Preclinical Immunogenicity of a 6-Valent GBS Glycoconjugate Vaccine from a Repeat-Dose GLP Toxicology Study
Abstract
1. Introduction
2. Materials and Methods
2.1. Animal Ethics Statement
2.2. Capsular Polysaccharide Production
2.3. Conjugation of CPS to rCRM197

2.4. GBS-06 Test Article Preparation
2.5. GLP Toxicology Study of 6-Valent GBS Vaccine in Rabbits
2.6. Multiplex ELISA
3. Results
3.1. Vaccine Characterization
3.2. Vaccine Safety
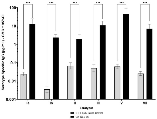
3.3. Vaccine Immunogenicity
4. Discussion
5. Conclusions
Supplementary Materials
Author Contributions
Funding
Institutional Review Board Statement
Informed Consent Statement
Data Availability Statement
Acknowledgments
Conflicts of Interest
Abbreviations
| BCA | Bicinchoninic Acid Assay |
| CDAP | 1-cyano-4-dimethylaminopyridinium tetrafluoroborate |
| CPS | Capsular polysaccharide |
| EDC | 1-Ethyl-3-(3-dimethylaminopropyl)carbodiimide) |
| EOD | Early Onset Disease |
| GBS | Group B Streptococcus |
| GMC(s) | Geometric Mean concentration(s) |
| HZ-PEG-HZ | Hydrazide-Polyethylene Glycol-Hydrazide |
| IAP | Intrapartum Antibiotic Prophylaxis |
| IgG | Immunoglobulin G |
| LOD | Late Onset Disease |
| LMICs | Low- and Middle-Income Countries |
| MBIA | Multiplexed Bead-based Immunoassay |
| MNT | Maternal and Neonatal Tetanus |
| NZW | New Zealand White |
| OPA | Opsonophagocytic Killing Assay |
| PS | Polysaccharide |
| rCRM197 | recombinant Cross-Reacting Material197 |
| SEC-MALLS | Size Exclusion Chromatography Multi Angle Laser Light Scattering |
| ST | Serotype |
| SToRR | Serological Thresholds of Risk Reduction |
| TMP | Trans Membrane Pressure |
| TNBS | 2,4,6-trinitrobenzene sulfonic acid |
References
- Patras, K.A.; Nizet, V. Group B Streptococcal Maternal Colonization and Neonatal Disease: Molecular Mechanisms and Preventative Approaches. Front. Pediatr. 2018, 6, 27. [Google Scholar] [CrossRef] [PubMed]
- Madrid, L.; Seale, A.C.; Kohli-Lynch, M.; Edmond, K.M.; Lawn, J.E.; Heath, P.T.; Madhi, S.A.; Baker, C.J.; Bartlett, L.; Cutland, C.; et al. Infant Group B Streptococcal Disease Incidence and Serotypes Worldwide: Systematic Review and Meta-Analyses. Clin. Infect. Dis. 2017, 65, S160–S172. [Google Scholar] [CrossRef]
- Seale, A.C.; Bianchi-Jassir, F.; Russell, N.J.; Kohli-Lynch, M.; Tann, C.J.; Hall, J.; Madrid, L.; Blencowe, H.; Cousens, S.; Baker, C.J.; et al. Estimates of the Burden of Group B Streptococcal Disease Worldwide for Pregnant Women, Stillbirths, and Children. Clin. Infect. Dis. 2017, 65, S200–S219. [Google Scholar] [CrossRef] [PubMed]
- Kolter, J.; Henneke, P. Codevelopment of Microbiota and Innate Immunity and the Risk for Group B Streptococcal Disease. Front. Immunol. 2017, 8, 1497. [Google Scholar] [CrossRef]
- Carl, M.A.; Ndao, I.M.; Springman, A.C.; Manning, S.D.; Johnson, J.R.; Johnston, B.D.; Burnham, C.-A.D.; Weinstock, E.S.; Weinstock, G.M.; Wylie, T.N.; et al. Sepsis from the Gut: The Enteric Habitat of Bacteria That Cause Late-Onset Neonatal Bloodstream Infections. Clin. Infect. Dis. 2014, 58, 1211–1218. [Google Scholar] [CrossRef]
