, J.A. Swine influenza viruses a North American perspective. Adv. Virus Res. 2008, 72, 127–154. [Google Scholar] [CrossRef] [PubMed]
- Van Reeth, K.; Ma, W. Swine influenza virus vaccines: To change or not to change-that’s the question. Curr. Top. Microbiol. Immunol. 2013, 370, 173–200. [Google Scholar] [CrossRef]
- Heinen, P.P.; van Nieuwstadt, A.P.; de Boer-Luijtze, E.A.; Bianchi, A.T. Analysis of the quality of protection induced by a porcine influenza A vaccine to challenge with an H3N2 virus. Vet. Immunol. Immunopathol. 2001, 82, 39–56. [Google Scholar] [CrossRef]
- Heritage, P.L.; Underdown, B.J.; Arsenault, A.L.; Snider, D.P.; McDermott, M.R. Comparison of murine nasal-associated lymphoid tissue and Peyer’s patches. Am. J. Respir. Crit. Care Med. 1997, 156, 1256–1262. [Google Scholar] [CrossRef]
- Takaki, H.; Ichimiya, S.; Matsumoto, M.; Seya, T. Mucosal Immune Response in Nasal-Associated Lymphoid Tissue upon Intranasal Administration by Adjuvants. J. Innate Immun. 2018, 10, 515–521. [Google Scholar] [CrossRef]
- Renu, S.; Feliciano-Ruiz, N.; Ghimire, S.; Han, Y.; Schrock, J.; Dhakal, S.; Patil, V.; Krakowka, S.; Renukaradhya, G.J. Poly(I:C) augments inactivated influenza virus-chitosan nanovaccine induced cell mediated immune response in pigs vaccinated intranasally. Vet. Microbiol. 2020, 242, 108611. [Google Scholar] [CrossRef]
- Wu, H.Y.; Nguyen, H.H.; Russell, M.W. Nasal lymphoid tissue (NALT) as a mucosal immune inductive site. Scand. J. Immunol. 1997, 46, 506–513. [Google Scholar] [CrossRef]
- Lu, F.; Mosley, Y.C.; Rodriguez Rosales, R.J.; Carmichael, B.E.; Elesela, S.; Yao, Y.; HogenEsch, H. Alpha-D-glucan nanoparticulate adjuvant induces a transient inflammatory response at the injection site and targets antigen to migratory dendritic cells. NPJ Vaccines 2017, 2, 4. [Google Scholar] [CrossRef]
- Lu, F.; Mencia, A.; Bi, L.; Taylor, A.; Yao, Y.; HogenEsch, H. Dendrimer-like alpha-d-glucan nanoparticles activate dendritic cells and are effective vaccine adjuvants. J. Control. Release 2015, 204, 51–59. [Google Scholar] [CrossRef] [PubMed]
- Dhakal, S.; Lu, F.; Ghimire, S.; Renu, S.; Lakshmanappa, Y.S.; Hogshead, B.T.; Ragland, D.; HogenEsch, H.; Renukaradhya, G.J. Corn-derived alpha-D-glucan nanoparticles as adjuvant for intramuscular and intranasal immunization in pigs. Nanomedicine 2019, 16, 226–235. [Google Scholar] [CrossRef] [PubMed]
- Dhakal, S.; Hiremath, J.; Bondra, K.; Lakshmanappa, Y.S.; Shyu, D.L.; Ouyang, K.; Kang, K.I.; Binjawadagi, B.; Goodman, J.; Tabynov, K.; et al. Biodegradable nanoparticle delivery of inactivated swine influenza virus vaccine provides heterologous cell-mediated immune response in pigs. J. Control. Release 2017, 247, 194–205. [Google Scholar] [CrossRef] [PubMed]
