SARS-CoV-2 Humoral and Cellular Immune Responses in People Living with HIV
Abstract
1. Introduction
2. Materials and Methods
2.1. Patients and Samples
2.2. Detection of SARS-CoV-2 Humoral Immune Response
2.2.1. SARS-CoV-2 Anti-Spike (S) IgG and IgA, and Anti-Nucleocapsid (NCP) IgG Immunoassays
2.2.2. Surrogate SARS-CoV-2 Virus Neutralization Test
2.3. Detection of Cellular Immune Response
2.3.1. ELISpot Test
2.3.2. Flow Cytometry Analysis
2.4. Statistical Analysis
3. Results
3.1. General Characteristics of the Enrolled Subjects
3.2. SARS-CoV-2 Seroprevalence
3.3. Antibody Response According to SARS-CoV-2 Vaccination/Infection Status
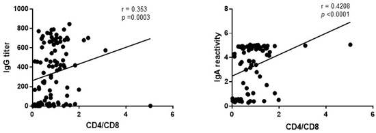
3.4. SARS-CoV-2 Humoral Immunity in Severe Immunosuppressed PLWH
3.5. SARS-CoV-2 Cellular Immunity
4. Discussion
5. Conclusions
Author Contributions
Funding
Institutional Review Board Statement
Informed Consent Statement
Data Availability Statement
Conflicts of Interest
References
- Dubey, A.; Choudhary, S.; Kumar, P.; Tomar, S. Emerging SARS-CoV-2 Variants: Genetic Variability and Clinical Implications. Curr. Microbiol. 2021, 79, 20. [Google Scholar] [CrossRef] [PubMed]
- Bertagnolio, S.; Thwin, S.S.; Silva, R.; Nagarajan, S.; Jassat, W.; Fowler, R.; Haniffa, R.; Reveiz, L.; Ford, N.; Doherty, M.; et al. Clinical features of, and risk factors for, severe or fatal COVID-19 among people living with HIV admitted to hospital: Analysis of data from the WHO Global Clinical Platform of COVID-19. Lancet HIV 2022, 9, e486–e495. [Google Scholar] [CrossRef] [PubMed]
- European AIDS. Clinical Society EACS Guidelines, Version 12.0, Oct 2023 PART IV; European AIDS: Brussels, Belgium, 2023; p. 151. Available online: https://www.eacsociety.org/media/guidelines-12.0.pdf (accessed on 2 March 2024).
- World Health Organization. SAGE Updates COVID-19 Vaccination Guidance. Available online: https://www.who.int/groups/strategic-advisory-group-of-experts-on-immunization/covid-19-materials (accessed on 22 February 2024).
- Miller, K.W.; Gandhi, R.T. The severity of COVID-19 across the spectrum of HIV. Curr. Opin. HIV AIDS 2023, 18, 119–125. [Google Scholar] [CrossRef] [PubMed]
- Höft, M.A.; Burgers, W.A.; Riou, C. The immune response to SARS-CoV-2 in people with HIV. Cell. Mol. Immunol. 2024, 21, 184–196. [Google Scholar] [CrossRef] [PubMed]
- Yang, X.; Sun, J.; Patel, R.C.; Zhang, J.; Guo, S.; Zheng, Q.; Olex, A.L.; Olatosi, B.; Weissman, S.B.; Islam, J.; et al. Associations between HIV infection and clinical spectrum of COVID-19: A population level analysis based on US National COVID Cohort Collaborative (N3C) data. Lancet HIV 2021, 8, e690–e700. [Google Scholar] [CrossRef] [PubMed]
- Yang, X.; Zhang, J.; Liu, Z.; Chen, S.; Olatosi, B.; Poland, G.A.; Weissman, S.; Li, X. COVID-19 breakthrough infections among people living with and without HIV: A statewide cohort analysis. Int. J. Infect. Dis. 2024, 139, 21–27. [Google Scholar] [CrossRef] [PubMed]
