National Near Real-Time Vaccine Effectiveness Against COVID-19 Severe Outcomes Using the Screening Method Among Older Adults Aged ≥50 Years in Canada
Abstract
1. Introduction
2. Materials and Methods
2.1. Data Sources
2.2. Data Curation
2.3. SARS-CoV-2 Variant Predominance
2.4. Statistical Analysis
2.5. Screening Method Validation
3. Results
3.1. Severe COVID-19 Cases and Vaccination Status in Older Adults Aged ≥50 Years
3.2. National Absolute COVID-19 Vaccine Effectiveness
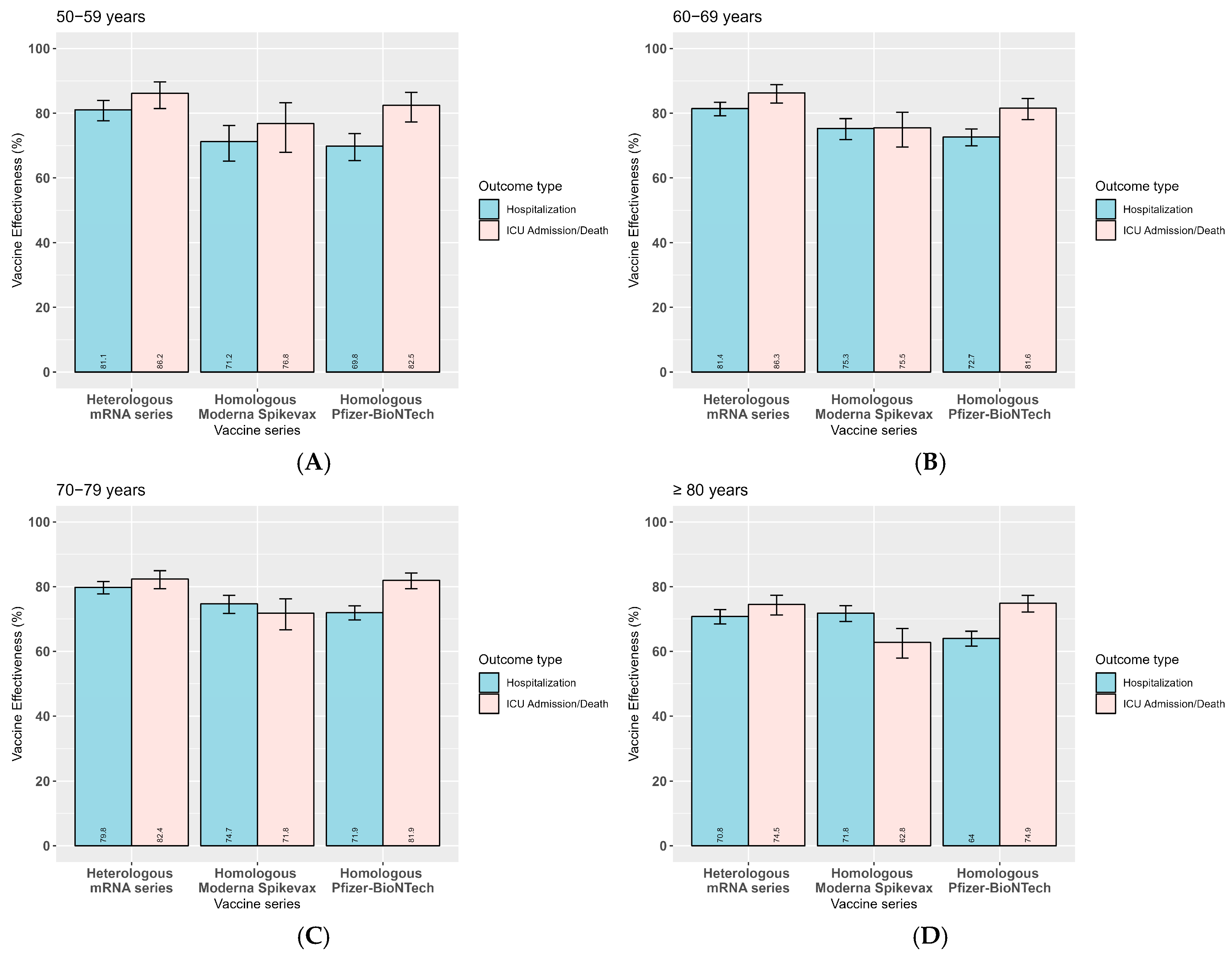
3.3. Product-Specific Absolute Vaccine Effectiveness
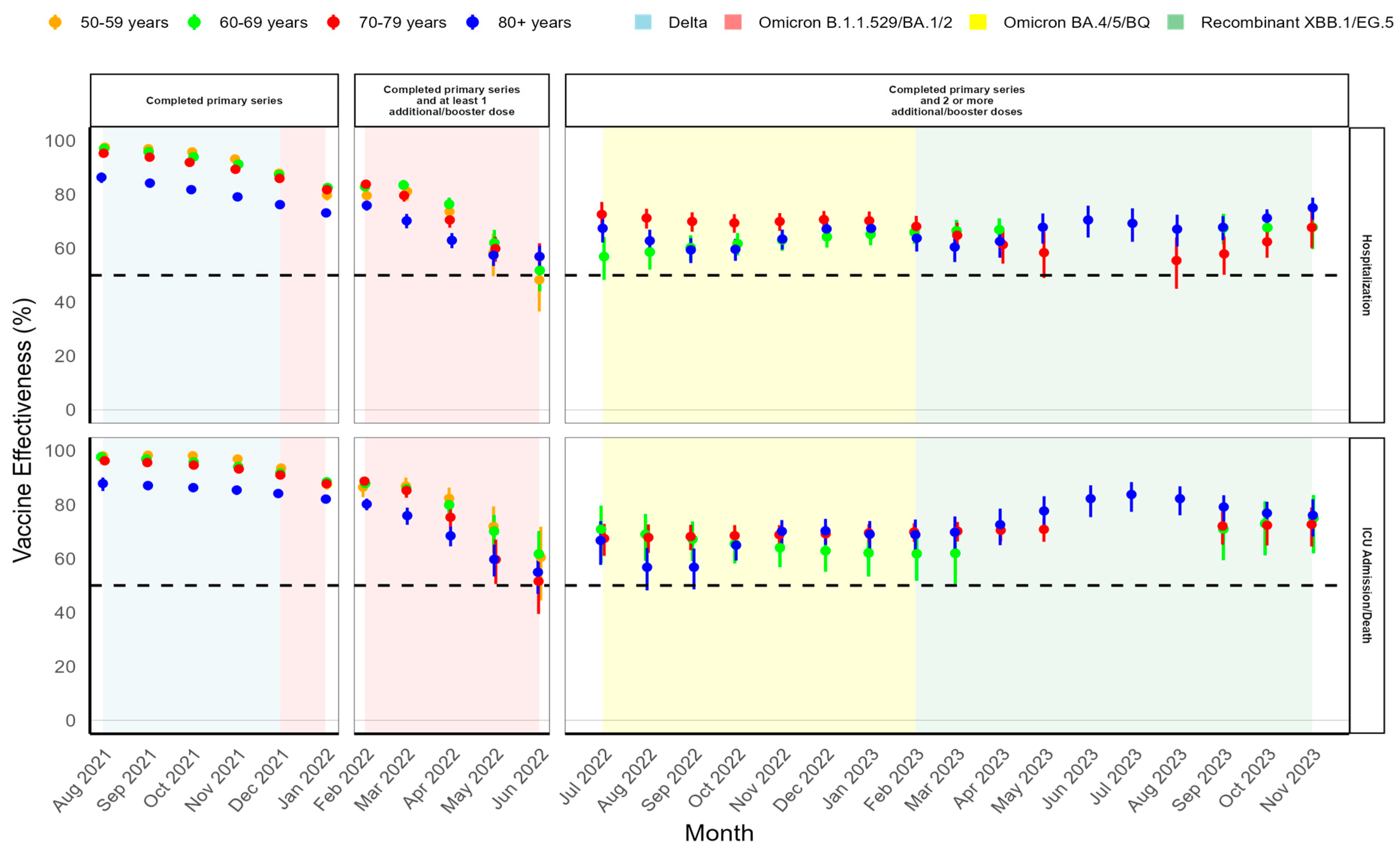
3.4. Absolute Vaccine Effectiveness by Time Since Last Dose
4. Discussion
5. Conclusion
Supplementary Materials
Author Contributions
Funding
Institutional Review Board Statement
Informed Consent Statement
Data Availability Statement
Acknowledgments
Conflicts of Interest
References
- Public Health Agency of Canada (PHAC). COVID-19 Epidemiology Update: Current Situation. 2024. Available online: https://health-infobase.canada.ca/covid-19/current-situation.html (accessed on 13 August 2024).
- Public Health Agency of Canada (PHAC). COVID-19 Vaccination: Vaccination Coverage. 2024. Available online: https://health-infobase.canada.ca/covid-19/vaccination-coverage/ (accessed on 10 July 2024).
- Public Health Agency of Canada (PHAC). National Surveillance for Coronavirus Disease (COVID-19). 2024. Available online: https://www.canada.ca/en/public-health/services/diseases/2019-novel-coronavirus-infection/health-professionals/interim-guidance-surveillance-human-infection.html (accessed on 13 August 2024).
