Vaccination Coverage and Adherence to Scheduling in Children Aged 0 to 18 Months: Effects of COVID-19 and Age
Abstract
1. Introduction
2. Materials and Methods
2.1. Objective and Type of Research
2.2. Data
2.3. Variables and Indicators
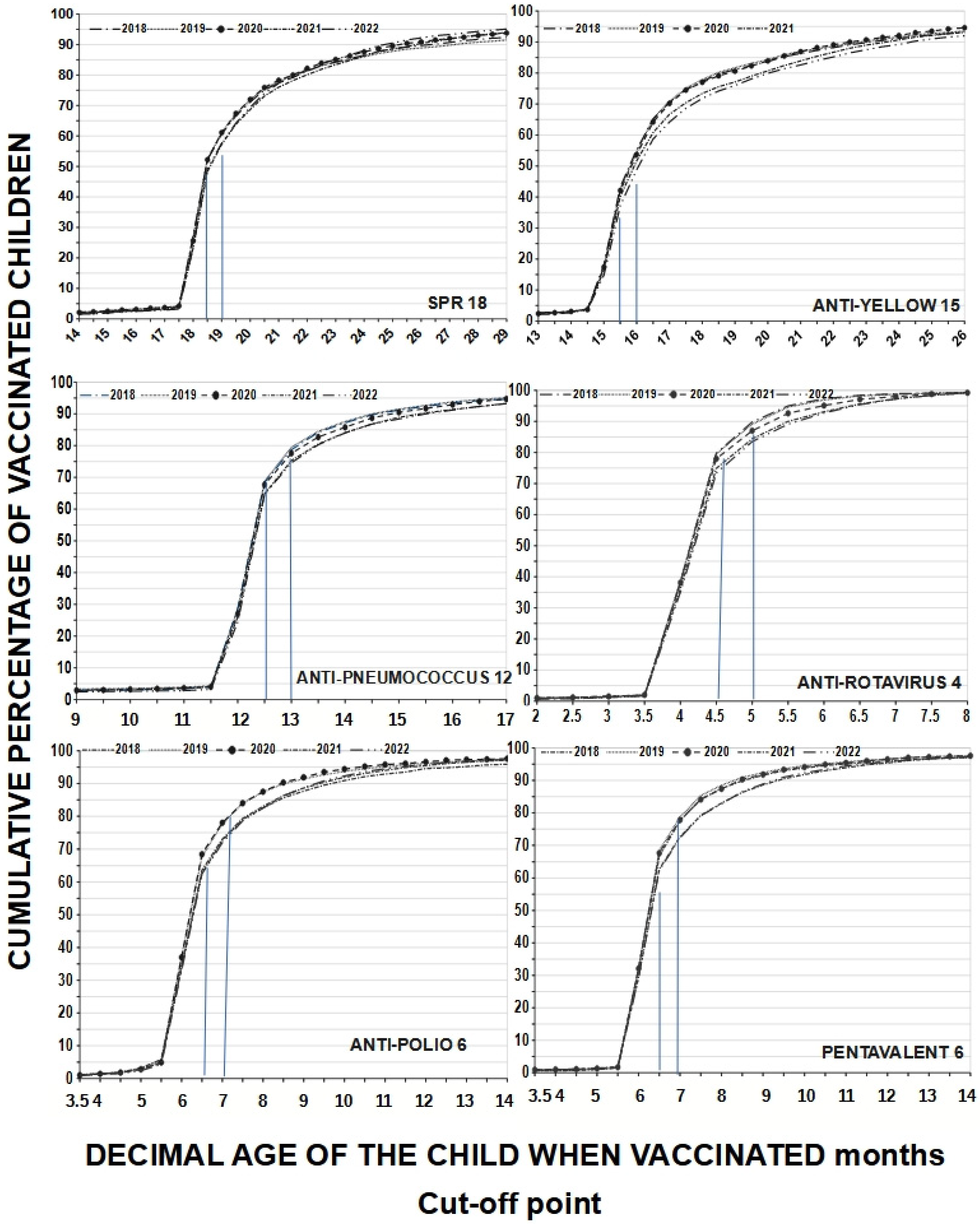
- Vaccination coverage for each vaccine administered to male and female children in the first 18 months of life, by study year, according to vaccination age.