- Cele, S.; Karim, F.; Lustig, G.; San, J.E.; Hermanus, T.; Tegally, H.; Snyman, J.; Moyo-Gwete, T.; Wilkinson, E.; Bernstein, M.; et al. SARS-CoV-2 prolonged infection during advanced HIV disease evolves extensive immune escape. Cell Host Microbe 2022, 30, 154–162.e155. [Google Scholar] [CrossRef] [PubMed]
- Qu, M.-M.; Song, B.; Yang, B.-P.; Wang, Z.; Yu, M.; Zhang, Y.; Zhang, C.; Song, J.-W.; Fan, X.; Xu, R.; et al. Effect of SARS-CoV-2 Breakthrough Infection on HIV Reservoirs and T-Cell Immune Recovery in 3-Dose Vaccinated People Living with HIV. Viruses 2023, 15, 2427. [Google Scholar] [CrossRef]
- Donadeu, L.; Tiraboschi, J.M.; Scévola, S.; Torija, A.; Meneghini, M.; Jouve, T.; Favà, A.; Calatayud, L.; Ardanuy, C.; Cidraque, I.; et al. Long-lasting adaptive immune memory specific to SARS-CoV-2 in convalescent coronavirus disease 2019 stable people with HIV. AIDS 2022, 36, 1373–1382. [Google Scholar] [CrossRef]
- Frater, J.; Ewer, K.J.; Ogbe, A.; Pace, M.; Adele, S.; Adland, E.; Alagaratnam, J.; Aley, P.K.; Ali, M.; Ansari, M.A.; et al. Safety and immunogenicity of the ChAdOx1 nCoV-19 (AZD1222) vaccine against SARS-CoV-2 in HIV infection: A single-arm substudy of a phase 2/3 clinical trial. Lancet HIV 2021, 8, e474–e485. [Google Scholar] [CrossRef]
- Oyaert, M.; De Scheerder, M.A.; Van Herrewege, S.; Laureys, G.; Van Assche, S.; Cambron, M.; Naesens, L.; Hoste, L.; Claes, K.; Haerynck, F.; et al. Evaluation of Humoral and Cellular Responses in SARS-CoV-2 mRNA Vaccinated Immunocompromised Patients. Front. Immunol. 2022, 13, 858399. [Google Scholar] [CrossRef]
- Oyaert, M.; De Scheerder, M.-A.; Van Herrewege, S.; Laureys, G.; Van Assche, S.; Cambron, M.; Naesens, L.; Hoste, L.; Claes, K.; Haerynck, F.; et al. Longevity of the humoral and cellular responses after SARS-CoV-2 booster vaccinations in immunocompromised patients. Eur. J. Clin. Microbiol. Infect. Dis. 2024, 43, 177–185. [Google Scholar] [CrossRef] [PubMed]
- Woldemeskel, B.A.; Karaba, A.H.; Garliss, C.C.; Beck, E.J.; Aytenfisu, T.Y.; Johnston, T.S.; Laeyendecker, O.; Cox, A.L.; Blankson, J.N. Decay of coronavirus disease 2019 mRNA vaccine-induced immunity in people with HIV. AIDS 2022, 36, 1315–1317. [Google Scholar] [CrossRef]
- Schmidt, K.G.; Harrer, E.G.; Tascilar, K.; Kübel, S.; El Kenz, B.; Hartmann, F.; Simon, D.; Schett, G.; Nganou-Makamdop, K.; Harrer, T. Characterization of Serum and Mucosal SARS-CoV-2-Antibodies in HIV-1-Infected Subjects after BNT162b2 mRNA Vaccination or SARS-CoV-2 Infection. Viruses 2022, 14, 651. [Google Scholar] [CrossRef] [PubMed]
- Touizer, E.; Alrubayyi, A.; Ford, R.; Hussain, N.; Gerber, P.P.; Shum, H.L.; Rees-Spear, C.; Muir, L.; Gea-Mallorquí, E.; Kopycinski, J.; et al. Attenuated humoral responses in HIV after SARS-CoV-2 vaccination linked to B cell defects and altered immune profiles. iScience 2023, 26, 105862. [Google Scholar] [CrossRef]
