Immune Response and Modeled Duration of Protection Following a Single 60 μg Hepatitis B Vaccine Booster in Susceptible Chinese University Students
Abstract
1. Introduction
2. Material and Methods
2.1. Study Design
- (1)
- University students aged 16 years or older;
- (2)
- Healthy individuals with a history of hepatitis B vaccine;
- (3)
- Obtained signed informed consent from the subject or their guardian.
- (1)
- Individuals with fever or acute/chronic severe illness;
- (2)
- Known allergy to any component of the 60 μg vaccine, including yeast cells or adjuvant ingredients;
- (3)
- History of convulsions (personal or familial), epilepsy, or allergic constitution;
- (4)
- Administration of live attenuated vaccines within 14 days or subunit/inactivated vaccines within 7 days before trial vaccine administration;
- (5)
- Current participation in another clinical trial;
- (6)
- Participants deemed unsuitable by the investigator.
2.2. Sample Size Calculation
2.3. Lab Testing
2.4. Mathematical Modeling for Long-Term Anti-HBs Antibody Duration
2.5. Data Analysis
3. Results
3.1. Seroprevalence of HBV Markers Among Screened Students
3.2. Baseline Characteristics of Participants
3.3. Immunogenicity in Participants
3.4. Distribution of Anti-HBs Titers
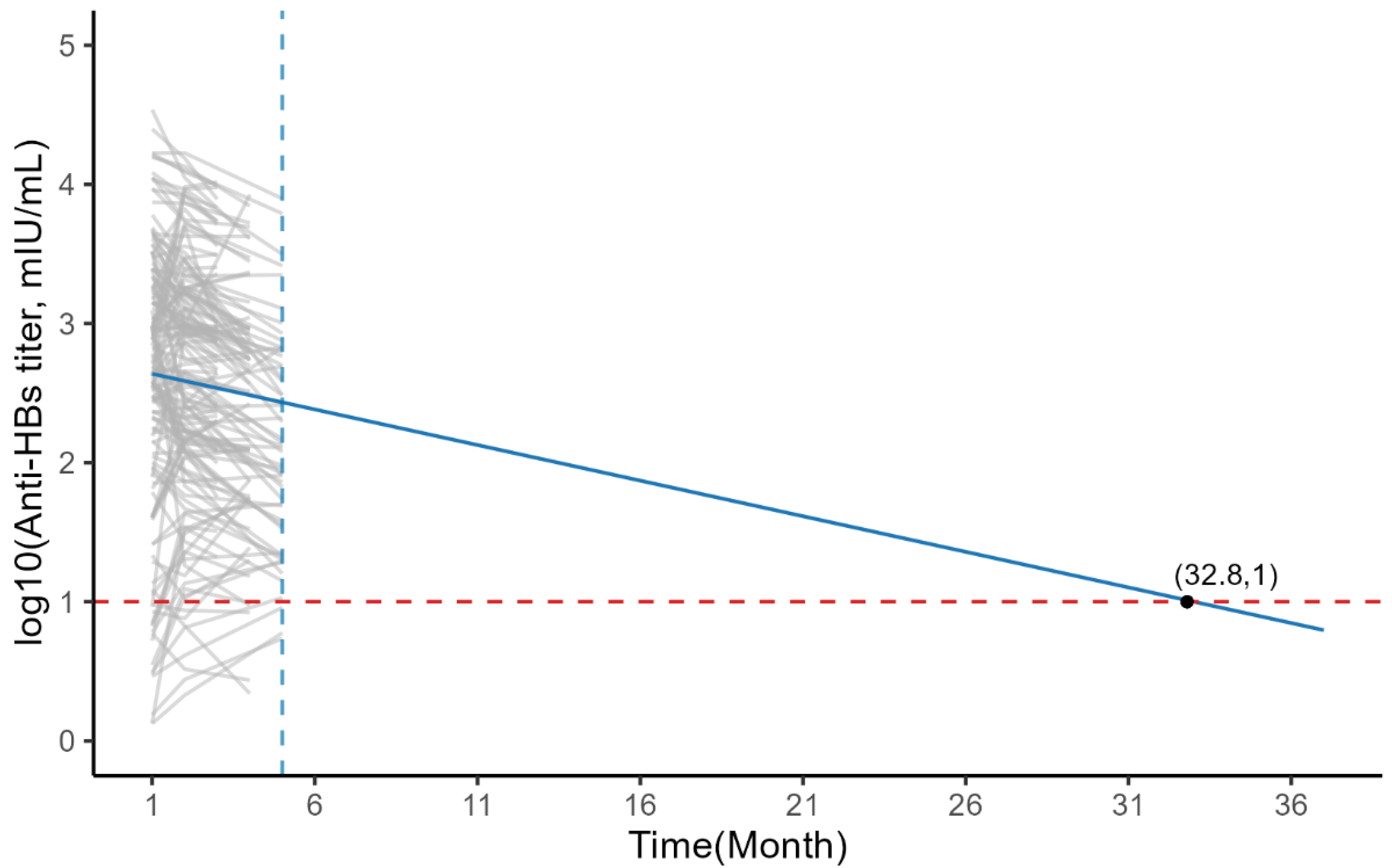
3.5. Modeling Result
4. Discussion
5. Conclusions
Author Contributions
Funding
Institutional Review Board Statement
Informed Consent Statement
Data Availability Statement
Acknowledgments
Conflicts of Interest
References
- World Health Organization. Global Hepatitis Report 2024: Action for Access in Low- and Middle-Income Countries. Available online: https://www.who.int/publications/i/item/9789240091672 (accessed on 9 January 2026).