- Melin, P. Neonatal Group B Streptococcal Disease: From Pathogenesis to Preventive Strategies. Clin. Microbiol. Infect. 2011, 17, 1294–1303. [Google Scholar] [CrossRef]
- Davies, H.G.; Carreras-Abad, C.; Le Doare, K.; Heath, P.T. Group B Streptococcus: Trials and Tribulations. Pediatr. Infect. Dis. J. 2019, 38, S72–S76. [Google Scholar] [CrossRef]
- WHO. Group B Streptococcus Vaccine: Full Value of Vaccine Assessment. Executive Summary, 1st ed.; World Health Organization: Geneva, Switzerland, 2021; ISBN 978-92-4-003809-7. [Google Scholar]
- Kwatra, G.; Izu, A.; Cutland, C.; Akaba, G.; Ali, M.M.; Ahmed, Z.; Beck, M.M.; Barsosio, H.C.; Berkley, J.A.; Chaka, T.E.; et al. Prevalence of Group B Streptococcus Colonisation in Mother-Newborn Dyads in Low-Income and Middle-Income South Asian and African Countries: A Prospective, Observational Study. Lancet Microbe 2024, 5, 100897. [Google Scholar] [CrossRef]
- Alotaibi, N.M.; Alroqi, S.; Alharbi, A.; Almutiri, B.; Alshehry, M.; Almutairi, R.; Alotaibi, N.; Althoubiti, A.; Alanezi, A.; Alatawi, N.; et al. Clinical Characteristics and Treatment Strategies for Group B Streptococcus (GBS) Infection in Pediatrics: A Systematic Review. Medicina 2023, 59, 1279. [Google Scholar] [CrossRef]
- Carreras-Abad, C.; Ramkhelawon, L.; Heath, P.T.; Le Doare, K. A Vaccine Against Group B Streptococcus: Recent Advances. IDR 2020, 13, 1263–1272. [Google Scholar] [CrossRef] [PubMed]
- Paoletti, L.C.; Kasper, D.L. Surface Structures of Group B Streptococcus Important in Human Immunity. Microbiol. Spectr. 2019, 7. [Google Scholar] [CrossRef] [PubMed]
- Jennings, H.J.; Rosell, K.G.; Kasper, D.L. Structural Determination and Serology of the Native Polysaccharide Antigen of Type-III Group B Streptococcus. Can. J. Biochem. 1980, 58, 112–120. [Google Scholar] [CrossRef] [PubMed]
- Baker, C.J.; Kasper, D.L. Correlation of Maternal Antibody Deficiency with Susceptibility to Neonatal Group B Streptococcal Infection. N. Engl. J. Med. 1976, 294, 753–756. [Google Scholar] [CrossRef]
- Baker, C.J.; Kasper, D.L. Group B Streptococcal Vaccines. Rev. Infect. Dis. 1985, 7, 458–467. [Google Scholar] [CrossRef]
- Bjerkhaug, A.U.; Ramalingham, S.; Mboizi, R.; Le Doare, K.; Klingenberg, C. The Immunogenicity and Safety of Group B Streptococcal Maternal Vaccines: A Systematic Review. Vaccine 2024, 42, 84–98. [Google Scholar] [CrossRef]
- Madhi, S.A.; Anderson, A.S.; Absalon, J.; Radley, D.; Simon, R.; Jongihlati, B.; Strehlau, R.; Van Niekerk, A.M.; Izu, A.; Naidoo, N.; et al. Potential for Maternally Administered Vaccine for Infant Group B Streptococcus. N. Engl. J. Med. 2023, 389, 215–227. [Google Scholar] [CrossRef] [PubMed]
