Influenza Vaccine Immunogenicity in Hemodialysis Patients
Abstract
1. Introduction
2. Materials and Methods
2.1. Study Design and Populations
2.2. Immunization
2.3. Antibody Response Assessment
2.4. Peripheral Blood Mononuclear Cell (PBMCs) Isolation and Cryopreservation
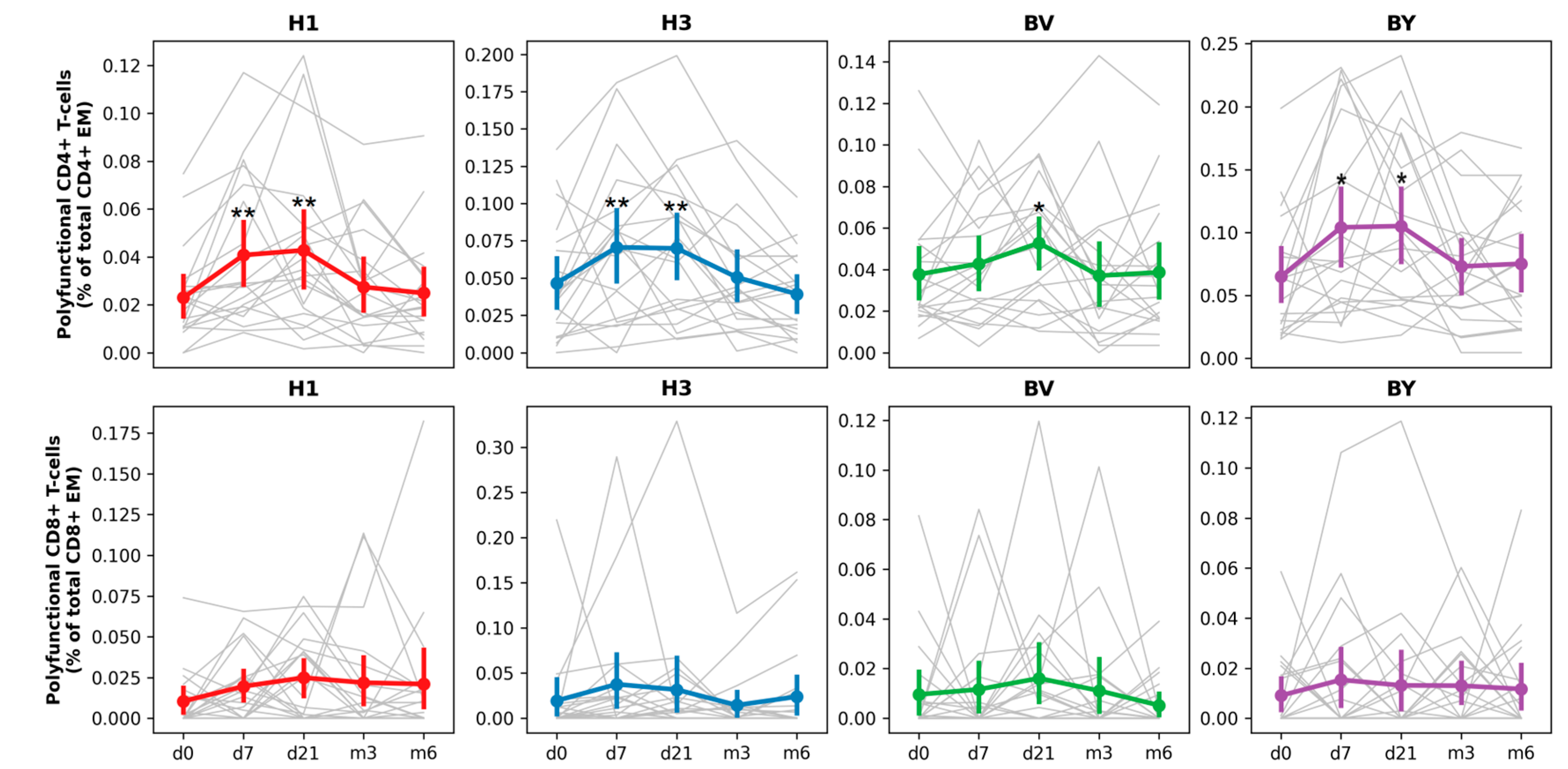
2.5. Intracellular Cytokine Staining (ICS)
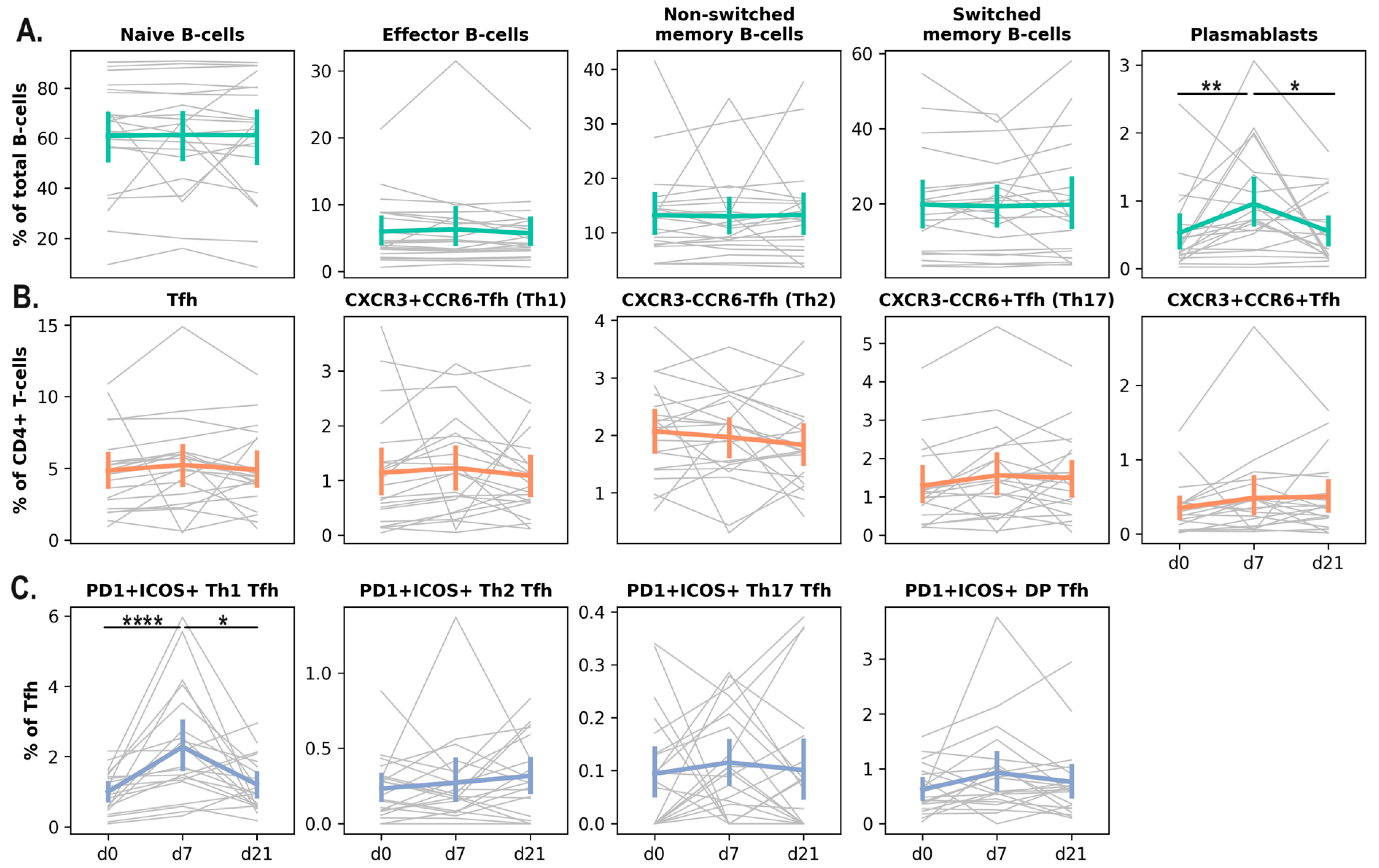
2.6. T-Follicular Helper Cells (Tfh) Evaluation
2.7. B-Cell Evaluation
2.8. Antigen-Specific IFNγ Release in Whole-Blood Cultures
2.9. Statistics
3. Results
3.1. Study Population
3.2. Immunological Efficacy of IIVs in Hemodialysis Patients
3.3. Post-Vaccination Immune Response Dynamics in Hemodialysis Patients
3.4. Effect of Repeated IIV Administration on the Post-Vaccination Immune Response
4. Discussion
Supplementary Materials
Author Contributions
Funding
Institutional Review Board Statement
Informed Consent Statement
Data Availability Statement
Conflicts of Interest
References
- Kovesdy, C.P. Epidemiology of Chronic Kidney Disease: An Update 2022. Kidney Int. Suppl. 2022, 12, 7–11. [Google Scholar] [CrossRef]
- Reddy, S.; Chitturi, C.; Yee, J. Vaccination in Chronic Kidney Disease. Adv. Chronic Kidney Dis. 2019, 26, 72–78. [Google Scholar] [CrossRef]
- Sarnak, M.J.; Jaber, B.L. Pulmonary Infectious Mortality Among Patients with End-Stage Renal Disease. Chest 2001, 120, 1883–1887. [Google Scholar] [CrossRef]
- Bowman, B.T.; Rosner, M.H. Influenza and the Patient with End-Stage Renal Disease. J. Nephrol. 2018, 31, 225–230. [Google Scholar] [CrossRef] [PubMed]
- Naqvi, S.B.; Collins, A.J. Infectious Complications in Chronic Kidney Disease. Adv. Chronic Kidney Dis. 2006, 13, 199–204. [Google Scholar] [CrossRef]
- Vaziri, N.D.; Pahl, M.V.; Crum, A.; Norris, K. Effect of Uremia on Structure and Function of Immune System. J. Ren. Nutr. 2012, 22, 149–156. [Google Scholar] [CrossRef]
- Mastalerz-Migas, A.; Gwiazda, E.; Brydak, L.B. Effectiveness of Influenza Vaccine in Patients on Hemodialysis—A Review. Med. Sci. Monit. Int. Med. J. Exp. Clin. Res. 2013, 19, 1013–1018. [Google Scholar] [CrossRef]
- Girndt, M.; Sester, M.; Sester, U.; Kaul, H.; Köhler, H. Molecular Aspects of T- and B-Cell Function in Uremia. Kidney Int. Suppl. 2001, 78, S206–S211. [Google Scholar] [CrossRef] [PubMed]