- Adherence to the vaccination schedule for each vaccine administered to male and female children in the first 18 months of life, by study year, according to vaccination age.
- The decimal age in months at which the child received each vaccine, in the evaluated years.
2.4. Mathematical Analysis
3. Results
4. Discussion and Comments
5. Conclusions
- Vaccination coverage decreased from the first to third dose in multiple-dose vaccines.
- In general, vaccination coverage was low (less than 95%), leading to poor protection of the population.
- The older the scheduled age, the lower the coverage.
- The lockdown due to the COVID-19 pandemic reduced coverage for all vaccines.
- The lockdown due to the pandemic affected adherence to the vaccination schedule, which was consistent despite the use of different cut-off points.
- Adherence decreases as vaccination age increases.
Author Contributions
Funding
Institutional Review Board Statement
Informed Consent Statement
Data Availability Statement
Conflicts of Interest
References
- Pulendran, B.; Arunachalam, S.; O’Hagan, D.T. Emerging concepts in the science of vaccine adjuvants. Nat. Rev. Drug Discov. 2021, 20, 454–475. [Google Scholar] [CrossRef] [PubMed]
- Nandi, A.; Shet, A. Why vaccines matter: Understanding the broader health, economic, and child development benefits of routine vaccination. Hum. Vaccines Immunother. 2020, 16, 1900–1904. [Google Scholar] [CrossRef]
- Organización Panamericana de la Salud. Programa Ampliado De Inmunizaciones En Las Américas. 95a Reunión Washington, D.C. Junio-Julio 1985. [Internet]. 1985. Available online: https://iris.paho.org/bitstream/handle/10665.2/25634/CE95_15.pdf?sequence=1 (accessed on 13 October 2024).
- Sánchez-Moreno, F. El sistema nacional de salud en el Perú. Rev. Peru. Med. Exp. Salud Publica 2014, 31, 747–753. [Google Scholar] [CrossRef] [PubMed]
- García, P.J.; Larson-Williams, A.; Carcamo, M.H.; Vander-Zanden, A.; Binagwaho, A. Lessons from Peru to reduce under-5 mortality: Understanding program implementation and context. BMC Pediatr. 2024, 23 (Suppl. 1), 646. [Google Scholar] [CrossRef] [PubMed]
- Torres-Martinez, C.; Chaparro, E.; Mariño, A.C.; Falleiros-Arlant, L.H.; Camacho-Moreno, G.; Castillo, M.E.; Garces, C.; Coronell, W.; Somocurcio, R. Recommendations for modernizing infant vaccination schedules with combination vaccines in Colombia and Peru. Rev. Panam. Salud Publica 2023, 47, e24. [Google Scholar] [CrossRef]
- Tan, N.C.; Pang, J.; Koh, E. The Impact of a Revised National Childhood Immunization Schedule on Vaccination Defaulters. Vaccines 2023, 11, 859. [Google Scholar] [CrossRef]
- Al-kassab-Córdova, A.; Napanga-Saldaña, O.; Peña-Sánchez, R.; Rodríguez-Morales, A.J.; Mezones-Holguína, E. Vaccine-derived polio in Peru after 32 years of elimination: Reflections on the routine childhood immunisation coverages. Lancet Reg. Health Am. 2023, 23, 100532. [Google Scholar] [CrossRef]
- Fine, P.E. Herd Immunity: History, Theory, Practice. Epidemiol. Rev. 1993, 15, 265–302. [Google Scholar] [CrossRef]
- Malo, S.; García-Cárdenas, V. Avanzando hacia un consenso en la definición y medida de la adherencia a la medicación: La taxonomía ABC en español. Med. Fam. Semer. 2024, 50, 102226. [Google Scholar] [CrossRef]
- Zell-Baran, L.M.; Starling, A.P.; Glueck, D.H.; Bekelman, T.A.; Norris, J.M.; Adgate, J.L.; Brown, J.M.; Dabelea, D. Vaccination Trends and Family-Level Characteristics Associated With Incomplete or Delayed Childhood Immunizations: The Healthy Start Study. Am. J. Health Promot. 2023, 37, 524–528. [Google Scholar] [CrossRef]