- Hensley, K.S.; Jongkees, M.J.; Geers, D.; GeurtsvanKessel, C.H.; Mueller, Y.M.; Dalm, V.; Papageorgiou, G.; Steggink, H.; Gorska, A.; Bogers, S.; et al. Immunogenicity and reactogenicity of SARS-CoV-2 vaccines in people living with HIV in the Netherlands: A nationwide prospective cohort study. PLoS Med. 2022, 19, e1003979. [Google Scholar] [CrossRef] [PubMed]
- Vergori, A.; Tavelli, A.; Matusali, G.; Azzini, A.M.; Augello, M.; Mazzotta, V.; Pellicanò, G.F.; Costantini, A.; Cascio, A.; De Vito, A.; et al. SARS-CoV-2 mRNA Vaccine Response in People Living with HIV According to CD4 Count and CD4/CD8 Ratio. Vaccines 2023, 11, 1664. [Google Scholar] [CrossRef] [PubMed]
- Sun, J.; Zheng, Q.; Madhira, V.; Olex, A.L.; Anzalone, A.J.; Vinson, A.; Singh, J.A.; French, E.; Abraham, A.G.; Mathew, J.; et al. Association between Immune Dysfunction and COVID-19 Breakthrough Infection after SARS-CoV-2 Vaccination in the US. JAMA Intern. Med. 2022, 182, 153–162. [Google Scholar] [CrossRef]
- Infantino, M.; Pieri, M.; Nuccetelli, M.; Grossi, V.; Lari, B.; Tomassetti, F.; Calugi, G.; Pancani, S.; Benucci, M.; Casprini, P.; et al. The WHO International Standard for COVID-19 serological tests: Towards harmonization of anti-spike assays. Int. Immunopharmacol. 2021, 100, 108095. [Google Scholar] [CrossRef]
- Meyer, B.; Reimerink, J.; Torriani, G.; Brouwer, F.; Godeke, G.J.; Yerly, S.; Hoogerwerf, M.; Vuilleumier, N.; Kaiser, L.; Eckerle, I.; et al. Validation and clinical evaluation of a SARS-CoV-2 surrogate virus neutralisation test (sVNT). Emerg. Microbes Infect. 2020, 9, 2394–2403. [Google Scholar] [CrossRef]
- Nault, L.; Marchitto, L.; Goyette, G.; Tremblay-Sher, D.; Fortin, C.; Martel-Laferrière, V.; Trottier, B.; Richard, J.; Durand, M.; Kaufmann, D.; et al. COVID-19 vaccine immunogenicity in people living with HIV-1. Vaccine 2022, 40, 3633–3637. [Google Scholar] [CrossRef] [PubMed]
- Antinori, A.; Cicalini, S.; Meschi, S.; Bordoni, V.; Lorenzini, P.; Vergori, A.; Lanini, S.; De Pascale, L.; Matusali, G.; Mariotti, D.; et al. Humoral and Cellular Immune Response Elicited by mRNA Vaccination against Severe Acute Respiratory Syndrome Coronavirus 2 (SARS-CoV-2) in People Living with Human Immunodeficiency Virus Receiving Antiretroviral Therapy Based on Current CD4 T-Lymphocyte Count. Clin. Infect. Dis. Off. Publ. Infect. Dis. Soc. Am. 2022, 75, e552–e563. [Google Scholar] [CrossRef] [PubMed]
- Corma-Gómez, A.; Fernández-Fuertes, M.; García, E.; Fuentes-López, A.; Gómez-Ayerbe, C.; Rivero-Juárez, A.; Domínguez, C.; Santos, M.; Viñuela, L.; Palacios, R.; et al. Severe immunosuppression is related to poorer immunogenicity to SARS-CoV-2 vaccines among people living with HIV. Clin. Microbiol. Infect. Off. Publ. Eur. Soc. Clin. Microbiol. Infect. Dis. 2022, 28, 1492–1498. [Google Scholar] [CrossRef] [PubMed]