- Cohen, G. Immune Dysfunction in Uremia 2020. Toxins 2020, 12, 439. [Google Scholar] [CrossRef] [PubMed]
- Losappio, V.; Franzin, R.; Infante, B.; Godeas, G.; Gesualdo, L.; Fersini, A.; Castellano, G.; Stallone, G. Molecular Mechanisms of Premature Aging in Hemodialysis: The Complex Interplay Between Innate and Adaptive Immune Dysfunction. Int. J. Mol. Sci. 2020, 21, 3422. [Google Scholar] [CrossRef]
- Kim, K.W.; Chung, B.H.; Jeon, E.J.; Kim, B.-M.; Choi, B.S.; Park, C.W.; Kim, Y.-S.; Cho, S.-G.; Cho, M.-L.; Yang, C.W. B Cell-Associated Immune Profiles in Patients with End-Stage Renal Disease (ESRD). Exp. Mol. Med. 2012, 44, 465–472. [Google Scholar] [CrossRef] [PubMed]
- Kim, J.U.; Kim, M.; Kim, S.; Nguyen, T.T.; Kim, E.; Lee, S.; Kim, S.; Kim, H. Dendritic Cell Dysfunction in Patients with End-Stage Renal Disease. Immune Netw. 2017, 17, 152–162. [Google Scholar] [CrossRef] [PubMed]
- Wang, Y.; Gao, L. Inflammation and Cardiovascular Disease Associated with Hemodialysis for End-Stage Renal Disease. Front. Pharmacol. 2022, 13, 800950. [Google Scholar] [CrossRef]
- Kaszubowska, L. Telomere Shortening and Ageing of the Immune System. J. Physiol. Pharmacol. 2008, 59, 169–186. [Google Scholar]
- Remschmidt, C.; Wichmann, O.; Harder, T. Influenza Vaccination in Patients with End-Stage Renal Disease: Systematic Review and Assessment of Quality of Evidence Related to Vaccine Efficacy, Effectiveness, and Safety. BMC Med. 2014, 12, 244. [Google Scholar] [CrossRef] [PubMed]
- Haddiya, I. Current Knowledge of Vaccinations in Chronic Kidney Disease Patients. Int. J. Nephrol. Renovasc. Dis. 2020, 13, 179–185. [Google Scholar] [CrossRef]
- Wang, I.-K.; Lin, C.-L.; Lin, P.-C.; Liang, C.-C.; Liu, Y.-L.; Chang, C.-T.; Yen, T.-H.; Morisky, D.E.; Huang, C.-C.; Sung, F.-C. Effectiveness of Influenza Vaccination in Patients with End-Stage Renal Disease Receiving Hemodialysis: A Population-Based Study. PLoS ONE 2013, 8, e58317. [Google Scholar] [CrossRef]
- Fang, Y.-A.; Chen, C.-I.; Liu, J.-C.; Sung, L.-C. Influenza Vaccination Reduces Hospitalization for Heart Failure in Elderly Patients with Chronic Kidney Disease: A Population-Based Cohort Study. Acta Cardiol. Sin. 2016, 32, 290–298. [Google Scholar] [CrossRef]