- Public Health Agency of Canada COVID-19 Surveillance; Vaccine Coverage and Information System; Vaccine Effectiveness Surveillance Program; Public Health Risk Science/National Microbiology Laboratory Modelling Teams. National epidemiological analysis of the association of COVID-19 vaccination and incidence of COVID-19 cases in Canada, January to August 2021. Can. Commun. Dis. Rep. 2023, 49, 145–154. [Google Scholar] [CrossRef]
- Dam, D.; Merali, S.; Chen, M.; Coulby, C.; Ho Mi Fane, B.; Bang, F.; Robson, J.; David, S. COVID-19 outcome trends by vaccination status in Canada, December 2020–January 2022. Can. Commun. Dis. Rep. 2024, 50, 40–48. [Google Scholar] [CrossRef] [PubMed]
- Chung, H.; Austin, P.C.; Brown, K.A.; Buchan, S.A.; Fell, D.B.; Fong, C.; Gubbay, J.B.; Nasreen, S.; Schwartz, K.L.; Sundaram, M.E.; et al. Effectiveness of COVID-19 Vaccines Over Time Prior to Omicron Emergence in Ontario, Canada: Test-Negative Design Study. Open Forum Infect. Dis. 2022, 9, ofac449. [Google Scholar] [CrossRef] [PubMed]
- Widdifield, J.; Kwong, J.C.; Chen, S.; Eder, L.; Benchimol, E.I.; Kaplan, G.G.; Hitchon, C.; Aviña-Zubieta, J.A.; Lacaille, D.; Chung, H.; et al. Vaccine effectiveness against SARS-CoV-2 infection and severe outcomes among individuals with immune-mediated inflammatory diseases tested between March 1 and Nov 22, 2021, in Ontario, Canada: A population-based analysis. Lancet Rheumatol. 2022, 4, e430–e440. [Google Scholar] [CrossRef]
- Grewal, R.; Nguyen, L.; Buchan, S.A.; Wilson, S.E.; Costa, A.P.; Kwong, J.C. Effectiveness and Duration of Protection of a Fourth Dose of Coronavirus Disease 2019 Messenger RNA Vaccine Among Long-term Care Residents in Ontario, Canada. J. Infect. Dis. 2023, 227, 977–980. [Google Scholar] [CrossRef]
- Nasreen, S.; Chung, H.; He, S.; Brown, K.A.; Gubbay, J.B.; Buchan, S.A.; Fell, D.B.; Austin, P.C.; Schwartz, K.L.; Sundaram, M.E.; et al. Effectiveness of COVID-19 vaccines against symptomatic SARS-CoV-2 infection and severe outcomes with variants of concern in Ontario. Nat. Microbiol. 2022, 7, 379–385. [Google Scholar] [CrossRef]
- Lee, N.; Nguyen, L.; Austin, P.C.; Brown, K.A.; Grewal, R.; Buchan, S.A.; Nasreen, S.; Gubbay, J.; Schwartz, K.L.; Tadrous, M.; et al. Protection Conferred by COVID-19 Vaccination, Prior SARS-CoV-2 Infection, or Hybrid Immunity Against Omicron-Associated Severe Outcomes Among Community-Dwelling Adults. Clin. Infect. Dis. 2023, 78, 1372–1382. [Google Scholar] [CrossRef]
- Carazo, S.; Skowronski, D.M.; Brisson, M.; Sauvageau, C.; Brousseau, N.; Gilca, R.; Ouakki, M.; Barkati, S.; Fafard, J.; Talbot, D.; et al. Estimated Protection of Prior SARS-CoV-2 Infection Against Reinfection With the Omicron Variant Among Messenger RNA-Vaccinated and Nonvaccinated Individuals in Quebec, Canada. JAMA Netw. Open 2022, 5, e2236670. [Google Scholar] [CrossRef]
- Fowokan, A.; Samji, H.; Puyat, J.; Janjua, N.; Wilton, J.; Wong, J.; Grennan, T.; Chambers, C.; Kroch, A.; Costiniuk, C.T.; et al. Effectiveness of COVID-19 vaccines in people living with HIV in British Columbia and comparisons with a matched HIV-negative cohort: A test negative design. Int. J. Infect. Dis. 2023, 127, 162–170. [Google Scholar] [CrossRef]
- El Adam, S.; Zou, M.; Kim, S.; Henry, B.; Krajden, M.; Skowronski, D.M. SARS-CoV-2 mRNA Vaccine Effectiveness in Health Care Workers by Dosing Interval and Time Since Vaccination: Test-Negative Design, British Columbia, Canada. Open Forum Infect. Dis. 2022, 9, ofac178. [Google Scholar] [CrossRef]
- Grewal, R.; Nguyen, L.; Buchan, S.A.; Wilson, S.E.; Nasreen, S.; Austin, P.C.; Brown, K.A.; Fell, D.B.; Gubbay, J.B.; Schwartz, K.L.; et al. Effectiveness of mRNA COVID-19 vaccine booster doses against Omicron severe outcomes. Nat. Commun. 2023, 14, 1273. [Google Scholar] [CrossRef]