- Gonzalez-Miro, M.; Pawlowski, A.; Lehtonen, J.; Cao, D.; Larsson, S.; Darsley, M.; Kitson, G.; Fischer, P.B.; Johansson-Lindbom, B. Safety and Immunogenicity of the Group B Streptococcus Vaccine AlpN in a Placebo-Controlled Double-Blind Phase 1 Trial. iScience 2023, 26, 106261. [Google Scholar] [CrossRef]
- Islam, M.S.; Saha, S.K.; Islam, M.; Modak, J.K.; Shah, R.; Talukder, R.R.; El Arifeen, S.; Baqui, A.H.; Darmstadt, G.L.; Mullany, L.C. Prevalence, Serotype Distribution and Mortality Risk Associated With Group B Streptococcus Colonization of Newborns in Rural Bangladesh. Pediatr. Infect. Dis. J. 2016, 35, 1309. [Google Scholar] [CrossRef]
- Ghia, C.; Rambhad, G. Disease Burden Due to Group B Streptococcus in the Indian Population and the Need for a Vaccine–a Narrative Review. Ther. Adv. Infect. 2021, 8, 20499361211045253. [Google Scholar] [CrossRef]
- Russell, N.J.; Seale, A.C.; O’Driscoll, M.; O’Sullivan, C.; Bianchi-Jassir, F.; Gonzalez-Guarin, J.; Lawn, J.E.; Baker, C.J.; Bartlett, L.; Cutland, C.; et al. Maternal Colonization with Group B Streptococcus and Serotype Distribution Worldwide: Systematic Review and Meta-Analyses. Clin. Infect. Dis. 2017, 65, S100–S111. [Google Scholar] [CrossRef]
- Creti, R.; Imperi, M.; Gherardi, G.; Alfarone, G.; Marani, I.; Vocale, C.; Berardi, A.; Truocchio, S.; Miselli, F. Group B Streptococcus (GBS) Carriage in Pregnant Women: Possible Emergence of Rare Serotypes and Antibiotic Resistance in Neonatal Disease. Microorganisms 2025, 13, 1496. [Google Scholar] [CrossRef]
- Datta, A.; Kapre, K.; Andi-Lolo, I.; Kapre, S. Multi-Valent Pneumococcal Conjugate Vaccine for Global Health: From Problem to Platform to Production. Hum. Vaccines Immunother. 2022, 18, 2117949. [Google Scholar] [CrossRef]
- Padín-González, E.; Lancaster, P.; Bottini, M.; Gasco, P.; Tran, L.; Fadeel, B.; Wilkins, T.; Monopoli, M.P. Understanding the Role and Impact of Poly (Ethylene Glycol) (PEG) on Nanoparticle Formulation: Implications for COVID-19 Vaccines. Front. Bioeng. Biotechnol. 2022, 10, 882363. [Google Scholar] [CrossRef]
- Svennerholm, L. Quantitive Estimation of Sialic Acids: II. A Colorimetric Resorcinol-Hydrochloric Acid Method. Biochim. Biophys. Acta 1957, 24, 604–611. [Google Scholar] [CrossRef] [PubMed]
- Kossaczka, Z.; Bystricky, S.; Bryla, D.A.; Shiloach, J.; Robbins, J.B.; Szu, S.C. Synthesis and Immunological Properties of Vi and Di-O-Acetyl Pectin Protein Conjugates with Adipic Acid Dihydrazide as the Linker. Infect. Immun. 1997, 65, 2088–2093. [Google Scholar] [CrossRef]
- Okuyama, T.; Satake, K. On The Preparation and Properties of 2, 4, 6-Trinitrophenyl-Amino Acids and-Peptides. J. Biochem. 1960, 47, 454–466. [Google Scholar] [CrossRef]
- Shafer, D.E.; Toll, B.; Schuman, R.F.; Nelson, B.L.; Mond, J.J.; Lees, A. Activation of Soluble Polysaccharides with 1-Cyano-4-Dimethylaminopyridinium Tetrafluoroborate (CDAP) for Use in Protein-Polysaccharide Conjugate Vaccines and Immunological Reagents. II. Selective Crosslinking of Proteins to CDAP-Activated Polysaccharides. Vaccine 2000, 18, 1273–1281. [Google Scholar] [CrossRef]