- Benet, S.; Blanch-Lombarte, O.; Ainsua-Enrich, E.; Pedreño-Lopez, N.; Muñoz-Basagoiti, J.; Raïch-Regué, D.; Perez-Zsolt, D.; Peña, R.; Jiménez, E.; de la Concepción, M.L.R.; et al. Limited Humoral and Specific T-Cell Responses after SARS-CoV-2 Vaccination in PWH with Poor Immune Reconstitution. J. Infect. Dis. 2022, 226, 1913–1923. [Google Scholar] [CrossRef] [PubMed]
- Heftdal, L.D.; Pérez-Alós, L.; Hasselbalch, R.B.; Hansen, C.B.; Hamm, S.R.; Møller, D.L.; Pries-Heje, M.; Fogh, K.; Gerstoft, J.; Grønbæk, K.; et al. Humoral and cellular immune responses eleven months after the third dose of BNT162b2 an mRNA-based COVID-19 vaccine in people with HIV—A prospective observational cohort study. EBioMedicine 2023, 93. [Google Scholar] [CrossRef] [PubMed]
- Corma-Gómez, A.; Fernández-Fuertes, M.; Viñuela, L.; Domínguez, C.; Santos, M.; Fuentes-López, A.; Rojas, A.; Fernández-Pérez, N.; Martín-Carmona, J.; Serrano-Conde, E.; et al. Reduced neutralizing antibody response to SARS-CoV-2 vaccine booster dose in people living with HIV with severe immunosuppression. J. Med. Virol. 2023, 95, e28602. [Google Scholar] [CrossRef] [PubMed]
- Vergori, A.; Cozzi-Lepri, A.; Matusali, G.; Colavita, F.; Cicalini, S.; Gallì, P.; Garbuglia, A.R.; Fusto, M.; Puro, V.; Maggi, F.; et al. SARS-CoV-2 Omicron Variant Neutralization after Third Dose Vaccination in PLWH. Viruses 2022, 14, 1710. [Google Scholar] [CrossRef] [PubMed]
- Khan, K.; Karim, F.; Ganga, Y.; Bernstein, M.; Jule, Z.; Reedoy, K.; Cele, S.; Lustig, G.; Amoako, D.; Wolter, N.; et al. Omicron BA.4/BA.5 escape neutralizing immunity elicited by BA.1 infection. Nat. Commun. 2022, 13, 4686. [Google Scholar] [CrossRef] [PubMed]
- Shoham, S.; Batista, C.; Ben Amor, Y.; Ergonul, O.; Hassanain, M.; Hotez, P.; Kang, G.; Kim, J.H.; Lall, B.; Larson, H.J.; et al. Vaccines and therapeutics for immunocompromised patients with COVID-19. EClinicalMedicine 2023, 59, 101965. [Google Scholar] [CrossRef]
- Bergman, P.; Blennow, O.; Hansson, L.; Mielke, S.; Nowak, P.; Chen, P.; Söderdahl, G.; Österborg, A.; Smith, C.I.E.; Wullimann, D.; et al. Safety and efficacy of the mRNA BNT162b2 vaccine against SARS-CoV-2 in five groups of immunocompromised patients and healthy controls in a prospective open-label clinical trial. EBioMedicine 2021, 74, 103705. [Google Scholar] [CrossRef]
- Rabinowich, L.; Grupper, A.; Baruch, R.; Ben-Yehoyada, M.; Halperin, T.; Turner, D.; Katchman, E.; Levi, S.; Houri, I.; Lubezky, N.; et al. Low immunogenicity to SARS-CoV-2 vaccination among liver transplant recipients. J. Hepatol. 2021, 75, 435–438. [Google Scholar] [CrossRef]
- Pourcher, V.; Belin, L.; Soulie, C.; Rosenzwajg, M.; Marot, S.; Lacombe, K.; Valin, N.; Pialoux, G.; Calin, R.; Palacios, C.; et al. High seroconversion rate and SARS-CoV-2 Delta neutralization in people with HIV vaccinated with BNT162b2. AIDS 2022, 36, 1545–1552. [Google Scholar] [CrossRef]