- Grewal, R.; Buchan, S.A.; Nguyen, L.; Nasreen, S.; Austin, P.C.; Brown, K.A.; Gubbay, J.; Lee, N.; Schwartz, K.L.; Tadrous, M.; et al. Effectiveness of mRNA COVID-19 Monovalent and Bivalent Vaccine Booster Doses Against Omicron Severe Outcomes Among adults aged ≥50 years in Ontario, Canada: A Canadian Immunization Research Network Study. J. Infect. Dis. 2024, 229, 394–397. [Google Scholar] [CrossRef] [PubMed]
- Carazo, S.; Skowronski, D.M.; Brisson, M.; Sauvageau, C.; Brousseau, N.; Fafard, J.; Gilca, R.; Talbot, D.; Ouakki, M.; Febriani, Y.; et al. Effectiveness of previous infection-induced and vaccine-induced protection against hospitalisation due to omicron BA subvariants in older adults: A test-negative, case-control study in Quebec, Canada. Lancet Healthy Longev. 2023, 4, e409–e420. [Google Scholar] [CrossRef] [PubMed]
- Nasreen, S.; Febriani, Y.; Velásquez García, H.A.; Zhang, G.; Tadrous, M.; Buchan, S.A.; Righolt, C.H.; Mahmud, S.M.; Janjua, N.Z.; Krajden, M.; et al. Effectiveness of Coronavirus Disease 2019 Vaccines Against Hospitalization and Death in Canada: A Multiprovincial, Test-Negative Design Study. Clin. Infect. Dis. 2023, 76, 640–648. [Google Scholar] [CrossRef]
- Orenstein, W.A.; Bernier, R.H.; Dondero, T.J.; Hinman, A.R.; Marks, J.S.; Bart, K.J.; Sirotkin, B. Field evaluation of vaccine efficacy. Bull. World Health Organ. 1985, 63, 1055–1068. [Google Scholar] [PubMed]
- Farrington, C.P. Estimation of Vaccine Effectiveness Using the Screening Method. Int. J. Epidemiol. 1993, 22, 742–746. [Google Scholar] [CrossRef]
- Falchi, A.; Souty, C.; Grisoni, M.-L.; Mosnier, A.; Hanslik, T.; Daviaud, I.; Varesi, L.; Kerneis, S.; Carrat, F.; Blanchon, T. Field seasonal influenza vaccine effectiveness. Hum. Vaccin Immunother. 2013, 9, 2453–2459. [Google Scholar] [CrossRef]
- Minodier, L.; Blanchon, T.; Souty, C.; Turbelin, C.; Leccia, F.; Varesi, L.; Falchi, A. Influenza vaccine effectiveness: Best practice and current limitations of the screening method and their implications for the clinic. Expert Rev. Vaccines 2014, 13, 1039–1048. [Google Scholar] [CrossRef]
- Vilcu, A.M.; Souty, C.; Enouf, V.; Capai, L.; Turbelin, C.; Masse, S.; Behillil, S.; Valette, M.; Guerrisi, C.; Rossignol, L.; et al. Estimation of seasonal influenza vaccine effectiveness using data collected in primary care in France: Comparison of the test-negative design and the screening method. Clin. Microbiol. Infect. 2018, 24, 431.e5–431.e12. [Google Scholar] [CrossRef]
- Bertran, M.; Andrews, N.; Davison, C.; Dugbazah, B.; Boateng, J.; Lunt, R.; Hardstaff, J.; Green, M.; Blomquist, P.; Turner, C.; et al. Effectiveness of one dose of MVA–BN smallpox vaccine against mpox in England using the case-coverage method: An observational study. Lancet Infect. Dis. 2023, 23, 828–835. [Google Scholar] [CrossRef]
- Horváth, J.K.; Ferenci, T.; Ferenczi, A.; Túri, G.; Röst, G.; Oroszi, B. Real-Time Monitoring of the Effectiveness of Six COVID-19 Vaccines against Laboratory-Confirmed COVID-19 in Hungary in 2021 Using the Screening Method. Vaccines 2022, 10, 1824. [Google Scholar] [CrossRef] [PubMed]
- Moline, H.L.; Whitaker, M.; Deng, L.; Rhodes, J.C.; Milucky, J.; Pham, H.; Patel, K.; Anglin, O.; Reingold, A.; Chai, S.J.; et al. Effectiveness of COVID-19 Vaccines in Preventing Hospitalization Among Adults Aged ≥65 Years—COVID-NET, 13 States, February–April 2021. MMWR Morb. Mortal. Wkly. Rep. 2021, 70, 1088–1093. [Google Scholar] [CrossRef] [PubMed]
- Herlihy, R.; Bamberg, W.; Burakoff, A.; Alden, N.; Severson, R.; Bush, E.; Kawasaki, B.; Berger, B.; Austin, E.; Shea, M.; et al. Rapid Increase in Circulation of the SARS-CoV-2 B.1.617.2 (Delta) Variant—Mesa County, Colorado, April–June 2021. MMWR Morb. Mortal. Wkly. Rep. 2021, 70, 1084–1087. [Google Scholar] [CrossRef] [PubMed]