- Chen, C.-I.; Kao, P.-F.; Wu, M.-Y.; Fang, Y.-A.; Miser, J.S.; Liu, J.-C.; Sung, L.-C. Influenza Vaccination Is Associated with Lower Risk of Acute Coronary Syndrome in Elderly Patients with Chronic Kidney Disease. Medicine 2016, 95, e2588. [Google Scholar] [CrossRef]
- Hu, P.-J.; Chen, C.-H.; Wong, C.-S.; Chen, T.-T.; Wu, M.-Y.; Sung, L.-C. Influenza Vaccination Reduces Incidence of Peripheral Arterial Occlusive Disease in Elderly Patients with Chronic Kidney Disease. Sci. Rep. 2021, 11, 4847. [Google Scholar] [CrossRef]
- Liu, J.-C.; Hsu, Y.-P.; Kao, P.-F.; Hao, W.-R.; Liu, S.-H.; Lin, C.-F.; Sung, L.-C.; Wu, S.-Y. Influenza Vaccination Reduces Dementia Risk in Chronic Kidney Disease Patients: A Population-Based Cohort Study. Medicine 2016, 95, e2868. [Google Scholar] [CrossRef]
- Krueger, K.M.; Ison, M.G.; Ghossein, C. Practical Guide to Vaccination in All Stages of CKD, Including Patients Treated by Dialysis or Kidney Transplantation. Am. J. Kidney Dis. 2020, 75, 417–425. [Google Scholar] [CrossRef]
- Ramsay, L.C.; Buchan, S.A.; Stirling, R.G.; Cowling, B.J.; Feng, S.; Kwong, J.C.; Warshawsky, B.F. The Impact of Repeated Vaccination on Influenza Vaccine Effectiveness: A Systematic Review and Meta-Analysis. BMC Med. 2019, 17, 9. [Google Scholar] [CrossRef]
- Khurana, S.; Hahn, M.; Coyle, E.M.; King, L.R.; Lin, T.-L.; Treanor, J.; Sant, A.; Golding, H. Repeat Vaccination Reduces Antibody Affinity Maturation Across Different Influenza Vaccine Platforms in Humans. Nat. Commun. 2019, 10, 3338. [Google Scholar] [CrossRef] [PubMed]
- Tarasov, M.; Shanko, A.; Kordyukova, L.; Katlinski, A. Characterization of Inactivated Influenza Vaccines Used in the Russian National Immunization Program. Vaccines 2020, 8, 488. [Google Scholar] [CrossRef] [PubMed]
- Shanko, A.; Shuklina, M.; Kovaleva, A.; Zabrodskaya, Y.; Vidyaeva, I.; Shaldzhyan, A.; Fadeev, A.; Korotkov, A.; Zaitceva, M.; Stepanova, L.; et al. Comparative Immunological Study in Mice of Inactivated Influenza Vaccines Used in the Russian Immunization Program. Vaccines 2020, 8, 756. [Google Scholar] [CrossRef] [PubMed]
- MU 3.1.3490-17; Study of Population Immunity to Influenza in the Population of the Russian Federation (Approved by the Chief State Sanitary Doctor of the Russian Federation on 27 October 2017). Russian GOST: Moscow, Russia, 2017.