- Fernandes, M.d.C.R.; Vasconcelos, G.S.; de Melo, A.C.L.; Matsui, T.C.; Caetano, L.F.; de Carvalho Araújo, F.M.; Fonseca, M.H.G. Influence of age, gender, previous SARS-CoV-2 infection, and pre-existing diseases in antibody response after COVID-19 vaccination: A review. Mol. Immunol. 2023, 156, 148–155. [Google Scholar] [CrossRef] [PubMed]
- Augello, M.; Bono, V.; Rovito, R.; Tincati, C.; d’Arminio Monforte, A.; Marchetti, G. Six-month immune responses to mRNA-1273 vaccine in combination antiretroviral therapy treated late presenter people with HIV according to previous SARS-CoV-2 infection. AIDS 2023, 37, 1503–1517. [Google Scholar] [CrossRef] [PubMed]
- Fidler, S.; Fox, J.; Tipoe, T.; Longet, S.; Tipton, T.; Abeywickrema, M.; Adele, S.; Alagaratnam, J.; Ali, M.; Aley, P.K.; et al. Booster Vaccination against SARS-CoV-2 Induces Potent Immune Responses in People with Human Immunodeficiency Virus. Clin. Infect. Dis. 2022, 76, 201–209. [Google Scholar] [CrossRef]
- Guo, L.; Zhang, Q.; Gu, X.; Ren, L.; Huang, T.; Li, Y.; Zhang, H.; Liu, Y.; Zhong, J.; Wang, X.; et al. Durability and cross-reactive immune memory to SARS-CoV-2 in individuals 2 years after recovery from COVID-19: A longitudinal cohort study. Lancet Microbe 2024, 5, e24–e33. [Google Scholar] [CrossRef]
- Ogbe, A.; Pace, M.; Bittaye, M.; Tipoe, T.; Adele, S.; Alagaratnam, J.; Aley, P.K.; Ansari, M.A.; Bara, A.; Broadhead, S.; et al. Durability of ChAdOx1 nCoV-19 vaccination in people living with HIV. JCI Insight 2022, 7, e157031. [Google Scholar] [CrossRef]
- Chivu-Economescu, M.; Bleotu, C.; Grancea, C.; Chiriac, D.; Botezatu, A.; Iancu, I.V.; Pitica, I.; Necula, L.G.; Neagu, A.; Matei, L.; et al. Kinetics and persistence of cellular and humoral immune responses to SARS-CoV-2 vaccine in healthcare workers with or without prior COVID-19. J. Cell. Mol. Med. 2022, 26, 1293–1305. [Google Scholar] [CrossRef] [PubMed]
- Ekström, N.; Leino, T.M.; Juutinen, A.; Lehtonen, T.; Haveri, A.; Liedes, O.; Vara, S.; Salo, H.; Palmu, A.A.; Nohynek, H.; et al. Hybrid Immunity Improves the Immune Response after the Fourth COVID-19 Vaccine Dose in Individuals with Medical Conditions Predisposing to Severe COVID-19. Vaccines 2024, 12, 247. [Google Scholar] [CrossRef]
- Lapointe, H.R.; Mwimanzi, F.; Cheung, P.K.; Sang, Y.; Yaseen, F.; Speckmaier, S.; Barad, E.; Moran-Garcia, N.; Datwani, S.; Duncan, M.C.; et al. Antibody response durability following three-dose coronavirus disease 2019 vaccination in people with HIV receiving suppressive antiretroviral therapy. AIDS 2023, 37, 709–721. [Google Scholar] [CrossRef]
- Chen, Y.; Zhao, T.; Chen, L.; Jiang, G.; Geng, Y.; Li, W.; Yin, S.; Tong, X.; Tao, Y.; Ni, J.; et al. SARS-CoV-2 Omicron infection augments the magnitude and durability of systemic and mucosal immunity in triple-dose CoronaVac recipients. mBio 2024, 15, e0240723. [Google Scholar] [CrossRef]
- Koutsakos, M.; Reynaldi, A.; Lee, W.S.; Nguyen, J.; Amarasena, T.; Taiaroa, G.; Kinsella, P.; Liew, K.C.; Tran, T.; Kent, H.E.; et al. SARS-CoV-2 breakthrough infection induces rapid memory and de novo T cell responses. Immunity 2023, 56, 879–892.e874. [Google Scholar] [CrossRef] [PubMed]