- Mazagatos, C.; Monge, S.; Olmedo, C.; Vega, L.; Gallego, P.; Martín-Merino, E.; Sierra, M.J.; Limia, A.; Larrauri, A. Effectiveness of mRNA COVID-19 vaccines in preventing SARS-CoV-2 infections and COVID-19 hospitalisations and deaths in elderly long-term care facility residents, Spain, weeks 53 2020 to 13 2021. Eurosurveillance 2021, 26, 2100452. [Google Scholar] [CrossRef]
- Perumal, N.; Schönfeld, V.; Wichmann, O. Application of the screening method for estimating COVID-19 vaccine effectiveness using routine surveillance data: Germany’s experience during the COVID-19 pandemic, July 2021 to March 2023. Eurosurveillance 2024, 29, 2300329. [Google Scholar] [CrossRef]
- Nittayasoot, N.; Thammawijaya, P.; Tharmaphornpilas, P.; Sansilapin, C.; Jiraphongsa, C.; Suphanchaimat, R. Rapid method through routine data to evaluate real-world vaccine effectiveness against coronavirus disease 2019 (COVID-19) infection: Lessons from Thailand. Health Res. Policy Syst. 2022, 20, 29. [Google Scholar] [CrossRef]
- Suah, J.A.-O.; Tok, P.S.K.; Ong, S.M.; Husin, M.; Tng, B.H.; Sivasampu, S.A.-O.; Thevananthan, T.; Appannan, M.R.; Muhamad Zin, F.; Mohd Zin, S.; et al. PICK-ing Malaysia’s Epidemic Apart: Effectiveness of a Diverse COVID-19 Vaccine Portfolio. Vaccines 2021, 9, 1381. [Google Scholar] [CrossRef]
- Rashiti-Bytyçi, A.; White Johansson, E.; Kaçaniku-Gunga, P.; Danis, K.; Schoeps, A.; Dörre, A.; Fetaj, F.; Kalaveshi, A. Estimation of COVID-19 vaccine effectiveness against infections and severe outcomes using routine surveillance data in Kosovo, July–September 2021. PLoS ONE 2024, 19, e0305629. [Google Scholar] [CrossRef]
- van Werkhoven, C.H.; Valk, A.-W.; Smagge, B.; de Melker, H.E.; Knol, M.J.; Hahné, S.J.; van den Hof, S.; de Gier, B. Early COVID-19 vaccine effectiveness of XBB.1.5 vaccine against hospitalisation and admission to intensive care, the Netherlands, 9 October to 5 December 2023. Eurosurveillance 2024, 29, 2300703. [Google Scholar] [CrossRef]
- World Health Organization (WHO). Evaluation of COVID-19 Vaccine Effectiveness: Interim Guidance. Available online: https://www.who.int/publications/i/item/WHO-2019-nCoV-vaccine_effectiveness-measurement-2021.1 (accessed on 20 April 2021).
- World Health Organization (WHO). Guidance on Conducting Vaccine Effectiveness Evaluations in the Setting of New SARS-CoV-2 Variants: Interim Guidance, 22 July 2021. Addendum to Evaluation of COVID-19 Vaccine Effectiveness: Interim Guidance. 2021. Available online: https://www.who.int/publications/i/item/WHO-2019-nCoV-vaccine_effectiveness-variants-2021.1 (accessed on 19 September 2021).
- World Health Organization (WHO). COVID-19 Vaccine Effectiveness Estimation Using the Screening Method: Operational Tool for Countries. 2022. Available online: https://storage.googleapis.com/technet-media/media/com_khub/uploaded/462%2F220707COVID-19_VE_Screeningmethod_genericprotocol.pdf?g=1706741491094198&alt=media (accessed on 21 April 2023).
- Flannery, B.; Andrews, N.; Feikin, D.; Patel, M.K. Commentary: Estimation of vaccine effectiveness using the screening method. Int. J. Epidemiol. 2023, 52, 19–21. [Google Scholar] [CrossRef]
- Public Health Agency of Canada. COVID-19 Epidemiology Update. 2022. Available online: https://health-infobase.canada.ca/covid-19/archive/2022-10-21/testing-variants.html (accessed on 31 July 2023).
- Centers for Disease Control and Prevention (CDC). Data Definitions for COVID-19 Vaccinations in the United States. 2023. Available online: https://archive.cdc.gov/#/details?archive_url=https://archive.cdc.gov/www_cdc_gov/coronavirus/2019-ncov/vaccines/effectiveness/how-they-work.html (accessed on 13 March 2023).