- Robert, G.; Cox, N.; Scott, K. WHO Manual on Animal Influenza Diagnosis and Surveillance; World Health Organization: Geneva, Switzerland, 2002. [Google Scholar]
- Cui, C.; Schoenfelt, K.Q.; Becker, K.M.; Becker, L. Isolation of Polymorphonuclear Neutrophils and Monocytes from a Single Sample of Human Peripheral Blood. STAR Protoc. 2021, 2, 100845. [Google Scholar] [CrossRef]
- Haralambieva, I.H.; Ovsyannikova, I.G.; Kennedy, R.B.; Poland, G.A. Detection and Quantification of Influenza A/H1N1 Virus-Specific Memory B Cells in Human PBMCs Using ELISpot Assay. Methods Mol Biol. 2018, 1808, 221–236. [Google Scholar] [CrossRef]
- Zemchenkov, A.Y. Adequacy of Hemodialysis. Classical Approach. Nephrol. Dial. 2001, 3, 4–20. [Google Scholar]
- Sergeeva, M.V.; Romanovskaya-Romanko, E.A.; Krivitskaya, V.Z.; Kudar, P.A.; Petkova, N.N.; Kudria, K.S.; Lioznov, D.A.; Stukova, M.A.; Desheva, Y.A. Longitudinal Analysis of Neuraminidase and Hemagglutinin Antibodies to Influenza A Viruses after Immunization with Seasonal Inactivated Influenza Vaccines. Vaccines 2023, 11, 1731. [Google Scholar] [CrossRef]
- Nakayama, T.; Kumagai, T.; Kashiwagi, Y.; Yoshii, H.; Honjo, K.; Kubota-Koketsu, R.; Okuno, Y.; Suga, S. Cytokine Production in Whole-Blood Cultures Following Immunization with an Influenza Vaccine. Hum. Vaccin. Immunother. 2018, 14, 2990–2998. [Google Scholar] [CrossRef]
- Puspitasari, M.; Sattwika, P.D.; Rahari, D.S.; Wijaya, W.; Hidayat, A.R.P.; Kertia, N.; Purwanto, B.; Thobari, J.A. Outcomes of Vaccinations against Respiratory Diseases in Patients with End-Stage Renal Disease Undergoing Hemodialysis: A Systematic Review and Meta-Analysis. PLoS ONE 2023, 18, e0281160. [Google Scholar] [CrossRef]
- Ishigami, J.; Sang, Y.; Grams, M.E.; Coresh, J.; Chang, A.; Matsushita, K. Effectiveness of Influenza Vaccination Among Older Adults Across Kidney Function: Pooled Analysis of 2005–2006 Through 2014–2015 Influenza Seasons. Am. J. Kidney Dis. 2020, 75, 887–896. [Google Scholar] [CrossRef]
- Chang, L.-J.; Meng, Y.; Janosczyk, H.; Landolfi, V.; Talbot, H.K. Safety and Immunogenicity of High-Dose Quadrivalent Influenza Vaccine in Adults ≥65 years of Age: A Phase 3 Randomized Clinical Trial. Vaccine 2019, 37, 5825–5834. [Google Scholar] [CrossRef]
- McGrath, L.J.; Layton, J.B.; Krueger, W.S.; Kshirsagar, A.V.; Butler, A.M. High-Dose Influenza Vaccine Use among Patients Receiving Hemodialysis in the United States, 2010–2013. Vaccine 2018, 36, 6087–6094. [Google Scholar] [CrossRef]
- Butler, A.M.; Layton, J.B.; Dharnidharka, V.R.; Sahrmann, J.M.; Seamans, M.J.; Weber, D.J.; McGrath, L.J. Comparative Effectiveness of High-Dose Versus Standard-Dose Influenza Vaccine Among Patients Receiving Maintenance Hemodialysis. Am. J. Kidney Dis. 2020, 75, 72–83. [Google Scholar] [CrossRef]
- Liao, Z.; Xu, X.; Liang, Y.; Xiong, Y.; Chen, R.; Ni, J. Effect of a Booster Dose of Influenza Vaccine in Patients with Hemodialysis, Peritoneal Dialysis and Renal Transplant Recipients: A Systematic Literature Review and Meta-Analysis. Hum. Vaccin. Immunother. 2016, 12, 2909–2915. [Google Scholar] [CrossRef] [PubMed]
- Kikuchi, K.; Nangaku, M.; Ryuzaki, M.; Yamakawa, T.; Yoshihiro, O.; Hanafusa, N.; Sakai, K.; Kanno, Y.; Ando, R.; Shinoda, T.; et al. Survival and Predictive Factors in Dialysis Patients with COVID-19 in Japan: A Nationwide Cohort Study. Ren. Replace. Ther. 2021, 7, 59. [Google Scholar] [CrossRef]