- Smith, P.K.; Krohn, R.I.; Hermanson, G.T.; Mallia, A.K.; Gartner, F.H.; Provenzano, M.D.; Fujimoto, E.K.; Goeke, N.M.; Olson, B.J.; Klenk, D.C. Measurement of Protein Using Bicinchoninic Acid. Anal. Biochem. 1985, 150, 76–85. [Google Scholar] [CrossRef] [PubMed]
- Lei, Q.P.; Lamb, D.H.; Heller, R.; Pietrobon, P. Quantitation of Low Level Unconjugated Polysaccharide in Tetanus Toxoid-Conjugate Vaccine by HPAEC/PAD Following Rapid Separation by Deoxycholate/HCl. J. Pharm. Biomed. Anal. 2000, 21, 1087–1091. [Google Scholar] [CrossRef] [PubMed]
- Gallagher, D.T.; Oganesyan, N.; Lees, A. Monomeric Crystal Structure of the Vaccine Carrier Protein CRM197 and Implications for Vaccine Development. Acta Crystallogr. F Struct. Biol. Commun. 2023, 79, 82–86. [Google Scholar] [CrossRef]
- Elberse, K.E.M.; Tcherniaeva, I.; Berbers, G.A.M.; Schouls, L.M. Optimization and Application of a Multiplex Bead-Based Assay to Quantify Serotype-Specific IgG against Streptococcus Pneumoniae Polysaccharides: Response to the Booster Vaccine after Immunization with the Pneumococcal 7-Valent Conjugate Vaccine. Clin. Vaccine Immunol. 2010, 17, 674–682. [Google Scholar] [CrossRef]
- Ravenscroft, N.; Berti, F. NMR Characterization of Bacterial Glycans and Glycoconjugate Vaccines. In Recent Trends in Carbohydrate Chemistry; Rauter, A.P., Christensen, B.E., Somsák, L., Kosma, P., Adamo, R., Eds.; Elsevier: Amsterdam, The Netherlands, 2020; pp. 239–281. ISBN 978-0-12-820954-7. [Google Scholar]
- WHO. Recommendations to Assure the Quality, Safety and Efficacy of Pneumococcal Conjugate Vaccines, Annex 3, TRS No 977. Available online: https://www.who.int/publications/m/item/pneumococcal-conjugate-vaccines-annex3-trs-977 (accessed on 24 June 2025).
- Edmond, K.M.; Kortsalioudaki, C.; Scott, S.; Schrag, S.J.; Zaidi, A.K.; Cousens, S.; Heath, P.T. Group B Streptococcal Disease in Infants Aged Younger than 3 Months: Systematic Review and Meta-Analysis. Lancet 2012, 379, 547–556. [Google Scholar] [CrossRef]
- Madhi, S.A.; Izu, A.; Kwatra, G.; Jones, S.; Dangor, Z.; Wadula, J.; Moultrie, A.; Adam, Y.; Pu, W.; Henry, O. Association of Group B Streptococcus (GBS) Serum Serotype-Specific Anticapsular Immunoglobulin G Concentration and Risk Reduction for Invasive GBS Disease in South African Infants: An Observational Birth-Cohort, Matched Case-Control Study. Clin. Infect. Dis. 2021, 73, e1170–e1180. [Google Scholar] [CrossRef]
- Etti, M.; Calvert, A.; Galiza, E.; Lim, S.; Khalil, A.; Le Doare, K.; Heath, P.T. Maternal Vaccination: A Review of Current Evidence and Recommendations. Am. J. Obstet. Gynecol. 2022, 226, 459–474. [Google Scholar] [CrossRef]
- Smith, W.B.; Seger, W.; Chawana, R.; Skogeby, Z.; Silmon De Monerri, N.C.; Feng, Y.; Gaylord, M.; Jongihlati, B.; Beeslaar, J.; Skinner, J.M.; et al. A Phase 2b Trial Evaluating the Safety, Tolerability, and Immunogenicity of a 6-Valent Group B Streptococcus Vaccine Administered Concomitantly With Tetanus, Diphtheria, and Acellular Pertussis Vaccine in Healthy Nonpregnant Female Individuals. J. Infect. Dis. 2025, jiaf096. [Google Scholar] [CrossRef]