- Dhakal, S.; Goodman, J.; Bondra, K.; Lakshmanappa, Y.S.; Hiremath, J.; Shyu, D.L.; Ouyang, K.; Kang, K.I.; Krakowka, S.; Wannemuehler, M.J.; et al. Polyanhydride nanovaccine against swine influenza virus in pigs. Vaccine 2017, 35, 1124–1131. [Google Scholar] [CrossRef] [PubMed]
- Dhakal, S.; Cheng, X.; Salcido, J.; Renu, S.; Bondra, K.; Lakshmanappa, Y.S.; Misch, C.; Ghimire, S.; Feliciano-Ruiz, N.; Hogshead, B.; et al. Liposomal nanoparticle-based conserved peptide influenza vaccine and monosodium urate crystal adjuvant elicit protective immune response in pigs. Int. J. Nanomed. 2018, 13, 6699–6715. [Google Scholar] [CrossRef]
- Hiremath, J.; Kang, K.I.; Xia, M.; Elaish, M.; Binjawadagi, B.; Ouyang, K.; Dhakal, S.; Arcos, J.; Torrelles, J.B.; Jiang, X.; et al. Entrapment of H1N1 Influenza Virus Derived Conserved Peptides in PLGA Nanoparticles Enhances T Cell Response and Vaccine Efficacy in Pigs. PLoS ONE 2016, 11, e0151922. [Google Scholar] [CrossRef]
- Asahi-Ozaki, Y.; Itamura, S.; Ichinohe, T.; Strong, P.; Tamura, S.; Takahashi, H.; Sawa, H.; Moriyama, M.; Tashiro, M.; Sata, T.; et al. Intranasal administration of adjuvant-combined recombinant influenza virus HA vaccine protects mice from the lethal H5N1 virus infection. Microbes Infect. 2006, 8, 2706–2714. [Google Scholar] [CrossRef]
- Le Bon, A.; Schiavoni, G.; D’Agostino, G.; Gresser, I.; Belardelli, F.; Tough, D.F. Type i interferons potently enhance humoral immunity and can promote isotype switching by stimulating dendritic cells in vivo. Immunity 2001, 14, 461–470. [Google Scholar] [CrossRef]
- Thomas, M.; Wang, Z.; Sreenivasan, C.C.; Hause, B.M.; Gourapura, J.R.; Li, F.; Francis, D.H.; Kaushik, R.S.; Khatri, M. Poly I:C adjuvanted inactivated swine influenza vaccine induces heterologous protective immunity in pigs. Vaccine 2015, 33, 542–548. [Google Scholar] [CrossRef]
- Nedumpun, T.; Ritprajak, P.; Suradhat, S. Generation of potent porcine monocyte-derived dendritic cells (MoDCs) by modified culture protocol. Vet. Immunol. Immunopathol. 2016, 182, 63–68. [Google Scholar] [CrossRef] [PubMed]
- Dhakal, S.; Renu, S.; Ghimire, S.; Shaan Lakshmanappa, Y.; Hogshead, B.T.; Feliciano-Ruiz, N.; Lu, F.; HogenEsch, H.; Krakowka, S.; Lee, C.W.; et al. Mucosal Immunity and Protective Efficacy of Intranasal Inactivated Influenza Vaccine Is Improved by Chitosan Nanoparticle Delivery in Pigs. Front. Immunol. 2018, 9, 934. [Google Scholar] [CrossRef] [PubMed]
- Renu, S.; Markazi, A.D.; Dhakal, S.; Lakshmanappa, Y.S.; Shanmugasundaram, R.; Selvaraj, R.K.; Renukaradhya, G.J. Oral Deliverable Mucoadhesive Chitosan-Salmonella Subunit Nanovaccine for Layer Chickens. Int. J. Nanomed. 2020, 15, 761–777. [Google Scholar] [CrossRef] [PubMed]