- Hu, R.; Yin, J.; He, T.; Zhu, Y.; Li, Y.; Gao, J.; Ye, X.; Hu, L.; Li, Y. Impact of COVID-19 Vaccination on Mortality and Clinical Outcomes in Hemodialysis Patients. Vaccines 2024, 12, 799. [Google Scholar] [CrossRef] [PubMed]
- Davidovic, T.; Schimpf, J.; Abbassi-Nik, A.; Stockinger, R.; Sprenger-Mähr, H.; Lhotta, K.; Zitt, E. Humoral and Cellular Immune Response After a 3-Dose Heterologous SARS-CoV-2 Vaccination Using the MRNA-BNT162b2 and Viral Vector Ad26COVS1 Vaccine in Hemodialysis Patients. Front. Immunol. 2022, 13, 907615. [Google Scholar] [CrossRef] [PubMed]
- El Karoui, K.; De Vriese, A.S. COVID-19 in Dialysis: Clinical Impact, Immune Response, Prevention, and Treatment. Kidney Int. 2022, 101, 883–894. [Google Scholar] [CrossRef]
- Angel-Korman, A.; Peres, E.; Bryk, G.; Lustig, Y.; Indenbaum, V.; Amit, S.; Rappoport, V.; Katzir, Z.; Yagil, Y.; Iaina, N.L.; et al. Diminished and Waning Immunity to COVID-19 Vaccination Among Hemodialysis Patients in Israel: The Case for a Third Vaccine Dose. Clin. Kidney J. 2022, 15, 226–234. [Google Scholar] [CrossRef]
- Yen, J.-S.; Wang, I.-K.; Yen, T.-H. COVID-19 Vaccination and Dialysis Patients: Why the Variable Response. QJM 2021, 114, 440–444. [Google Scholar] [CrossRef]
- Tomo, T.; Takei, M.; Matsuyama, M.; Matsuyama, I.; Matsuyama, K. Examination of the Effect of Switching Dialysis Membranes on the Immune Response to Influenza Virus Vaccination in Hemodialysis Patients. Blood Purif. 2023, 52, 62–70. [Google Scholar] [CrossRef]
- Scharpé, J.; Peetermans, W.E.; Vanwalleghem, J.; Maes, B.; Bammens, B.; Claes, K.; Osterhaus, A.D.; Vanrenterghem, Y.; Evenepoel, P. Immunogenicity of a Standard Trivalent Influenza Vaccine in Patients on Long-Term Hemodialysis: An Open-Label Trial. Am. J. Kidney Dis. 2009, 54, 77–85. [Google Scholar] [CrossRef]
- Pleros, C.; Adamidis, K.; Kantartzi, K.; Griveas, I.; Baltsavia, I.; Moustakas, A.; Kalliaropoulos, A.; Fraggedaki, E.; Petra, C.; Damianakis, N.; et al. Dialysis Patients Respond Adequately to Influenza Vaccination Irrespective of Dialysis Modality and Chronic Inflammation. J. Clin. Med. 2023, 12, 6205. [Google Scholar] [CrossRef]
- Eiselt, J.; Kielberger, L.; Rajdl, D.; Racek, J.; Pazdiora, P.; Malánová, L. Previous Vaccination and Age Are More Important Predictors of Immune Response to Influenza Vaccine than Inflammation and Iron Status in Dialysis Patients. Kidney Blood Press. Res. 2016, 41, 139–147. [Google Scholar] [CrossRef]
- Smith, D.J.; Forrest, S.; Ackley, D.H.; Perelson, A.S. Variable Efficacy of Repeated Annual Influenza Vaccination. Proc. Natl. Acad. Sci. USA 1999, 96, 14001–14006. [Google Scholar] [CrossRef] [PubMed]
- Skowronski, D.M.; Chambers, C.; Sabaiduc, S.; De Serres, G.; Winter, A.-L.; Dickinson, J.A.; Krajden, M.; Gubbay, J.B.; Drews, S.J.; Martineau, C.; et al. A Perfect Storm: Impact of Genomic Variation and Serial Vaccination on Low Influenza Vaccine Effectiveness During the 2014–2015 Season. Clin. Infect. Dis. 2016, 63, 21–32. [Google Scholar] [CrossRef] [PubMed]
- Skowronski, D.M.; Chambers, C.; De Serres, G.; Sabaiduc, S.; Winter, A.-L.; Dickinson, J.A.; Gubbay, J.B.; Fonseca, K.; Drews, S.J.; Charest, H.; et al. Serial Vaccination and the Antigenic Distance Hypothesis: Effects on Influenza Vaccine Effectiveness During A(H3N2) Epidemics in Canada, 2010–2011 to 2014–2015. J. Infect. Dis. 2017, 215, 1059–1099. [Google Scholar] [CrossRef] [PubMed]