- Ta’an, W.F.; Al-rashdan, R.A.; Shatnawi, R.M.; Ai-zenati, A.; Williams, B.; Mukattash, T.L. Determinants of maternal adherence to child vaccination in jordan: A cross-sectional study. Sci. Rep. 2024, 14, 24635. [Google Scholar] [CrossRef] [PubMed]
- Wiley, K.; Christou-Ergos, M.; McDougall, D.R.; Robinson, P.; Attwell, K.; Helps, C.; Drislane, S.; Carter, S.M. Childhood vaccine refusal and what to do about it: A systematic review of the ethical literature. BMC Med. Ethics 2023, 24, 96. [Google Scholar] [CrossRef]
- Guaraldi, F.; Montalti, M.; Gori, D. The Importance of Mapping Determinants, Attitudes and Beliefs of Vaccine Hesitancy in the Great Challenge of Compulsory Childhood Vaccination; Comment on “Convergence on Coercion: Functional and Political Pressures as Drivers of Global Childhood Vaccine Mandates”. Int. J. Health Policy Manag. 2023, 12, 7614. [Google Scholar] [CrossRef]
- Sousa de Oliveira, I.; Soares-Cardoso, L.; Gobbo-Ferreira, I.; Alexandre-Silva, G.M.; da Silva-Jacob, B.; Cerni, F.A.; Monteiro, W.M.; Zottich, U.; Pucca, M.B. Anti-vaccination movements in the world and in Brazil. J. Braz. Soc. Trop. Med. 2022, 55, e05922021. [Google Scholar] [CrossRef] [PubMed]
- World Health Organization. Vaccination Coverage Cluster Surveys: Reference Manual; World Health Organization: Geneva, Switzerland, 2018; Available online: https://apps.who.int/iris/handle/10665/272820 (accessed on 15 January 2025).
- Ji, W.Y.; Liu, D.L.; Yu, R.; Miao, L.; Yuan, Q.L.; Suo, L.D.; Yu, J.P. Vaccination coverage survey of children aged 1–3 years in Beijing, China, 2005–2021. Vaccine 2023, 41, 6444–6452. [Google Scholar] [CrossRef] [PubMed]
- Bittencourt-Enorea, R.M.; Borges Martins de Freitas, B.H.; da Silva, R.A.; Munhoz-Gaíva, M.A. Vaccination coverage and abandonment among children under two years old in Brazil: A time-series study. Rev. Paul. Pediatr. 2024, 42, e2023116. [Google Scholar] [CrossRef]
- Butler, A.M.; Newland, J.G.; Sahrmann, J.M.; O’ Neil, C.A.; McGrath, L.J. Characterizing timeliness of recommended vaccinations among privately insured children in the United States, 2009–2019. Vaccine 2024, 42, 126179. [Google Scholar] [CrossRef]
- Michels, S.Y.; Freeman, R.E.; Williams, E.; Albers, A.N.; Wehner, B.K.; Rechlin, A.; Newcomer, S.R. Evaluating vaccination coverage and timeliness in American Indian/Alaska Native and non-Hispanic White children using state immunization information system data, 2015–2017. Prev. Med. Rep. 2022, 27, 101817. [Google Scholar] [CrossRef]
- INEI. Encuesta Demográfica y de Salud Familiar ENDES. Microdatos. [Internet]. 2024. Available online: https://proyectos.inei.gob.pe/microdatos/ (accessed on 15 October 2024).
- MINSA. RM N.° 214-2020-MINSA: Aprobar la Directiva Sanitaria N.° 93 –MINSA/2020/DGIESP que Establece Disposiciones y Medidas para Operativizar las Inmunizaciones en el Perú en el Contexto del COVID-19. Abril 2020. [Internet]. 2020. Available online: https://cdn.www.gob.pe/uploads/document/file/606091/resolucion-ministerial-n-214-2020-minsa.PDF?v=1587482914 (accessed on 20 October 2024).
- MINSA. RM N.° 529-2020-MINSA. Aprobar el Documento Técnico: Plan de Recuperación de Brechas en Inmunizaciones y Anemia en Tiempo de COVID-19 en el Perú (3 Meses), que Forma parte Integrante de la Presente Resolución Ministerial. Julio 2020. [Internet]. 2020. Available online: https://www.gob.pe/institucion/minsa/normas-legales/869143-529-2020-minsa (accessed on 23 October 2024).