- Sterlin, D.; Mathian, A.; Miyara, M.; Mohr, A.; Anna, F.; Claër, L.; Quentric, P.; Fadlallah, J.; Devilliers, H.; Ghillani, P.; et al. IgA dominates the early neutralizing antibody response to SARS-CoV-2. Sci. Transl. Med. 2021, 13. [Google Scholar] [CrossRef] [PubMed]
- Denis, J.; Garnier, A.; Cheutin, L.; Ferrier, A.; Timera, H.; Jarjaval, F.; Hejl, C.; Billon-Denis, E.; Percy ImmunoCovid Group; Ricard, D.; et al. Long-term systemic and mucosal SARS-CoV-2 IgA response and its association with persistent smell and taste disorders. Front. Immunol. 2023, 14, 1140714. [Google Scholar] [CrossRef]
- Sano, K.; Bhavsar, D.; Singh, G.; Floda, D.; Srivastava, K.; Gleason, C.; Amoako, A.A.; Andre, D.; Beach, K.F.; Bermúdez-González, M.C.; et al. SARS-CoV-2 vaccination induces mucosal antibody responses in previously infected individuals. Nat. Commun. 2022, 13, 5135. [Google Scholar] [CrossRef]
- Meyer-Arndt, L.; Schwarz, T.; Loyal, L.; Henze, L.; Kruse, B.; Dingeldey, M.; Gürcan, K.; Uyar-Aydin, Z.; Müller, M.A.; Drosten, C.; et al. Cutting Edge: Serum but Not Mucosal Antibody Responses Are Associated with Pre-Existing SARS-CoV-2 Spike Cross-Reactive CD4(+) T Cells following BNT162b2 Vaccination in the Elderly. J. Immunol. 2022, 208, 1001–1005. [Google Scholar] [CrossRef]
- Sheikh-Mohamed, S.; Isho, B.; Chao, G.Y.C.; Zuo, M.; Cohen, C.; Lustig, Y.; Nahass, G.R.; Salomon-Shulman, R.E.; Blacker, G.; Fazel-Zarandi, M.; et al. Systemic and mucosal IgA responses are variably induced in response to SARS-CoV-2 mRNA vaccination and are associated with protection against subsequent infection. Mucosal Immunol. 2022, 15, 799–808. [Google Scholar] [CrossRef]
- Ray, S.; Narayanan, A.; Vesterbacka, J.; Blennow, O.; Chen, P.; Gao, Y.; Gabarrini, G.; Ljunggren, H.-G.; Buggert, M.; Manoharan, L.; et al. Impact of the gut microbiome on immunological responses to COVID-19 vaccination in healthy controls and people living with HIV. NPJ Biofilms Microbiomes 2023, 9, 104. [Google Scholar] [CrossRef] [PubMed]
- Ghorbani, M.; Al-Manei, K.; Naud, S.; Healy, K.; Gabarrini, G.; Sobkowiak, M.J.; Chen, P.; Ray, S.; Akber, M.; Muschiol, S.; et al. Persistence of salivary antibody responses after COVID-19 vaccination is associated with oral microbiome variation in both healthy and people living with HIV. Front. Immunol. 2022, 13, 1079995. [Google Scholar] [CrossRef]
- Nantel, S.; Sheikh-Mohamed, S.; Chao, G.Y.C.; Kurtesi, A.; Hu, Q.; Wood, H.; Colwill, K.; Li, Z.; Liu, Y.; Seifried, L.; et al. Comparison of Omicron breakthrough infection versus monovalent SARS-CoV-2 intramuscular booster reveals differences in mucosal and systemic humoral immunity. Mucosal Immunol. 2024, 17, 201–210. [Google Scholar] [CrossRef]