- Bianchi-Jassir, F.; Paul, P.; To, K.-N.; Carreras-Abad, C.; Seale, A.C.; Jauneikaite, E.; Madhi, S.A.; Russell, N.J.; Hall, J.; Madrid, L.; et al. Systematic Review of Group B Streptococcal Capsular Types, Sequence Types and Surface Proteins as Potential Vaccine Candidates. Vaccine 2020, 38, 6682–6694. [Google Scholar] [CrossRef] [PubMed]
- Alderson, M.R.; Sethna, V.; Newhouse, L.C.; Lamola, S.; Dhere, R. Development Strategy and Lessons Learned for a 10-Valent Pneumococcal Conjugate Vaccine (PNEUMOSIL®). Hum. Vaccines Immunother. 2021, 17, 2670–2677. [Google Scholar] [CrossRef] [PubMed]
- Frasch, C.; Preziosi, M.-P.; LaForce, F.M. Development of a Group A Meningococcal Conjugate Vaccine, MenAfriVacTM. Hum. Vaccines Immunother. 2012, 8, 715–724. [Google Scholar] [CrossRef]
- Huang, Q.; Li, D.; Kang, A.; An, W.; Fan, B.; Ma, X.; Ma, G.; Su, Z.; Hu, T. PEG as a Spacer Arm Markedly Increases the Immunogenicity of Meningococcal Group Y Polysaccharide Conjugate Vaccine. J. Control. Release 2013, 172, 382–389. [Google Scholar] [CrossRef] [PubMed]
- Shi, D.; Beasock, D.; Fessler, A.; Szebeni, J.; Ljubimova, J.Y.; Afonin, K.A.; Dobrovolskaia, M.A. To PEGylate or Not to PEGylate: Immunological Properties of Nanomedicine’s Most Popular Component, Poly(Ethylene) Glycol and Its Alternatives. Adv. Drug Deliv. Rev. 2022, 180, 114079. [Google Scholar] [CrossRef]
- Carboni, F.; Adamo, R.; Fabbrini, M.; De Ricco, R.; Cattaneo, V.; Brogioni, B.; Veggi, D.; Pinto, V.; Passalacqua, I.; Oldrini, D.; et al. Structure of a Protective Epitope of Group B Streptococcus Type III Capsular Polysaccharide. Proc. Natl. Acad. Sci. USA 2017, 114, 5017–5022. [Google Scholar] [CrossRef] [PubMed]
- Micoli, F.; Adamo, R.; Costantino, P. Protein Carriers for Glycoconjugate Vaccines: History, Selection Criteria, Characterization and New Trends. Molecules 2018, 23, 1451. [Google Scholar] [CrossRef] [PubMed]
- Edwards, M.S. Group B Streptococcal Conjugate Vaccine: A Timely Concept for Which the Time Has Come. Hum. Vaccines 2008, 4, 444–448. [Google Scholar] [CrossRef]
- Le Doare, K.; Benassi, V.; Cavaleri, M.; Enwere, G.; Giersing, B.; Goldblatt, D.; Heath, P.; Hombach, J.; Isbrucker, R.; Karampatsas, K.; et al. Clinical and Regulatory Development Strategies for GBS Vaccines Intended for Maternal Immunisation in Low- and Middle-Income Countries. Vaccine 2025, 58, 127131. [Google Scholar] [CrossRef]
- Dangor, Z.; Kwatra, G.; Pawlowski, A.; Fisher, P.B.; Izu, A.; Lala, S.G.; Johansson-Lindbom, B.; Madhi, S.A. Association of Infant Rib and Alp1 Surface Protein N-Terminal Domain Immunoglobulin G and Invasive Group B Streptococcal Disease in Young Infants. Vaccine 2023, 41, 1679–1683. [Google Scholar] [CrossRef]