- Renu, S.; Markazi, A.D.; Dhakal, S.; Lakshmanappa, Y.S.; Gourapura, S.R.; Shanmugasundaram, R.; Senapati, S.; Narasimhan, B.; Selvaraj, R.K.; Renukaradhya, G.J. Surface engineered polyanhydride-based oral Salmonella subunit nanovaccine for poultry. Int. J. Nanomed. 2018, 13, 8195–8215. [Google Scholar] [CrossRef] [PubMed]
- Renegar, K.B.; Small, P.A., Jr.; Boykins, L.G.; Wright, P.F. Role of IgA versus IgG in the control of influenza viral infection in the murine respiratory tract. J. Immunol. 2004, 173, 1978–1986. [Google Scholar] [CrossRef] [PubMed]
- van Riet, E.; Ainai, A.; Suzuki, T.; Hasegawa, H. Mucosal IgA responses in influenza virus infections; thoughts for vaccine design. Vaccine 2012, 30, 5893–5900. [Google Scholar] [CrossRef]
- Muramatsu, M.; Yoshida, R.; Yokoyama, A.; Miyamoto, H.; Kajihara, M.; Maruyama, J.; Nao, N.; Manzoor, R.; Takada, A. Comparison of antiviral activity between IgA and IgG specific to influenza virus hemagglutinin: Increased potential of IgA for heterosubtypic immunity. PLoS ONE 2014, 9, e85582. [Google Scholar] [CrossRef]
- Moon, J.J.; Suh, H.; Li, A.V.; Ockenhouse, C.F.; Yadava, A.; Irvine, D.J. Enhancing humoral responses to a malaria antigen with nanoparticle vaccines that expand Tfh cells and promote germinal center induction. Proc. Natl. Acad. Sci. USA 2012, 109, 1080–1085. [Google Scholar] [CrossRef]
- Ichinohe, T.; Tamura, S.; Kawaguchi, A.; Ninomiya, A.; Imai, M.; Itamura, S.; Odagiri, T.; Tashiro, M.; Takahashi, H.; Sawa, H.; et al. Cross-protection against H5N1 influenza virus infection is afforded by intranasal inoculation with seasonal trivalent inactivated influenza vaccine. J. Infect. Dis. 2007, 196, 1313–1320. [Google Scholar] [CrossRef]
- Ichinohe, T.; Watanabe, I.; Ito, S.; Fujii, H.; Moriyama, M.; Tamura, S.; Takahashi, H.; Sawa, H.; Chiba, J.; Kurata, T.; et al. Synthetic double-stranded RNA poly(I:C) combined with mucosal vaccine protects against influenza virus infection. J. Virol. 2005, 79, 2910–2919. [Google Scholar] [CrossRef]
- Liang, J.; Fu, J.; Kang, H.; Lin, J.; Yu, Q.; Yang, Q. Comparison of 3 kinds of Toll-like receptor ligands for inactivated avian H5N1 influenza virus intranasal immunization in chicken. Poult. Sci. 2013, 92, 2651–2660. [Google Scholar] [CrossRef] [PubMed]
- De Bruin, T.G.; Van Rooij, E.M.; De Visser, Y.E.; Bianchi, A.T. Cytolytic function for pseudorabies virus-stimulated porcine CD4+ CD8dull+ lymphocytes. Viral Immunol. 2000, 13, 511–520. [Google Scholar] [CrossRef] [PubMed]
- Olin, M.R.; Batista, L.; Xiao, Z.; Dee, S.A.; Murtaugh, M.P.; Pijoan, C.C.; Molitor, T.W. Gammadelta lymphocyte response to porcine reproductive and respiratory syndrome virus. Viral Immunol. 2005, 18, 490–499. [Google Scholar] [CrossRef] [PubMed]







| S.No | Peptides | Sequence | Isoelectric Point |
|---|---|---|---|
| 1 | NP44-52 (T cell) | CTELKLSDY | 4.37 |