- Wood, S.N. Thin Plate Regression Splines. J. R. Stat. Soc. B Stat. Methodol. 2003, 65, 95–114. [Google Scholar] [CrossRef]
- Xia, S.; Wang, L.; Zhu, Y.; Lu, L.; Jiang, S. Origin, virological features, immune evasion and intervention of SARS-CoV-2 Omicron sublineages. Signal Transduct. Target. Ther. 2022, 7, 241. [Google Scholar] [CrossRef] [PubMed]
- Feikin, D.R.; Higdon, M.M.; Abu-Raddad, L.J.; Andrews, N.; Araos, R.; Goldberg, Y.; Groome, M.J.; Huppert, A.; O’Brien, K.L.; Smith, P.G.; et al. Duration of effectiveness of vaccines against SARS-CoV-2 infection and COVID-19 disease: Results of a systematic review and meta-regression. Lancet 2022, 399, 924–944. [Google Scholar] [CrossRef] [PubMed]
- European Centre for Disease Prevention and Control (ECDC). Interim Analysis of COVID-19 Vaccine Effectiveness Against Severe Acute Respiratory Infection due to Laboratory-Confirmed SARS-CoV-2 Among Individuals Aged 65 Years and Older, ECDC Multi-Country Study. 8 October 2021. Available online: https://www.ecdc.europa.eu/sites/default/files/documents/TRP-20211004-1860_0.pdf (accessed on 15 July 2024).
- Cromer, D.; Steain, M.; Reynaldi, A.; Schlub, T.E.; Khan, S.R.; Sasson, S.C.; Kent, S.J.; Khoury, D.S.; Davenport, M.P. Predicting vaccine effectiveness against severe COVID-19 over time and against variants: A meta-analysis. Nat. Commun. 2023, 14, 1633. [Google Scholar] [CrossRef]
- Wu, N.; Joyal-Desmarais, K.; Ribeiro, P.A.B.; Vieira, A.M.; Stojanovic, J.; Sanuade, C.; Yip, D.; Bacon, S.L. Long-term effectiveness of COVID-19 vaccines against infections, hospitalisations, and mortality in adults: Findings from a rapid living systematic evidence synthesis and meta-analysis up to December, 2022. Lancet Respir. Med. 2023, 11, 439–452. [Google Scholar] [CrossRef]
- European Centre for Disease Prevention and Control (ECDC). Interim Analysis of COVID-19 Vaccine Effectiveness Against Severe Acute Respiratory Infection due to SARS-CoV-2 in Individuals Aged 20 Years and Older—Third Update. 2022. Available online: https://www.ecdc.europa.eu/sites/default/files/documents/Interim-analysis-COVID-19-vaccine-over-20.pdf (accessed on 17 July 2024).
- Jacobsen, H.; Sitaras, I.; Katzmarzyk, M.; Cobos Jiménez, V.; Naughton, R.; Higdon, M.M.; Deloria Knoll, M. Systematic review and meta-analysis of the factors affecting waning of post-vaccination neutralizing antibody responses against SARS-CoV-2. NPJ Vaccines 2023, 8, 159. [Google Scholar] [CrossRef]
- Tartof, S.Y.; Slezak, J.M.; Puzniak, L.; Hong, V.; Frankland, T.B.; Ackerson, B.K.; Xie, F.; Takhar, H.; Ogun, O.A.; Simmons, S.; et al. Effectiveness of BNT162b2 BA.4/5 bivalent mRNA vaccine against a range of COVID-19 outcomes in a large health system in the USA: A test-negative case-control study. Lancet Respir. Med. 2023, 11, 1089–1100. [Google Scholar] [CrossRef]
- Scobie, H.M.; Johnson, A.G.; Suthar, A.B.; Severson, R.; Alden, N.B.; Balter, S.; Bertolino, D.; Blythe, D.; Brady, S.; Cadwell, B.; et al. Monitoring Incidence of COVID-19 Cases, Hospitalizations, and Deaths, by Vaccination Status—13 U.S. Jurisdictions, April 4–July 17, 2021. MMWR Morb. Mortal. Wkly. Rep. 2021, 70, 1284–1290. [Google Scholar] [CrossRef]
- Health Canada (HC). Drug and Vaccine Authorizations for COVID-19: List of Applications Received. 2024. Available online: https://www.canada.ca/en/health-canada/services/drugs-health-products/covid19-industry/drugs-vaccines-treatments/authorization/applications.html (accessed on 13 September 2024).