- Rajbhandari, R.; Nguyen, V.H.; Knoble, A.; Fricker, G.; Chung, R.T. Advances in the Management of Hepatitis B. BMJ 2025, 389, e079579. [Google Scholar] [CrossRef]
- Pattyn, J.; Hendrickx, G.; Vorsters, A.; Van Damme, P. Hepatitis B Vaccines. J. Infect. Dis. 2021, 224, S343–S351. [Google Scholar] [CrossRef]
- Yan, R.; Sun, M.; Yang, H.; Du, S.; Sun, L.; Mao, Y. 2024 Latest Report on Hepatitis B Virus Epidemiology in China: Current Status, Changing Trajectory, and Challenges. Hepatobiliary Surg. Nutr. 2025, 14, 66–77. [Google Scholar] [CrossRef]
- Shan, S.; Zhao, X.; Jia, J. Comprehensive Approach to Controlling Chronic Hepatitis B in China. Clin. Mol. Hepatol. 2024, 30, 135–143. [Google Scholar] [CrossRef]
- Zhang, S.; Tian, X.; Wang, L.; Liu, M.; Wang, C.; Zhao, T.; Cai, X.; Zhang, X.; Wang, M.; Du, J.; et al. Time Interval Distribution of Hepatitis B Vaccine Immunization among Infants in China from 2017 to 2021. Hum. Vaccines Immunother. 2024, 20, 2395087. [Google Scholar] [CrossRef]
- Zhao, Y.-L.; Han, B.-H.; Zhang, X.-J.; Pan, L.-L.; Zhou, H.-S.; Gao, Z.; Hao, Z.-Y.; Wu, Z.-W.; Ma, T.-L.; Wang, F.; et al. Immune Persistence 17 to 20 Years after Primary Vaccination with Recombination Hepatitis B Vaccine (CHO) and the Effect of Booster Dose Vaccination. BMC Infect. Dis. 2019, 19, 482. [Google Scholar] [CrossRef]
- Wang, Z.-Z.; Gao, Y.-H.; Lu, W.; Jin, C.-D.; Zeng, Y.; Yan, L.; Ding, F.; Li, T.; Liu, X.-E.; Zhuang, H. Long-Term Persistence in Protection and Response to a Hepatitis B Vaccine Booster among Adolescents Immunized in Infancy in the Western Region of China. Hum. Vaccines Immunother. 2017, 13, 909–915. [Google Scholar] [CrossRef]
- Ramrakhiani, H.; Le, M.H.; Kam, L.; Nguyen, B.; Yeo, Y.H.; Levesley, C.R.; Gudapati, S.; Barnett, S.; Cheung, R.; Nguyen, M.H. Long-term Immunity and Anamnestic Response Following Hepatitis B Vaccination: A Systematic Review and Meta-analysis. J. Viral Hepat. 2025, 32, e70003. [Google Scholar] [CrossRef]
- World Health Organization. Guidelines for the Prevention, Diagnosis, Care and Treatment for People with Chronic Hepatitis B Infection. Available online: https://www.who.int/publications/i/item/9789240090903 (accessed on 5 April 2026).