| 2 | PB1542-551 (T cell) | ATAQMALQLF | 5.57 |
| 3 | PB1591-599 (T cell) | VSDGGPNLY | 3.8 |
| 4 | M136-45 (T cell) | NTDLEALMEW | 3.57 |
| 5 | PB2197-205 (T cell) | VAGGTGSVY | 5.49 |
| 6 | HA159-92 (B cell) | SSDNGTCYPGDFIDYEELRE QLSSVSSFERFEIF | 3.89 |
| 7 | HA187-120 (B cell) | NSENGTCYPGDFIDYEELRE QLSSVSSFEKFEIF | 3.94 |
| 8 | HA1101-134 (B cell) | NPENGTCYPGYFADYEELR EQLSSVSSFERFEIF | 4.06 |
| 9 | M2e (B cell) | SLLTEVETPIRNGWECKCN DSSD | 4.18 |
| 10 | HA276-130 (B cell) | RIENLNKKVDDGFLDIWTY NAELLVLLENERTLDYHDS NVKNLYEKVRSQLKNNA | 5.18 |
| S.No | Oligo Name | Sequence (5′ → 3′) |
|---|---|---|
| 1 | β-actin | CAGCCTCCTGAAACTGGAATAT (F) TCAGCAACAAGGTCTACAATCC (R) |
| 2 | TNF-α | CGTTGTAGCCAATGTCAAAGCC (F) TGCCCAGATTCAGCAAAGTCCA (R) |
| 3 | IL-1ß | TCTGTACCTGTCTTGTGTGATG (F) GCTTCTCCATGTCCCTCTTT (R) |
| 4 | IL-13 | GTCATTGCTCTCACCTGCTT (F) TTGGTGTCTCGGATGTGCTT (R) |
| 5 | IL-10 | GCATCCACTTCCAGGCCA (F) CTTCCTCATCTTCATCGTCA (R) |
| 6 | GATA3 | TGCGGGCTCTACCACAAAAT (F) TAACCCGAGTAAAATGTGC (R) |
| 7 | IL-2 | GATTTACAGTTGCTTTTGAA (F) GTTGAGTAGATGCTTTGACA (R) |
| 8 | IL-6 | CCAGGAACCCAGCTATGAAC (F) CTGCACAGCCTCGACATT (R) |
© 2020 by the authors. Licensee MDPI, Basel, Switzerland. This article is an open access article distributed under the terms and conditions of the Creative Commons Attribution (CC BY) license (http://creativecommons.org/licenses/by/4.0/).
Share and Cite
Renu, S.; Feliciano-Ruiz, N.; Lu, F.; Ghimire, S.; Han, Y.; Schrock, J.; Dhakal, S.; Patil, V.; Krakowka, S.; HogenEsch, H.; et al. A Nanoparticle-Poly(I:C) Combination Adjuvant Enhances the Breadth of the Immune Response to Inactivated Influenza Virus Vaccine in Pigs. Vaccines 2020, 8, 229. https://doi.org/10.3390/vaccines8020229
Renu S, Feliciano-Ruiz N, Lu F, Ghimire S, Han Y, Schrock J, Dhakal S, Patil V, Krakowka S, HogenEsch H, et al. A Nanoparticle-Poly(I:C) Combination Adjuvant Enhances the Breadth of the Immune Response to Inactivated Influenza Virus Vaccine in Pigs. Vaccines. 2020; 8(2):229. https://doi.org/10.3390/vaccines8020229
Chicago/Turabian StyleRenu, Sankar, Ninoshkaly Feliciano-Ruiz, Fangjia Lu, Shristi Ghimire, Yi Han, Jennifer Schrock, Santosh Dhakal, Veerupaxagouda Patil, Steven Krakowka, Harm HogenEsch, and et al. 2020. "A Nanoparticle-Poly(I:C) Combination Adjuvant Enhances the Breadth of the Immune Response to Inactivated Influenza Virus Vaccine in Pigs" Vaccines 8, no. 2: 229. https://doi.org/10.3390/vaccines8020229
APA StyleRenu, S., Feliciano-Ruiz, N., Lu, F., Ghimire, S., Han, Y., Schrock, J., Dhakal, S., Patil, V., Krakowka, S., HogenEsch, H., & Renukaradhya, G. J. (2020). A Nanoparticle-Poly(I:C) Combination Adjuvant Enhances the Breadth of the Immune Response to Inactivated Influenza Virus Vaccine in Pigs. Vaccines, 8(2), 229. https://doi.org/10.3390/vaccines8020229