- Adjobimey, T.; Meyer, J.; Sollberg, L.; Bawolt, M.; Berens, C.; Kovačević, P.; Trudić, A.; Parcina, M.; Hoerauf, A. Comparison of IgA, IgG, and Neutralizing Antibody Responses Following Immunization With Moderna, BioNTech, AstraZeneca, Sputnik-V, Johnson and Johnson, and Sinopharm’s COVID-19 Vaccines. Front. Immunol. 2022, 13, 917905. [Google Scholar] [CrossRef]
- Atmar, R.L.; Lyke, K.E.; Deming, M.E.; Jackson, L.A.; Branche, A.R.; El Sahly, H.M.; Rostad, C.A.; Martin, J.M.; Johnston, C.; Rupp, R.E.; et al. Homologous and Heterologous Covid-19 Booster Vaccinations. N. Engl. J. Med. 2022, 386, 1046–1057. [Google Scholar] [CrossRef]
- Breznik, J.A.; Rahim, A.; Kajaks, T.; Hagerman, M.; Bilaver, L.; Colwill, K.; Dayam, R.M.; Gingras, A.C.; Verschoor, C.P.; McElhaney, J.E.; et al. Protection from Omicron Infection in Residents of Nursing and Retirement Homes in Ontario, Canada. J. Am. Med. Dir. Assoc. 2023, 24, 753–758. [Google Scholar] [CrossRef]
- Andrews, N.; Stowe, J.; Kirsebom, F.; Toffa, S.; Rickeard, T.; Gallagher, E.; Gower, C.; Kall, M.; Groves, N.; O’Connell, A.-M.; et al. Covid-19 Vaccine Effectiveness against the Omicron (B.1.1.529) Variant. N. Engl. J. Med. 2022, 386, 1532–1546. [Google Scholar] [CrossRef]
- Menni, C.; May, A.; Polidori, L.; Louca, P.; Wolf, J.; Capdevila, J.; Hu, C.; Ourselin, S.; Steves, C.J.; Valdes, A.M.; et al. COVID-19 vaccine waning and effectiveness and side-effects of boosters: A prospective community study from the ZOE COVID Study. Lancet Infect. Dis. 2022, 22, 1002–1010. [Google Scholar] [CrossRef]
- Public Health Agency of Canada (PHAC). COVID-19 Vaccines: Canadian Immunization Guide: For Health Professionals. 2024. Available online: https://www.canada.ca/en/public-health/services/publications/healthy-living/canadian-immunization-guide-part-4-active-vaccines/page-26-covid-19-vaccine.html (accessed on 16 September 2024).
- Hahné, S.J.M.; Bollaerts, K.; Farrington, C.P. Vaccination Programmes: Epidemiology, Monitoring, Evaluation, 1st ed.; Taylor & Francis Group: London, UK, 2021; ISBN 9781315166414. [Google Scholar]




| Characteristic | Overall | Unvaccinated | Primary Series Completed | Primary Series Completed with One Additional/Booster Dose | Primary Series Completed with Two or More Additional/Booster Doses | |||||
|---|---|---|---|---|---|---|---|---|---|---|
| n | % | n | % | n | % | n | % | n | % | |
| Totals | 103,822 | 100 | 24,023 | 23.1 | 22,686 | 21.9 | 33,926 | 32.7 | 23,187 | 22.3 |
| Severe COVID-19 outcome (n = 103,822) | ||||||||||
| Hospitalized | 75,709 | 72.9 | 16,054 | 66.8 | 16,746 | 73.8 | 25,575 | 75.4 | 17,334 | 74.8 |
| Admitted to ICU | 8452 | 8.2 | 2969 | 12.4 | 1947 | 8.6 | 2250 | 6.6 | 1286 | 5.5 |
| Death | 19,661 | 18.9 | 5000 | 20.8 | 3993 | 17.6 | 6101 | 18 | 4567 | 19.7 |
| Age group, years (n = 103,822) | ||||||||||
| 50–59 | 10,469 | 10.1 | 4215 | 17.5 | 3133 | 13.8 | 2451 | 7.2 | 670 | 2.9 |
| 60–69 | 18,653 | 18.0 | 5842 | 24.3 | 5045 | 22.2 | 5350 | 15.8 | 2416 | 10.4 |
| 70–79 | 27,979 | 26.9 | 6336 | 26.4 | 6124 | 27.0 | 9253 | 27.3 | 6266 | 27.0 |
| ≥80 | 46,721 | 45.0 | 7630 | 31.8 | 8384 | 37.0 | 16,872 | 49.7 | 13,835 | 59.7 |
| Gender (n = 103,822) | ||||||||||
| Female | 47,377 | 45.6 | 11,005 | 45.8 | 10,206 | 45.0 | 15,506 | 45.7 | 10,660 | 46.0 |
| Male | 56,329 | 54.3 | 12,988 | 54.1 | 12,451 | 54.9 | 18,381 | 54.2 | 12,509 | 54.0 |
| Unknown/Other | 116 | 0.1 | 30 | 0.1 | 29 | 0.1 | 39 | 0.1 | 18 | 0.0 |
| Province/Territory (n = 103,822) | ||||||||||
| Central | 42,149 | 40.6 | 10,258 | 42.7 | 8738 | 38.5 | 12,000 | 35.4 | 11,153 | 48.1 |
| Eastern | 6718 | 6.5 | 1061 | 4.4 | 1492 | 6.6 | 2523 | 7.4 | 1642 | 7.1 |
| Northern | 225 | 0.2 | 60 | 0.2 | 76 | 0.3 | 59 | 0.2 | 30 | 0.1 |