- You, H.; Wang, F.; Li, T.; Xu, X.; Sun, Y.; Nan, Y.; Wang, G.; Hou, J.; Duan, Z.; Wei, L.; et al. Guidelines for the Prevention and Treatment of Chronic Hepatitis B (Version 2022). J. Clin. Transl. Hepatol. 2023, 11, 1425–1442. [Google Scholar] [CrossRef]
- Oster, G.; Bornheimer, R.; Ottino, K.; Stevenson, C.; Lewin, C.; Janssen, R. Adult Immunization against Hepatitis B: Does the Number of Jabs Matter? Vaccine 2022, 40, 3597–3604. [Google Scholar] [CrossRef]
- Bruxvoort, K.; Slezak, J.; Huang, R.; Ackerson, B.; Sy, L.S.; Qian, L.; Reynolds, K.; Towner, W.; Solano, Z.; Mercado, C.; et al. Association of Number of Doses With Hepatitis B Vaccine Series Completion in US Adults. JAMA Netw. Open 2020, 3, e2027577. [Google Scholar] [CrossRef]
- Hepatitis B Vaccines: WHO Position Paper—July 2017. Available online: https://www.who.int/publications/i/item/WER9227 (accessed on 9 April 2026).
- Hui, Z.; Yu, W.; Fuzhen, W.; Liping, S.; Guomin, Z.; Jianhua, L.; Feng, W.; Ning, M.; Jian, L.; Guowei, D.; et al. New Progress in HBV Control and the Cascade of Health Care for People Living with HBV in China: Evidence from the Fourth National Serological Survey, 2020. Lancet Reg. Health-West. Pac. 2024, 51, 101193. [Google Scholar] [CrossRef]
- Wang, C.; Li, X.; Zhang, C.; Xiao, L.; Xian, J. Prevalence and Influential Factors of Isolated Hepatitis B Core Antibody Positivity in a Chinese Adult Population. Sci. Rep. 2024, 14, 693. [Google Scholar] [CrossRef]
- Song, Y.; Feng, Y.; Jiang, F.; Xu, X.; Yang, P.; Liu, M.; Li, L.; Du, C.; Li, H.; Li, Q.; et al. The HBV Seroprevalence and Immune Responses to Hepatitis B Vaccination among College Students from Four Universities in China. Vaccine 2025, 61, 127408. [Google Scholar] [CrossRef]
- Cheng, T.-W.; Yang, J.-F.; Chen, Y.-Y.; Wu, K.-T.; Lee, M.-S.; Kuo, H.-J.; Lin, T.-C.; Wang, C.-L.; Hsieh, M.-H.; Lin, C.-Y.; et al. Epidemiology of Chronic Hepatitis B Infection in the Cohort of College Students with Vaccination in Taiwan. Vaccines 2023, 11, 348. [Google Scholar] [CrossRef]
- Xu, Y.; Liu, Y.; Wang, J.; Che, X.; Zhang, X.; Jiang, W.; Du, J.; Zhang, X.; Gu, W. Hepatitis B Virus Infection Seromarkers among College Freshmen and Their Immune Responses to Different Vaccination Policies of Hepatitis B Vaccine. Hum. Vaccines Immunother. 2021, 17, 4587–4594. [Google Scholar] [CrossRef]
- Wang, Z.-Z.; Gao, Y.-H.; Wang, P.; Wei, L.; Xie, C.-P.; Yang, Z.-X.; Lan, J.; Fang, Z.-L.; Zeng, Y.; Yan, L.; et al. Comparison of Immunogenicity between Hepatitis B Vaccines with Different Dosages and Schedules among Healthy Young Adults in China: A 2-Year Follow-up Study. Hum. Vaccines Immunother. 2018, 14, 1475–1482. [Google Scholar] [CrossRef]
- Qiu, Q.; Wang, H.; Liu, X.; Pang, X.; Zhang, W. Comparative Immunogenicity of a High-Dose Hepatitis B Virus (HBV) Vaccine with Rapid Immunization vs. Standard Schedule in HBV Vaccine—Naïve Adults Aged 25–55 in China. Vaccines 2024, 12, 923. [Google Scholar] [CrossRef]
- Wang, Z.-Z.; Li, M.-Q.; Wang, P.; Yang, Z.-X.; Wei, L.; Zeng, Y.; Li, Y.-P.; Yan, L.; Liu, X.-E.; Zhuang, H. Comparative Immunogenicity of Hepatitis B Vaccine with Different Dosages and Schedules in Healthy Young Adults in China. Vaccine 2016, 34, 1034–1039. [Google Scholar] [CrossRef]
- Jilg, W.; Schmidt, M.; Deinhardt, F.; Zachoval, R. Hepatitis B Vaccination: How Long Does Protection Last? Lancet 1984, 2, 458. [Google Scholar] [CrossRef]