- MINSA. RM N.° 657-2022-MINSA. Aprobar el Documento Técnico: Plan de cierre de brechas del Esquema Nacional de Vacunación del menor de 5 años. [Internet]. 2022. Available online: https://www.gob.pe/institucion/minsa/normas-legales/3424101-657-2022-minsa (accessed on 28 October 2024).
- CDC MMWR. Recommended Immunization Schedules for Persons Aged 0 Through 18 Years—United States, 2010. [Internet]. 2010. Available online: https://www.cdc.gov/mmwr/preview/mmwrhtml/mm5851a6.htm (accessed on 18 October 2024).
- Kanellopoulou, A.; Giannakopoulos, I.; Fouzas, S.; Papachatzi, E.; Nasikas, S.; Papakonstantinopoulou, A.; Dimitriou, G.; Gkentzi, D. Vaccination coverage among school children in Western Greece from 2016 to 2019. Hum. Vaccines Immunother. 2021, 17, 4535–4541. [Google Scholar] [CrossRef]
- Hill, H.A.; Chen, M.; Elam-Evans, L.D.; Yankey, D.; Singleton, J.A. Vaccination Coverage by Age 24 Months Among Children Born During 2018–2019—National Immunization Survey–Child, United States, 2019–2021. Morb. Mortal. Wkly. Rep. 2023, 72, 33–38. [Google Scholar] [CrossRef]
- Verrier, F.; de Lauzanne, A.; Diouf, J.N.; Zo, A.Z.; Ramblière, L.; Herindrainy, P.; Sarr, F.D.; Sok, T.; Vray, M.; Collard, J.M.; et al. Bacterial Infections and Antibiotic-Resistant Diseases Among Young Children in Low-Income Countries (BIRDY) Study Group. Vaccination Coverage and Risk Factors Associated With Incomplete Vaccination Among Children in Cambodia, Madagascar, and Senegal. Open Forum Infect. Dis. 2023, 10, ofad136. [Google Scholar] [CrossRef] [PubMed]
- Shahid, S.; Ahmed, S.; Qazi, M.F.; Ali, R.; Ali, S.A.; Zaidi, A.K.M.; Iqbal, N.T.; Jehan, F.; Imran-Nisar, M. Differential coverage for vaccines in the expanded program on immunization (EPI) among children in rural Pakistan. Vacuna 2023, 41, 2680–2689. [Google Scholar] [CrossRef]
- Rauniyar, S.K.; Iwaki, Y.; Yoneoka, D.; Hashizume, M.; Nomura, S. Age-appropriate vaccination coverage and its determinants in children aged 12–36 months in Nepal: A national and subnational assessment. BMC Public Health 2021, 21, 2063. [Google Scholar] [CrossRef] [PubMed]
- Okello, G.; Izudi, J.; Ampeire, I.; Nghania, F.; Dochez, C.; Hens, N. Two decades of regional trends in vaccination completion and coverage among children aged 12-23 months: An analysis of the Uganda Demographic Health Survey data from 1995 to 2016. BMC Health Serv. Res. 2022, 22, 40. [Google Scholar] [CrossRef] [PubMed]
- Cooper, S.; Bicaba, F.; Tiendrebeogo, C.O.; Bila, A.; Bicaba, A.; Druetz, T. Vaccination coverage in rural Burkina Faso under the effects of COVID-19: Evidence from a panel study in eight districts. BMC Health Serv. Res. 2023, 23, 1016. [Google Scholar] [CrossRef]
- Albertsen, N.; Lynge, A.R.; Skovgaard, N.; Olesen, J.S.; Pedersen, M.L. Coverage rates of the children vaccination programme in Greenland. Int. J. Circumpolar Health 2020, 79, 1721983. [Google Scholar] [CrossRef]