- Shinefield, H.R. Overview of the Development and Current Use of CRM197 Conjugate Vaccines for Pediatric Use. Vaccine 2010, 28, 4335–4339. [Google Scholar] [CrossRef]
- Fleming-Dutra, K.E.; Zauche, L.H.; Roper, L.E.; Ellington, S.R.; Olson, C.K.; Sharma, A.J.; Woodworth, K.R.; Tepper, N.; Havers, F.; Oliver, S.E.; et al. Safety and Effectiveness of Maternal COVID-19 Vaccines Among Pregnant People and Infants. Obstet. Gynecol. Clin. N. Am. 2023, 50, 279–297. [Google Scholar] [CrossRef]
- World Health Organization. Weekly Epidemiological Record, 2014, Vol. 89, 29 [Full Issue]. Wkly. Epidemiol. Rec. = Relev. épidémiologique hebdomadaire 2014, 89, 321–336. [Google Scholar]
- Absalon, J.; Segall, N.; Block, S.L.; Center, K.J.; Scully, I.L.; Giardina, P.C.; Peterson, J.; Watson, W.J.; Gruber, W.C.; Jansen, K.U. Safety and Immunogenicity of a Novel Hexavalent Group B Streptococcus Conjugate Vaccine in Healthy, Non-Pregnant Adults: A Phase 1/2, Randomised, Placebo-Controlled, Observer-Blinded, Dose-Escalation Trial. Lancet Infect. Dis. 2021, 21, 263–274. [Google Scholar] [CrossRef] [PubMed]
- WHO. WHO Preferred Product Characteristics for Group B Streptococcus Vaccines. Available online: https://www.who.int/publications/i/item/WHO-IVB-17.09 (accessed on 2 July 2025).







| Serotype | PS: Protein (wt/wt) | % Free PS | Molar Mass (Mw*, kDa) |
|---|---|---|---|
| Ia | 1.1 | 4 | 7844 |
| Ib | 0.8 | 5 | 7364 |
| II | 0.7 | 3 | 4532 |
| III | 0.7 | 3 | 7433 |
| V | 0.9 | 4 | 2443 |
| VII | 0.7 | 3 | 9531 |
| Group 1 | GBS Ia | GBS Ib | GBS II | GBS III | GBS V | GBS VII |
|---|---|---|---|---|---|---|
| Number of animals in per-protocol population | n = 20 (10/sex) | |||||
| Number of animals with evaluable anti-GBS PS-specific IgG concentrations | n = 20 | n = 20 | n = 20 | n = 20 | n = 20 | n = 20 |
| Pre-dose GMC (95% CI) | 0.016 (0.011, 0.022) | 0.003 (0.002, 0.005) | 0.047 (0.032, 0.071) | 0.027 (0.018, 0.040) | 0.038 (0.024, 0.061) | 0.017 (0.012, 0.025) |
| Day 22 GMC (95% CI) | 0.016 (0.012, 0.021) | 0.003 (0.002, 0.004) | 0.039 (0.029, 0.053) | 0.026 (0.018, 0.036) | 0.040 (0.029, 0.054) | 0.019 (0.014, 0.024) |
| Day 43 GMC (95% CI) | 0.017 (0.013, 0.022) | 0.003 (0.002, 0.004) | 0.041 (0.028, 0.060) | 0.033 (0.023, 0.048) | 0.043 (0.032, 0.057) | 0.017 (0.013, 0.022) |
| Day 49 GMC (95% CI) | 0.024 (0.019, 0.030) | 0.004 (0.002, 0.005) | 0.067 (0.045, 0.100) | 0.051 (0.032, 0.081) | 0.061 (0.046, 0.082) | 0.025 (0.020, 0.033) |
| Group 2 | GBS Ia | GBS Ib | GBS II | GBS III | GBS V | GBS VII |
|---|---|---|---|---|---|---|
| Number of animals in per-protocol population | n = 20 (10/sex) | |||||
| Number of animals with evaluable anti-GBS PS-specific IgG concentrations | n = 20 | n = 20 | n = 20 | n = 20 | n = 20 | n = 20 |
| Pre-dose GMC (95% CI) | 0.016 (0.012, 0.022) | 0.003 (0.003, 0.005) | 0.040 (0.031, 0.050) | 0.033 (0.024, 0.045) | 0.045 (0.034, 0.061) | 0.023 (0.017, 0.030) |