| Western | 54,730 | 52.7 | 12,644 | 52.6 | 12,380 | 54.6 | 19,344 | 57 | 10,362 | 44.7 |
| Circulating VOC (n = 103,822) | ||||||||||
| Delta | 10,492 | 10.1 | 7036 | 29.3 | 3351 | 14.8 | 105 | 0.3 | – | – |
| Omicron B.1.1.529/BA.1/BA.2 | 43,411 | 41.8 | 9777 | 40.7 | 13,164 | 58 | 19,095 | 56.3 | 1375 | 5.9 |
| Omicron BA.4/BA.5/BQ | 32,916 | 31.7 | 4606 | 19.2 | 4411 | 19.4 | 11,205 | 33 | 12,694 | 54.8 |
| Recombinant XBB.1.5/EG.5 | 17,003 | 16.4 | 2604 | 10.8 | 1760 | 7.8 | 3521 | 10.4 | 9118 | 39.3 |
| Primary Series | Primary Series with One Additional/Booster Dose | Primary Series with Two or More Additional/Booster Doses | ||||||
|---|---|---|---|---|---|---|---|---|
| Delta | Omicron B.1.1.529/BA.1/BA.2 | Omicron BA.4/BA.5/BQ | Recombinant XBB.1.5/EG.5 | |||||
| aVE | 95% CI | aVE | 95% CI | aVE | 95% CI | aVE | 95% CI | |
| Hospitalization | ||||||||
| 50–59 years | 96.4 | 95.9–96.9 | 74.9 | 71.8–77.6 | 53.7 | 43.0–62.3 | 61.0 | 51.9–68.4 |
| 60–69 years | 95.2 | 94.7–95.7 | 78.1 | 76.3–79.8 | 68.9 | 64.5–72.6 | 63.7 | 58.3–68.3 |
| 70–79 years | 93.3 | 92.6–93.9 | 74.3 | 72.3–76.1 | 75.0 | 72.5–77.3 | 64.3 | 60.6–67.7 |
| ≥80 years | 84.5 | 82.8–86.1 | 66.8 | 64.7–68.8 | 69.6 | 67.4–71.7 | 69.8 | 67.5–72.0 |
| ICU admission/Death | ||||||||
| 50–59 years | 97.9 | 97.4–98.4 | 83.7 | 80.1–86.7 | 47.8 | 20.5–65.7 | 75.8 | 61.1–85.0 |
| 60–69 years | 96.5 | 95.9–97.0 | 83.5 | 80.9–85.7 | 73.6 | 66.4–79.2 | 71.0 | 62.8–77.4 |
| 70–79 years | 95.5 | 94.8–96.1 | 80.4 | 77.8–82.6 | 72.3 | 66.9–76.9 | 71.9 | 66.1–76.6 |
| ≥80 years | 87.1 | 85.4–88.5 | 72.2 | 69.4–74.8 | 68.9 | 65.2–72.2 | 77.2 | 74.2–79.9 |
Disclaimer/Publisher’s Note: The statements, opinions and data contained in all publications are solely those of the individual author(s) and contributor(s) and not of MDPI and/or the editor(s). MDPI and/or the editor(s) disclaim responsibility for any injury to people or property resulting from any ideas, methods, instructions or products referred to in the content. |
© 2025 by the authors. Licensee MDPI, Basel, Switzerland. This article is an open access article distributed under the terms and conditions of the Creative Commons Attribution (CC BY) license.
Share and Cite
MacTavish, R.; Slatculescu, A.; Ermacora, D.; Vukovojac, K.; Noth, T.; Ward, N.; Laskoski, K.; Fleming, D.; Manoharan, B.; Laroche, J.; et al. National Near Real-Time Vaccine Effectiveness Against COVID-19 Severe Outcomes Using the Screening Method Among Older Adults Aged ≥50 Years in Canada. Vaccines 2026, 14, 26. https://doi.org/10.3390/vaccines14010026
MacTavish R, Slatculescu A, Ermacora D, Vukovojac K, Noth T, Ward N, Laskoski K, Fleming D, Manoharan B, Laroche J, et al. National Near Real-Time Vaccine Effectiveness Against COVID-19 Severe Outcomes Using the Screening Method Among Older Adults Aged ≥50 Years in Canada. Vaccines. 2026; 14(1):26. https://doi.org/10.3390/vaccines14010026
Chicago/Turabian StyleMacTavish, Robert, Andreea Slatculescu, Dylan Ermacora, Katarina Vukovojac, Tanner Noth, Natalie Ward, Kathleen Laskoski, Daniela Fleming, Baanu Manoharan, Julie Laroche, and et al. 2026. "National Near Real-Time Vaccine Effectiveness Against COVID-19 Severe Outcomes Using the Screening Method Among Older Adults Aged ≥50 Years in Canada" Vaccines 14, no. 1: 26. https://doi.org/10.3390/vaccines14010026
APA StyleMacTavish, R., Slatculescu, A., Ermacora, D., Vukovojac, K., Noth, T., Ward, N., Laskoski, K., Fleming, D., Manoharan, B., Laroche, J., & Fall, A. (2026). National Near Real-Time Vaccine Effectiveness Against COVID-19 Severe Outcomes Using the Screening Method Among Older Adults Aged ≥50 Years in Canada. Vaccines, 14(1), 26. https://doi.org/10.3390/vaccines14010026