- Newcomer, S.R.; Glanz, J.M.; Daley, M.F. Beyond Vaccination Coverage: Population-Based Measurement of Early Childhood Immunization Schedule Adherence. Acad. Pediatr. 2023, 23, 24–34. [Google Scholar] [CrossRef]
- Novaes, J.V.; Faria, F.M.F.; Bragança, B.S.C.; Santos, L.I. Impacts of the COVID-19 pandemic on immunization with pneumococcal vaccines in children and older adults in Brazil. Prev. Med. 2023, 173, 107602. [Google Scholar] [CrossRef]
- Carias, C.; Pawaskar, M.; Nyaku, M.; Conway, J.H.; Roberts, C.S.; Finelli, L.; Chen, Y.T. Potential impact of COVID-19 pandemic on vaccination coverage in children: A case study of measles-containing vaccine administration in the United States (US). Vaccine 2021, 39, 1201–1204. [Google Scholar] [CrossRef]
- Rombini, M.F.; Mauas, R.P.; Katz, N.; Urueña, A. Ranking de los programas de vacunación en América Latina, 2020. Rev. Panam. Salud Publica 2024, 48, e15. [Google Scholar] [CrossRef]
- Castrejona, M.; Lealb, I.; Pereira-Pinto, T.; Guzmán-Holst, A. The impact of COVID-19 and catch-up strategies on routine childhood vaccine coverage trends in Latin America: A systematic literature review and database analysis. Hum. Vaccines Immunother. 2022, 18, e2102353. [Google Scholar] [CrossRef]
- Ghafoori, F.; Mokhtari-Azad, T.; Foroushani, A.R.; Farahmand, M.; Shadab, A.; Salimi, V. Assessing seropositivity of MMR antibodies in individuals aged 2–22: Evaluating routine vaccination effectiveness after the 2003 mass campaign-a study from Iran’s National Measles Laboratory. BMC Infect. Dis. 2024, 24, 696. [Google Scholar] [CrossRef] [PubMed]
- Moschese, V.; Montin, D.; Ottaviano, G.; Sgrulletti, M.; Beni, A.; Costagliola, G.; Sangerardi, M.; Santilli, V.; Miraglia Del Giudice, M.; Rizzo, C.; et al. within the Italian Society of Pediatric Allergology and Immunology (SIAIP) Vaccine Committee. Vaccines and allergy: Back to the right places. Pediatr. Allergy Immunol. 2024, 35, e14236. [Google Scholar] [CrossRef] [PubMed]
- McNeil, D.A.; Mueller, M.; MacDonald, S.; McDonald, S.; Saini, V.; Kellner, J.D.; Tough, S. Maternal perceptions of childhood vaccination: Explanations of reasons for and against vaccination. BMC Public Health 2019, 19, 49. [Google Scholar] [CrossRef]
- Olubodun, T.; Ogunsola, E.A.; Coker, M.O.; Olayinka, S.A.; Elegbede, W.À.; Ojediran, J.O.; Olajide, K.B.; Sanni, S.B.; Oluwadare, T.O.; Inetagbo, O.T.; et al. HPV vaccine knowledge, attitude, and programme satisfaction among parents and caregivers of vaccine recipients in Ogun state Nigeria. Reprod. Health 2024, 21, 179. [Google Scholar] [CrossRef]
- Pugach, A.M.; Bondarenko, A.V. Awareness of future parents about vaccination. Mod. Pediatr. 2023, 5, 85–89. [Google Scholar] [CrossRef]
- Bohm-Gonz, S.T.; Detemple, S.; Gruss, J.; Franke, R.; Dotsch, J.; Berner, R.; Hartel, C.; Weyersberg, A. Perspectives and involvement of children and adolescents during the decision-making process of their Covid-19 vaccination. Patient Educ. Couns. 2025, 130, 108476. [Google Scholar] [CrossRef]