| Demographic Characteristics | Total, n = 22 |
|---|---|
| Age, mean (min–max) | 64 (27–83) |
| Female, n (%) | 5 (22.73) |
| Male, n (%) | 17 (77.27) |
| Primary kidney disease | |
| Polycystic kidney disease, n (%) | 8 (36.36) |
| Abnormality of kidney development, n (%) | 4 (18.18) |
| Chronic glomerulonephritis, n (%) | 4 (18.18) |
| Chronic tubulointerstitial nephritis, n (%) | 3 (13.64) |
| Type 1 diabetes, n (%) | 1 (4.55) |
| Gouty nephritis, n (%) | 1 (4.55) |
| Nephrectomy, n (%) | 1 (4.55) |
| Time on dialysis, years, mean (min-max) | 6.1 (0.2–18.2) |
| spKt/V, mean (95%CI) | 1.47 (1.37–1.58) |
| Laboratory parameters | |
| Hemoglobin, g/L, mean (95%CI) | 113.9 (107.1–120.6) |
| Albumine, g/L, mean (95%CI) | 37.8 (36.82–38.78) |
| P, mmol/L, mean (95%CI) | 2.67 (2.49–2.85) |
| Ca, mmol/L (95%CI) | 2.16 (2.05–2.27) |
| Vaccination | |
| Sovigripp, n (%) | 7 (31.82) |
| Grippol plus, n (%) | 9 (40.90) |
| Ultrix Quadri, n (%) | 6 (27.27) |
| Vaccine | UQ (n = 6) | GP (n = 9) | SG (n = 7) | CPMP Threshold Value * | |
|---|---|---|---|---|---|
| Percentage of volunteers with AB titer ≥ 1:40, % (CI), Before vaccination (Day 0) | H1 | 0 (0, 0) | 22 (0, 49) | 43 (6, 80) | |
| H3 | 17 (0, 46) | 44 (12, 77) | 29 (0, 62) | ||
| BV | 17 (0, 46) | 11 (0, 32) | 14 (0, 40) | ||
| BY | 0 (0, 0) | 11 (0, 32) | 0 (0, 0) | ||
| Percentage of volunteers with AB titer ≥ 1:40, % (CI), Post-vaccination seroprotection rate (Day 21) | H1 | 100 (100, 100) | 100 (100, 100) | 71 (38, 105) | >60% |
| H3 | 100 (100, 100) | 100 (100, 100) | 100 (100, 100) | ||
| BV | 67 (29, 104) | 78 (51, 105) | 71 (38, 105) | ||
| BY | 67 (29, 104) | 44 (12, 77) | 43 (6, 80) | ||
| Fold increase in AB titers, Day 21 (CI) | H1 | 32 (9, 113) | 16 (7.1, 36.2) | 5.4 (1.7, 16.9) | >2 |
| H3 | 25.4 (14, 45) | 10.1 (5.3, 19.1) | 6.6 (1.9, 22.9) | ||
| BV | 5 (1.2, 21.1) | 12.7 (4.1, 39.4) | 6.6 (2.7, 15.7) | ||
| BY | 9 (2.9, 27.9) | 22.2 (1.1, 4.3) | 2.4 (1, 6.1) | ||
| Percentage of volunteers with Seroconversion rate, % (CI) | H1 | 83 (54, 113) | 89 (68, 100) | 57 (20, 94) | >30% |
| H3 | 100 (100, 100) | 89 (68, 100) | 71 (38, 100) | ||
| BV | 67 (29, 100) | 78 (51, 100) | 71 (38, 100) | ||
| BY | 83 (54, 100) | 33 (3, 64) | 43 (6, 80) | ||
| Vaccine | UQ (n = 6) | GP (n = 9) | SG (n = 7) | CPMP Threshold Value * | |
|---|---|---|---|---|---|
| Percentage of volunteers with AB titer ≥ 1:40, % (CI), Before vaccination (Day 0) | H1 | 0 (0, 0) | 11 (0, 32) | 14 (0, 40) | |
| H3 | 0 (0, 0) | 0 (0, 0) | 0 (0, 0) | ||
| BV | 17 (0, 46) | 11 (0, 32) | 14 (0, 40) | ||
| BY | 17 (0, 46) | 22 (0, 49) | 0 (0, 0) | ||
| Percentage of volunteers with AB titer ≥ 1:40, % (CI), Post-vaccination seroprotection rate (Day 21) | H1 | 100 (100, 100) | 89 (68, 100) | 57 (20, 94) | >60% |
| H3 | 83 (54, 100) | 56 (23, 88) | 14 (0, 40) | ||
| BV | 50 (10, 90) | 56 (23, 88) | 57 (20, 94) | ||
| BY | 83 (54, 100) | 44 (12, 77) | 43 (6, 80) | ||
| Fold increase in AB titers, Day 21 (CI) | H1 | 22.6 (8, 63.9) | 10.1 (4.9, 20.6) | 3.6(1.9, 6.8) | >2 |
| H3 | 7.1 (3.2, 16.1) | 7.4 (4.2, 13.2) | 3 (1.4, 6.5) | ||
| BV | 4.5 (1, 19.4) | 5.4 (1.9, 15.8) | 5.9 (1.8, 19.4) | ||
| BY | 10.1 (4.4, 23.2) | 1.7 (0.9, 3.2) | 3 (1.2, 7.5) | ||
| Percentage of volunteers with Seroconversion rate, % (CI) | H1 | 100 (100, 100) | 89 (68, 109) | 57 (20, 94) | >30% |
| H3 | 83 (54, 100) | 89 (68, 109) | 57 (20, 94) | ||
| BV | 50 (10, 90) | 67 (36, 97) | 71 (38, 100) | ||