- Pan, H.-X.; Zeng, Y.; Song, X.-F.; Zhang, Y.-J.; Xu, K.; Liang, Z.-L.; Zhu, F.-C. Immune Response to Hepatitis B Vaccine with High Antigen Content in Non-Responders after Standard Primary Vaccination in Chinese Adults. Vaccine 2014, 32, 3706–3712. [Google Scholar] [CrossRef] [PubMed]
- Komatsu, H.; Klenerman, P.; Thimme, R. Discordance of Hepatitis B Vaccination Policies for Healthcare Workers between the USA, the UK, and Germany. Hepatol. Res. 2020, 50, 272–282. [Google Scholar] [CrossRef]
- Vellinga, A.; Van Damme, P.; Bruckers, L.; Weyler, J.J.; Molenberghs, G.; Meheus, A. Modelling Long-Term Persistence of Hepatitis B Antibodies after Vaccination. J. Med. Virol. 1999, 57, 100–103. [Google Scholar] [CrossRef]
- Oliveira-Silva, J.; Reis, T.; Lopes, C.; Batista-Silva, R.; Ribeiro, R.; Marques, G.; Pacheco, V.; Rodrigues, T.; Afonso, A.; Pinheiro, V.; et al. Long-Term Serological SARS-CoV-2 IgG Kinetics Following mRNA COVID-19 Vaccine: Real-World Data from a Large Cohort of Healthcare Workers. Int. J. Infect. Dis. 2022, 122, 1–7. [Google Scholar] [CrossRef]
- Qiu, Y.; Wu, Z.-K.; Wu, J.; Yao, J.; Liu, Y.; Ren, W.; Sun, Y.-J.; Shen, L.-Z.; Ren, J.-J. Modeling Long-Term Persistence after 8 Years of Hepatitis B Booster Vaccination in 5- to 15-Year-Old Children. Hum. Vaccines Immunother. 2022, 18, 2061247. [Google Scholar] [CrossRef]
- Van Olden, R.W.; Lo Bianco, C.; Dilly, K.W.; Savelieva, M.; Xu, S.; Tijsma, A.; Van Baalen, C.; Sharma, H.; Mumneh, N. Adeno-Associated Virus Serotype 9 Antibodies in Neonates and Young Children: Seroprevalence and Kinetics. Mol. Ther.-Methods Clin. Dev. 2024, 32, 101344. [Google Scholar] [CrossRef]
- Edelman, R.; Deming, M.E.; Toapanta, F.R.; Heuser, M.D.; Chrisley, L.; Barnes, R.S.; Wasserman, S.S.; Blackwelder, W.C.; Handwerger, B.S.; Pasetti, M.; et al. The SENIEUR Protocol and the Efficacy of Hepatitis B Vaccination in Healthy Elderly Persons by Age, Gender, and Vaccine Route. Immun. Ageing 2020, 17, 9. [Google Scholar] [CrossRef] [PubMed]
- Yang, S.; Tian, G.; Cui, Y.; Ding, C.; Deng, M.; Yu, C.; Xu, K.; Ren, J.; Yao, J.; Li, Y.; et al. Factors Influencing Immunologic Response to Hepatitis B Vaccine in Adults. Sci. Rep. 2016, 6, 27251. [Google Scholar] [CrossRef] [PubMed]
- Trevisan, A.; Giuliani, A.; Scapellato, M.L.; Anticoli, S.; Carsetti, R.; Zaffina, S.; Brugaletta, R.; Vonesch, N.; Tomao, P.; Ruggieri, A. Sex Disparity in Response to Hepatitis B Vaccine Related to the Age of Vaccination. Int. J. Environ. Res. Public Health 2020, 17, 327. [Google Scholar] [CrossRef]
- Tahir, A.; Shinkafi, S.H.; Alshrari, A.S.; Yunusa, A.; Umar, M.T.; Hudu, S.A.; Jimoh, A.O. A Comprehensive Review of Hepatitis B Vaccine Nonresponse and Associated Risk Factors. Vaccines 2024, 12, 710. [Google Scholar] [CrossRef]



| Serological Profile | n (%) |
|---|---|
| All markers negative | 1883 (63.02%) |
| Anti-HBs+ only | 1071 (35.84%) |
| Anti-HBs+ + Anti-HBc+ | 11 (0.37%) |
| Anti-HBc+ only | 8 (0.27%) |
| HBsAg+ + Anti-HBe+ + Anti-HBc+ | 4 (0.13%) |
| HBsAg+ + Anti-HBc+ | 3 (0.10%) |
| HBsAg+ + HBeAg+ + Anti-HBc+ | 3 (0.10%) |
| Anti-HBe+ + Anti-HBc+ | 2 (0.07%) |
| Anti-HBe+ only | 1 (0.03%) |
| Anti-HBs+ + Anti-HBe+ | 1 (0.04%) |
| Anti-HBs+ + Anti-HBe+ + Anti-HBc+ | 1 (0.05%) |
| Total | 2988 (100%) |