| Day 22 GMC (95% CI) | 0.760 (0.414, 1.395) | 0.215 (0.132, 0.352) | 0.182 (0.136, 0.244) | 0.952 (0.657, 1.379) | 0.689 (0.459, 1.033) | 0.327 (0.221, 0.486) |
| Day 43 GMC (95% CI) | 3.540 (1.620, 7.735) | 0.668 (0.420, 1.061) | 0.515 (0.328, 0.807) | 3.431 (2.090, 5.630) | 5.715 (3.376, 9.677) | 1.287 (0.810, 2.045) |
| Day 49 GMC (95% CI) | 12.947 (6.838, 24.515) | 2.335 (1.569, 3.474) | 1.962 (1.158, 3.325) | 10.873 (6.419, 18.417) | 46.536 (23.374, 92.647) | 7.028 (3.977, 12.420) |
| GBS Ia | GBS Ib | GBS II | GBS III | GBS V | GBS VII | |
|---|---|---|---|---|---|---|
| Fold rise in anti-GBS PS-specific IgG GMCs in GBS-06 compared to placebo Day 22 | 47.5 | 71.7 | 4.7 | 36.6 | 17.2 | 17.2 |
| Fold rise in anti-GBS PS-specific IgG GMCs in GBS-06 compared to placebo Day 43 | 208.2 | 222.7 | 12.6 | 103.9 | 132.9 | 75.7 |
| Fold rise in anti-GBS PS-specific IgG GMCs in GBS-06 compared to placebo Day 49 | 539.5 | 583.8 | 29.3 | 213.2 | 762.9 | 281.1 |
Disclaimer/Publisher’s Note: The statements, opinions and data contained in all publications are solely those of the individual author(s) and contributor(s) and not of MDPI and/or the editor(s). MDPI and/or the editor(s) disclaim responsibility for any injury to people or property resulting from any ideas, methods, instructions or products referred to in the content. |
© 2025 by the authors. Licensee MDPI, Basel, Switzerland. This article is an open access article distributed under the terms and conditions of the Creative Commons Attribution (CC BY) license (https://creativecommons.org/licenses/by/4.0/).
Share and Cite
Bajracharya, A.; Chellappan, G.; Seal, F.; Zhao, Y.; Chalke, G.; Chowdhury, N.; Seth, H.; Gan, J.; Guo, S.; Pinder, K.; et al. Preclinical Immunogenicity of a 6-Valent GBS Glycoconjugate Vaccine from a Repeat-Dose GLP Toxicology Study. Vaccines 2025, 13, 952. https://doi.org/10.3390/vaccines13090952
Bajracharya A, Chellappan G, Seal F, Zhao Y, Chalke G, Chowdhury N, Seth H, Gan J, Guo S, Pinder K, et al. Preclinical Immunogenicity of a 6-Valent GBS Glycoconjugate Vaccine from a Repeat-Dose GLP Toxicology Study. Vaccines. 2025; 13(9):952. https://doi.org/10.3390/vaccines13090952
Chicago/Turabian StyleBajracharya, Aakriti, Gowri Chellappan, Florence Seal, Yutai Zhao, Giriraj Chalke, Neza Chowdhury, Harshita Seth, Jen Gan, Shangdong Guo, Kevin Pinder, and et al. 2025. "Preclinical Immunogenicity of a 6-Valent GBS Glycoconjugate Vaccine from a Repeat-Dose GLP Toxicology Study" Vaccines 13, no. 9: 952. https://doi.org/10.3390/vaccines13090952
APA StyleBajracharya, A., Chellappan, G., Seal, F., Zhao, Y., Chalke, G., Chowdhury, N., Seth, H., Gan, J., Guo, S., Pinder, K., Chang, F., Huff, D., Mydland, A., Wright, C., Conceicao, L., Balasundaram, W., Raghunandan, R., Datta, A., & Kapre, S. V. (2025). Preclinical Immunogenicity of a 6-Valent GBS Glycoconjugate Vaccine from a Repeat-Dose GLP Toxicology Study. Vaccines, 13(9), 952. https://doi.org/10.3390/vaccines13090952