| BY | 83 (54, 100) | 22 (0, 49) | 43 (6, 80) | ||
| Vaccine | HD (n = 22) | Healthy >60 (n = 42) | Healthy 18–60 (n = 34) | |
|---|---|---|---|---|
| Percentage of volunteers with AB titer ≥ 1:40, % (CI), Before vaccination (Day 0) | H1 | 23 (5, 40) | 38 (23, 53) | 47 (30, 64) |
| H3 | 32 (12, 51) | 24 (11, 37) | 29 (14, 45) | |
| BV | 14 (0 #, 28) | 10 (1, 18) | 21 (7, 34) | |
| BY | 5 (0, 13) | 5 (0, 11) | 24 (9, 38) | |
| Percentage of volunteers with AB titer ≥ 1:40, % (CI), Post-vaccination seroprotection rate (Day 21) | H1 | 91 (79, 103) | 86 (75, 96) | 94 (86, 102) |
| H3 | 100 (100, 100) | 83 (72, 95) | 91 (82, 101) | |
| BV | 73 (54, 91) | 38 (23, 53) | 68 (52, 83) | |
| BY | 50 (29, 71) | 31 (17, 45) | 56 (39, 73) | |
| Fold increase in AB titers, Day 28 (CI) | H1 | 13.7 (7.2, 26) | 6.9 (4.2, 11.4) | 11.5 (5.7, 23.2) |
| H3 | 11.3 (6.7, 19.2) | 5.6 (3.6, 8.9) | 10.2 (5.4, 19.3) | |
| BV | 8 (4.1, 15.4) | 2.3 (1.8, 3) | 3.3 (2.1, 5.1) | |
| BY | 3.3 (1.9, 5.8) | 2.4 (1.7, 3.2) | 2.2 (1.4, 3.3) | |
| Percentage of volunteers with Seroconversion rate, % (CI) | H1 | 77 (60, 95) | 67 (52, 81) | 74 (59, 88) |
| H3 | 86(72, 101) | 60 (45, 74) | 76 (62, 91) | |
| BV | 73 (54, 91) | 36 (21, 50) | 50 (33, 67) | |
| BY | 50 (29, 71) | 36 (21, 50) | 32(17, 48) | |
| Demographic Characteristics | Total n = 71 |
|---|---|
| Age, mean (min-max) | 57.6 (25–85) |
| Female, n (%) | 35 (49.3) |
| Male, n (%) | 36 (50.7) |
| Primary kidney disease | |
| Chronic glomerulonephritis, n (%) | 26 (36.62) |
| Polycystic kidney disease, n (%) | 13 (18.31) |
| Chronic tubulointerstitial nephritis, n (%) | 11 (15.49) |
| Hypertension, n (%) | 4 (5.63) |
| Type 1 diabetes, n (%) | 3 (4.23) |
| Type 2 diabetes, n (%) | 3 (4.23) |
| Gouty nephritis, n (%) | 3 (4.23) |
| Alport syndrome, n (%) | 3 (4.23) |
| Connective tissue disease, n (%) | 3 (4.23) |
| Abnormality of kidney development, n (%) | 1 (1.41) |
| Kidney Cr, Nephrectomy, n (%) | 1 (1.41) |
| spKt/V, mean (95%CI) | 1.55 (1.49–1.60) |
| Time on dialysis, years, mean (min-max) | 6.32 (0.06–29.28) |
| Laboratory parameters | |
| Hemoglobin, g/L, mean (95%CI) | 112.20 (109.50–114.90) |
| Albumine, g/L, mean (95%CI) | 40.62 (39.89–41.35) |
| P, mmol/L, mean (95%CI) | 1.81 (1.67–1.96) |
| Ca, mmol/L (95%CI) | 2.24 (2.19–2.29) |
| Vaccination | |
| First year vaccination, n (%) | 28 (39.44) |
| Second year vaccination, n (%) | 34 (47.89) |
| Third year vaccination, n (%) | 9 (12.67) |
| Flu-M Tetra, n (%) | 71 (100) |
| Vaccine | All (n = 58) * | 1Y (n = 22) | 2Y (n = 29) | CPMP Threshold Value * | |
|---|---|---|---|---|---|
| Percentage of volunteers with AB titer ≥ 1:40, % (CI), Before vaccination (Day 0) | H1 | 33 (21, 45) | 18 (2, 34) | 38 (20, 56) | |
| H3 | 40 (27, 52) | 32 (12, 51) | 41 (23, 59) | ||
| BV | 26 (15, 37) | 5 (0, 13) | 41 (23, 59) | ||
| BY | 40 (27, 52) | 23 (5, 40) | 55 (37, 73) | ||
| Percentage of volunteers with AB titer ≥ 1:40, % (CI), Post-vaccination seroprotection rate (Day 28) | H1 | 91 (84, 99) | 91 (79, 100) | 93 (84, 100) | >60% |
| H3 | 83 (73, 92) | 86 (72, 100) | 79 (65, 94) | ||
| BV | 71 (59, 82) | 55 (34, 75) | 86 (74, 99) | ||
| BY | 86 (77, 95) | 91 (79, 100) | 90 (79, 100) | ||
| Fold increase in AB titers, Day 28 (CI) | H1 | 7.2 (5.1, 10) | 13.2 (7.9, 22) | 5.7 (3.5, 9.2) | >2 |
| H3 | 5 (3.7, 6.8) | 8.8 (5.3, 15) | 3.9 (2.6, 5.9) | ||
| BV | 4.8 (3.5, 6.6) | 5.8 (3.2, 11) | 4.5 (2.9, 6.9) | ||