- Sabahelzain, M.M.; Almaleeh, A.; Abdelmagid, N.; Abdalla, O.; Nor, B.; Mounier-Jack, S.; Singh, N.S. Vaccination strategies to identify and reach zero-dose and under-immunized children in crisis-affected states in Sudan: A qualitative study. Confl. Health 2024, 18, 76. [Google Scholar] [CrossRef]
- Dubé, E.; Labbé, F.; Malo, B.; Manca, T.; Aylsworth, L.; Driedger, S.M.; MacDonald, S.E. “I don’t think there’s a point for me to discuss it with my patients”: Exploring health care providers’ views and behaviours regarding COVID-19 vaccination. Hum. Vaccines Immunother. 2022, 8, e2088970. [Google Scholar] [CrossRef]
- Meghani, M.; Pike, J.; Tippins, A.; Leidner, A.J. Cost-Effectiveness Analysis of Routine Outreach and Catch-Up Campaign Strategies for Measles, Mumps, and Rubella Vaccination in Chuuk, Federated States of Micronesia. Public Health Rep. 2025, 140, 48–56. [Google Scholar] [CrossRef]
- Williams, J.T.; Ritger, C.; Holliman, B.D.; Huebschmann, A.G.; O’Leary, S.T. Staff and caregivers’ perceptions of digital storytelling to increase influenza vaccine confidence in an urban safety-net healthcare system. Vaccine 2025, 45, 126572. [Google Scholar] [CrossRef] [PubMed]
- Monolbaev, K.; Kosbayeva, A.; Lazzerini, M. Mobile Vaccination Teams for Improving Vaccination Coverage in the Kyrgyz Republic: Results of a National Health System-Strengthening Project during the First Two Years of the COVID-19 Pandemic. Children 2023, 10, 1681. [Google Scholar] [CrossRef] [PubMed]
- Oyo-Ita, A.; Oduwole, O.; Arikpo, D.; Effa, E.E.; Esu, E.B.; Balakrishna, Y.; Chibuzor, M.T.; Oringanje, C.M.; Nwachukwu, C.E.; Wiysonge, C.S.; et al. Interventions for improving coverage of childhood immunisation in low- and middle-income countries. Cochrane Database Syst. Rev. 2023, 12, CD008145. [Google Scholar] [CrossRef] [PubMed]


| Vaccine Administered According to Schedule | Vaccination Coverage Year of Evaluation | ||||||||||
|---|---|---|---|---|---|---|---|---|---|---|---|
| 2018 Total: 18,268 | 2019 Total: 17,422 | 2020 Total: 11,430 | 2021 Total: 17,956 | 2022 Total: 17,626 | |||||||
| N° | % | N° | % | N° | % | N° | % | N° | % | X2 p | |
| BCG0 | 17,440 | 95.47 | 16,702 | 95.87 | 10,617 | 92.89 | 16,647 | 92.71 | 16,514 | 93.69 | 0.001 |
| ANTI-HEPATITIS0 | 15,806 | 86.52 | 15,323 | 87.95 | 9884 | 86.47 | 15,659 | 87.21 | 15,708 | 89.12 | 0.001 |
| PENTAVALENT2 | 17,248 | 94.42 | 16,546 | 94.97 | 10,399 | 90.98 | 16,584 | 92.36 | 16,442 | 93.28 | 0.001 |
| PENTAVALENT4 | 16,382 | 89.68 | 15,704 | 90.14 | 9823 | 85.94 | 15,868 | 88.37 | 15,620 | 88.62 | 0.001 |
| PENTAVALENT6 | 15,253 | 83.50 | 14,568 | 83.62 | 9160 | 80.14 | 14,649 | 81.58 | 14,411 | 81.76 | 0.001 |
| ANTI-POLIO2 | 17,539 | 96.01 | 16,753 | 96.16 | 10,570 | 92.48 | 16,805 | 93.59 | 16,420 | 93.16 | 0.001 |