| Charecteries | Value |
|---|---|
| Age | 18.98 ± 0.83 |
| Gender | |
| Male | 61 (38.13%) |
| Female | 99 (61.88%) |
| University | |
| A | 52 (32.50%) |
| B | 54 (33.75%) |
| C | 54 (33.76%) |
| Time Post-Vaccination | University A (N = 52) | University B (N = 54) | University C (N = 54) |
|---|---|---|---|
| Month 1 | |||
| SPR, % (n/N; 95% CI) | 98.08 (51/52; 89.74–99.95) | 87.04 (47/54; 75.10–94.63) | 85.19 (46/54; 72.88–93.38) |
| GMC, mIU/mL (95% CI) | 386.87 (256.10–584.41) | 428.98 (224.19–820.83) | 417.86 (201.80–865.27) |
| Month 2 | |||
| SPR, % (n/N; 95% CI) | 100.00 (52/52; 93.15–100.00) | 92.59 (50/54; 82.11–97.94) | 92.59 (50/54; 82.11–97.94) |
| GMC, mIU/mL (95% CI) | 475.05 (316.44–713.14) | 373.94 (207.52–673.82) | 396.61 (210.48–747.34) |
| Month 3/4/5 * | |||
| SPR, % (n/N; 95% CI) | 100.00 (52/52; 93.15–100.00) | 90.74 (49/54; 79.70–96.92) | 94.44 (51/54; 84.61–98.84) |
| GMC, mIU/mL (95% CI) | 398.20 (258.79–612.71) | 280.01 (161.94–484.14) | 230.49 (131.02–405.46) |
| Component | Predictors | Estimate | Std. Error | p |
|---|---|---|---|---|
| Fixed effects | Intercept | 2.64 | 0.07 | <0.001 |
| Time (Month) | −0.05 | 0.01 | <0.001 | |
| Random effects | δ12 | 0.82 | ||
| δ22 | 0.02 | |||
| δ2 | 0.06 | |||
| Model fit indices | AIC | 746.9 | ||
| BIC | 771.9 | |||
| ICC | 0.93 | |||
| Marginal R2/Conditional R2 | 0.01/0.93 |
Disclaimer/Publisher’s Note: The statements, opinions and data contained in all publications are solely those of the individual author(s) and contributor(s) and not of MDPI and/or the editor(s). MDPI and/or the editor(s) disclaim responsibility for any injury to people or property resulting from any ideas, methods, instructions or products referred to in the content. |
© 2026 by the authors. Licensee MDPI, Basel, Switzerland. This article is an open access article distributed under the terms and conditions of the Creative Commons Attribution (CC BY) license.
Share and Cite
Luo, X.; Zhou, W.; Zhou, S.; Song, F.; Geng, S.; Xu, H.; Cheng, Y.; Ren, M.; Dong, Y.; Lin, L.; et al. Immune Response and Modeled Duration of Protection Following a Single 60 μg Hepatitis B Vaccine Booster in Susceptible Chinese University Students. Vaccines 2026, 14, 345. https://doi.org/10.3390/vaccines14040345
Luo X, Zhou W, Zhou S, Song F, Geng S, Xu H, Cheng Y, Ren M, Dong Y, Lin L, et al. Immune Response and Modeled Duration of Protection Following a Single 60 μg Hepatitis B Vaccine Booster in Susceptible Chinese University Students. Vaccines. 2026; 14(4):345. https://doi.org/10.3390/vaccines14040345
Chicago/Turabian StyleLuo, Xianwei, Wenxiang Zhou, Shujie Zhou, Feiyang Song, Shouyan Geng, Haiyang Xu, Yuhui Cheng, Mingxue Ren, Yan Dong, Ling Lin, and et al. 2026. "Immune Response and Modeled Duration of Protection Following a Single 60 μg Hepatitis B Vaccine Booster in Susceptible Chinese University Students" Vaccines 14, no. 4: 345. https://doi.org/10.3390/vaccines14040345
APA StyleLuo, X., Zhou, W., Zhou, S., Song, F., Geng, S., Xu, H., Cheng, Y., Ren, M., Dong, Y., Lin, L., Mao, L., Wang, B., Chai, Y., Miao, P., Ma, S., & Tang, J. (2026). Immune Response and Modeled Duration of Protection Following a Single 60 μg Hepatitis B Vaccine Booster in Susceptible Chinese University Students. Vaccines, 14(4), 345. https://doi.org/10.3390/vaccines14040345