| BY | 5.1 (3.6, 7.3) | 11.7 (6.3, 22) | 3.4 (2.3, 5) | ||
| Percentage of volunteers with Seroconversion rate, % (CI) | H1 | 72 (61, 84) | 86 (72, 100) | 72 (56, 89) | >30% |
| H3 | 67 (55, 79) | 86 (72, 100) | 62 (44, 80) | ||
| BV | 62 (50, 75) | 68 (49, 88) | 62 (44, 80) | ||
| BY | 59 (46, 71) | 86 (72, 100) | 41 (23, 59) | ||
| Vaccine | All (n = 58) * | 1Y (n = 22) | 2Y (n = 29) | CPMP Threshold Value * | |
|---|---|---|---|---|---|
| Percentage of volunteers with AB titer ≥ 1:40, % (CI), Before vaccination (Day 0) | H1 | 53 (41, 66) | 27 (9, 46) | 69 (52, 86) | |
| H3 | 9 (1, 16) | 0 (0, 0) | 17 (3, 31) | ||
| BV | 24 (13, 35) | 5 (0, 13) | 41 (23, 59) | ||
| BY | 19 (9, 29) | 14 (0, 28) | 24 (9, 40) | ||
| Percentage of volunteers with AB titer ≥ 1:40, % (CI), Post-vaccination seroprotection rate (Day 28) | H1 | 97 (92, 100) | 91 (79, 100) | 100 (100, 100) | >60% |
| H3 | 57 (44, 70) | 59 (39, 80) | 66 (48, 83) | ||
| BV | 81 (71, 91) | 68 (49, 88) | 90 (79, 100) | ||
| BY | 76 (65, 87) | 82 (66, 98) | 76 (60, 91) | ||
| Fold increase in AB titers, Day 28 (CI) | H1 | 6.9 (4.9, 9.8) | 15.5 (8.5, 28) | 4.6 (3.1, 6.9) | >2 |
| H3 | 4.6 (3.5, 6.1) | 6.2 (3.5, 11) | 4 (2.8, 5.7) | ||
| BV | 6.3 (4.4, 9) | 7.5 (3.9, 14) | 6 (3.7, 9.8) | ||
| BY | 5.1 (3.9, 6.8) | 8.8 (5.8, 13) | 4.3 (2.9, 6.3) | ||
| Percentage of volunteers with Seroconversion rate, % (CI) | H1 | 74 (63, 85) | 91 (79, 100) | 66 (48, 83) | >30% |
| H3 | 64 (51, 76) | 64 (44, 84) | 66 (48, 83) | ||
| BV | 69 (57, 81) | 73 (54, 91) | 69 (52, 86) | ||
| BY | 66 (53, 78) | 86 (72, 100) | 59 (41, 77) | ||
Disclaimer/Publisher’s Note: The statements, opinions and data contained in all publications are solely those of the individual author(s) and contributor(s) and not of MDPI and/or the editor(s). MDPI and/or the editor(s) disclaim responsibility for any injury to people or property resulting from any ideas, methods, instructions or products referred to in the content. |
© 2026 by the authors. Licensee MDPI, Basel, Switzerland. This article is an open access article distributed under the terms and conditions of the Creative Commons Attribution (CC BY) license.
Share and Cite
Shurygina, A.-P.; Romanovskaya-Romanko, E.; Krivitskaya, V.; Sergeeva, M.; Buzitskaya, J.; Vasilyev, K.; Shuklina, M.; Vishnevskii, K.; Dmitry, S.; Aleksey, T.; et al. Influenza Vaccine Immunogenicity in Hemodialysis Patients. Vaccines 2026, 14, 63. https://doi.org/10.3390/vaccines14010063
Shurygina A-P, Romanovskaya-Romanko E, Krivitskaya V, Sergeeva M, Buzitskaya J, Vasilyev K, Shuklina M, Vishnevskii K, Dmitry S, Aleksey T, et al. Influenza Vaccine Immunogenicity in Hemodialysis Patients. Vaccines. 2026; 14(1):63. https://doi.org/10.3390/vaccines14010063
Chicago/Turabian StyleShurygina, Anna-Polina, Ekaterina Romanovskaya-Romanko, Vera Krivitskaya, Mariia Sergeeva, Janna Buzitskaya, Kirill Vasilyev, Marina Shuklina, Konstantin Vishnevskii, Smotrov Dmitry, Tutin Aleksey, and et al. 2026. "Influenza Vaccine Immunogenicity in Hemodialysis Patients" Vaccines 14, no. 1: 63. https://doi.org/10.3390/vaccines14010063
APA StyleShurygina, A.-P., Romanovskaya-Romanko, E., Krivitskaya, V., Sergeeva, M., Buzitskaya, J., Vasilyev, K., Shuklina, M., Vishnevskii, K., Dmitry, S., Aleksey, T., Lioznov, D., & Stukova, M. (2026). Influenza Vaccine Immunogenicity in Hemodialysis Patients. Vaccines, 14(1), 63. https://doi.org/10.3390/vaccines14010063