| ANTI-POLIO4 | 16,598 | 90.86 | 15,898 | 91.25 | 9988 | 87.38 | 16,044 | 89.35 | 15,740 | 89.30 | 0.001 |
| ANTI-POLIO6 | 15,412 | 84.37 | 14,734 | 84.57 | 9303 | 81.39 | 14,815 | 82.51 | 14,464 | 82.06 | 0.001 |
| ANTI-PNEUMOCOCCUS2 | 17,515 | 95.88 | 16,696 | 95.83 | 10,327 | 90.35 | 16,444 | 91.58 | 16,288 | 92.41 | 0.001 |
| ANTI-PNEUMOCOCCUS4 | 16,576 | 90.74 | 15,791 | 90.64 | 9772 | 85.49 | 15,737 | 87.64 | 15,456 | 87.69 | 0.001 |
| ANTI-PNEUMOCOCCUS12 | 13,098 | 71.70 | 12,220 | 70.14 | 7923 | 69.32 | 12,154 | 67.69 | 11,963 | 67.87 | 0.001 |
| ANTI-ROTAVIRUS2 | 17,087 | 93.54 | 16,316 | 93.65 | 10,103 | 88.39 | 15,956 | 88.86 | 15,825 | 89.78 | 0.001 |
| ANTI-ROTAVIRUS4 | 15,405 | 84.33 | 14,870 | 85.35 | 9227 | 80.73 | 14,561 | 81.09 | 14,349 | 81.41 | 0.001 |
| ANTI-INFLUENZA6 | 14,196 | 77.71 | 13,248 | 76.04 | 8677 | 75.91 | 13,568 | 75.56 | 13,323 | 75.59 | 0.001 |
| ANTI-INFLUENZA7 | 12,011 | 65.75 | 10,897 | 62.55 | 7225 | 63.21 | 10,906 | 60.74 | 10,780 | 61.16 | 0.001 |
| ANTI-YELLOW15 | 10,549 | 57.75 | 10,103 | 57.99 | 6629 | 58.00 | 9955 | 55.44 | 9666 | 54.84 | 0.001 |
| SPR12 | 13,608 | 74.49 | 12,885 | 73.96 | 8364 | 73.18 | 12,702 | 70.74 | 12,430 | 70.52 | 0.001 |
| SPR18 | 9361 | 51.24 | 9326 | 53.53 | 6238 | 54.58 | 9021 | 50.24 | 8915 | 50.58 | 0.001 |
| Year of Evaluation | ||||||||||||
|---|---|---|---|---|---|---|---|---|---|---|---|---|
| Adherence | 2018 | 2019 | 2020 | 2021 | 2022 | X2 p | ||||||
| Protective Vaccine | N° | % | N° | % | N° | % | N° | % | N° | % | ||
| ANTI-ROTAVIRUS4 | YES | 11,686 | 88.0 | 11,435 | 87.5 | 7009 | 85.2 | 10,768 | 82.7 | 10,569 | 81.9 | 0.000001 |
| NOT | 1594 | 12.0 | 1634 | 12.5 | 1214 | 14.8 | 2253 | 17.3 | 2341 | 18.1 | ||
| TOTAL | 13,280 | 13,069 | 8223 | 13,021 | 12,910 | |||||||
| ANTI-POLIO6 | YES | 9804 | 67.0 | 10,181 | 72.3 | 6551 | 73.3 | 9677 | 68.3 | 9315 | 67.8 | 0.00001 |
| NOT | 4822 | 33.0 | 3898 | 27.7 | 2391 | 26.7 | 4497 | 31.7 | 4428 | 32.2 | ||
| TOTAL | 14,626 | 14,079 | 8942 | 14,174 | 13,743 | |||||||
| PENTAVALENT6 | YES | 9977 | 76.1 | 9840 | 77.2 | 6106 | 76.4 | 9110 | 71.0 | 9022 | 70.9 | 0.000001 |
| NOT | 3136 | 23.9 | 2899 | 22.8 | 1890 | 23.6 | 3723 | 29.0 | 3708 | 29.1 | ||
| TOTAL | 13,113 | 12,739 | 7996 | 12,833 | 12,730 | |||||||
| ANTI-NEUMOCOCUS12 | YES | 8344 | 74.8 | 7998 | 75.2 | 5174 | 73.6 | 7732 | 71.4 | 7631 | 71.4 | 0.00002 |
| NOT | 2818 | 25.2 | 2638 | 24.8 | 1852 | 26.4 | 3099 | 28.6 | 3056 | 28.6 | ||
| TOTAL | 11,162 | 10,363 | 7026 | 10,831 | 10,687 | |||||||
| ANTI-YELLOW15 | YES | 4631 | 51.5 | 4433 | 50.6 | 2854 | 50.20 | 4125 | 48.00 | 3790 | 45.40 | 0.0002 |
| NOT | 4365 | 48.5 | 4321 | 49.4 | 2836 | 49.80 | 4474 | 52.00 | 4563 | 54.60 | ||
| TOTAL | 8996 | 8754 | 5690 | 8599 | 8353 | |||||||
| SPR18 | YES | 4541 | 56.9 | 4589 | 56.9 | 3128 | 57.00 | 4318 | 53.60 | 4349 | 54.60 | 0.00002 |
| NOT | 3435 | 43.1 | 3476 | 43.1 | 2357 | 43.00 | 3738 | 46.40 | 3614 | 45.40 | ||
| TOTAL | 7976 | 8065 | 5485 | 8056 | 7963 | |||||||
| FULL ANTI-ROTAVIRUS | YES | 11,507 | 86.7 | 11,264 | 86.2 | 6850 | 83.3 | 10,593 | 81.3 | 10,357 | 80.2 | 0.000001 |
| NOT | 1773 | 13.3 | 1805 | 13.8 | 1373 | 16.7 | 2428 | 18.7 | 2553 | 19.8 | ||
| TOTAL | 13,280 | 13,069 | 8223 | 13,021 | 12,910 | |||||||
| FULL ANTI-POLIO | YES | 9060 | 61.9 | 9613 | 68.3 | 6202 | 69.4 | 9114 | 64.4 | 8726 | 63.5 | 0.00001 |
| NOT | 5566 | 38.1 | 4466 | 31.7 | 2740 | 30.6 | 5040 | 35.6 | 5017 | 36.5 | ||
| TOTAL | 14,626 | 14,079 | 8942 | 14,154 | 13,743 | |||||||
| FULL PENTAVALENT | YES | 9595 | 73.2 | 9502 | 74.6 | 5889 | 73.6 | 8741 | 68.1 | 8640 | 67.9 | 0.00001 |
| NOT | 3518 | 26.8 | 3237 | 25.4 | 2107 | 26.4 | 4092 | 31.9 | 4090 | 32.1 | ||
| TOTAL | 13,113 | 12,739 | 7996 | 12,833 | 12,730 | |||||||
| FULL ANTI-NEUMOCOCCUS | YES | 7223 | 64.7 | 7048 | 68.0 | 4617 | 65.7 | 6423 | 59.3 | 6306 | 59.0 | 0.00001 |
| NOT | 3939 | 35.3 | 3315 | 32.0 | 2409 | 34.3 | 4408 | 40.7 | 4381 | 41.0 | ||
| TOTAL | 11,162 | 10,363 | 7026 | 10,831 | 10,687 | |||||||
Disclaimer/Publisher’s Note: The statements, opinions and data contained in all publications are solely those of the individual author(s) and contributor(s) and not of MDPI and/or the editor(s). MDPI and/or the editor(s) disclaim responsibility for any injury to people or property resulting from any ideas, methods, instructions or products referred to in the content. |
© 2025 by the authors. Licensee MDPI, Basel, Switzerland. This article is an open access article distributed under the terms and conditions of the Creative Commons Attribution (CC BY) license (https://creativecommons.org/licenses/by/4.0/).
Share and Cite
Miranda-Soberón, U.; Pino-Arana, I.; Pastor-Ramírez, N.; Figueroa-Cabezudo, E.; Zevallos-Parra, C.; Valencia-Borja, G. Vaccination Coverage and Adherence to Scheduling in Children Aged 0 to 18 Months: Effects of COVID-19 and Age. Vaccines 2025, 13, 387. https://doi.org/10.3390/vaccines13040387
Miranda-Soberón U, Pino-Arana I, Pastor-Ramírez N, Figueroa-Cabezudo E, Zevallos-Parra C, Valencia-Borja G. Vaccination Coverage and Adherence to Scheduling in Children Aged 0 to 18 Months: Effects of COVID-19 and Age. Vaccines. 2025; 13(4):387. https://doi.org/10.3390/vaccines13040387
Chicago/Turabian StyleMiranda-Soberón, Ubaldo, Isabel Pino-Arana, Norma Pastor-Ramírez, Elena Figueroa-Cabezudo, Cyntia Zevallos-Parra, and Gabriela Valencia-Borja. 2025. "Vaccination Coverage and Adherence to Scheduling in Children Aged 0 to 18 Months: Effects of COVID-19 and Age" Vaccines 13, no. 4: 387. https://doi.org/10.3390/vaccines13040387
APA StyleMiranda-Soberón, U., Pino-Arana, I., Pastor-Ramírez, N., Figueroa-Cabezudo, E., Zevallos-Parra, C., & Valencia-Borja, G. (2025). Vaccination Coverage and Adherence to Scheduling in Children Aged 0 to 18 Months: Effects of COVID-19 and Age. Vaccines, 13(4), 387. https://doi.org/10.3390/vaccines13040387