- Mao, T.; Israelow, B.; Peña-Hernández, M.A.; Suberi, A.; Zhou, L.; Luyten, S.; Reschke, M.; Dong, H.; Homer, R.J.; Saltzman, W.M.; et al. Unadjuvanted intranasal spike vaccine elicits protective mucosal immunity against sarbecoviruses. Science 2022, 378, eabo2523. [Google Scholar] [CrossRef] [PubMed]
- Yahalom-Ronen, Y.; Melamed, S.; Politi, B.; Erez, N.; Tamir, H.; Bar-On, L.; Ryvkin, J.; Leshkowitz, D.; Israeli, O.; Weiss, S.; et al. Induction of Superior Systemic and Mucosal Protective Immunity to SARS-CoV-2 by Nasal Administration of a VSV-ΔG-Spike Vaccine. Vaccines 2024, 12, 491. [Google Scholar] [CrossRef] [PubMed]
- Yin, J.; Chen, Y.; Li, Y.; Wang, C.; Zhang, X. Immunogenicity and efficacy of COVID-19 vaccines in people living with HIV: A systematic review and meta-analysis. Int. J. Infect. Dis. 2022, 124, 212–223. [Google Scholar] [CrossRef] [PubMed]
- Zhou, Q.; Zeng, F.; Meng, Y.; Liu, Y.; Liu, H.; Deng, G. Serological response following COVID-19 vaccines in patients living with HIV: A dose-response meta-analysis. Sci. Rep. 2023, 13, 9893. [Google Scholar] [CrossRef] [PubMed]
- INSP. Raportare Vaccinari Impotriva COVID-19 Si RAPI Luna Noiembrie 6–30 November 2023 [in Romanian]. Available online: https://insp.gov.ro/wpfb-file/raportare-vaccinari-impotriva-covid-19-si-rapi_luna-noiembrie-06-30-11-2023-pdf/ (accessed on 3 March 2024).
- Vergori, A.; Cozzi Lepri, A.; Cicalini, S.; Matusali, G.; Bordoni, V.; Lanini, S.; Meschi, S.; Iannazzo, R.; Mazzotta, V.; Colavita, F.; et al. Immunogenicity to COVID-19 mRNA vaccine third dose in people living with HIV. Nat. Commun. 2022, 13, 4922. [Google Scholar] [CrossRef] [PubMed]
- Lin, J.; Law, R.; Korosec, C.S.; Zhou, C.; Koh, W.H.; Ghaemi, M.S.; Samaan, P.; Ooi, H.K.; Matveev, V.; Yue, F.; et al. Longitudinal Assessment of SARS-CoV-2-Specific T Cell Cytokine-Producing Responses for 1 Year Reveals Persistence of Multicytokine Proliferative Responses, with Greater Immunity Associated with Disease Severity. J. Virol. 2022, 96, e00509–e00522. [Google Scholar] [CrossRef]
- Nkosi, T.; Chasara, C.; Papadopoulos, A.O.; Nguni, T.L.; Karim, F.; Moosa, M.-Y.S.; Gazy, I.; Jambo, K.; Team, C.K.; Hanekom, W.; et al. Unsuppressed HIV infection impairs T cell responses to SARS-CoV-2 infection and abrogates T cell cross-recognition. eLife 2022, 11, e78374. [Google Scholar] [CrossRef]




| Patients’ Immunological Status | CD4 Count > 500 n = 62 | CD4 Count 200–500 n = 29 | CD4 Count < 200 n = 13 | p |
|---|---|---|---|---|
| Male, n (%) | 41 (66.1%) | 20 (68.9%) | 9 (69.2%) | 0.9009 |
| Age (years) mean ± SD | 38.3 ± 9.7 | 38.8 ± 12.3 | 38.3 ± 4.6 | 0.9736 |
| AIDS C3 (%) | 27.4 | 34.5 | 35 | 0.7107 |
| HIV infection duration (months), median [IQR] | 132 [56–240] | 78.5 [23.5–144] | 72.5 [1–122] | 0.0376 |
| Age at HIV diagnosis (years), median [IQR] | 27 [14–35] | 26 [21–36] | 33.5 [24–37.5] | 0.5185 |
| cART treatment duration (month), mean ± SD | 108 [60–228] | 72 [36–204] | 60 [2–120] | 0.1343 |
| CD4 nadir (cells/mm3), mean ± SD | 328.9 ± 267.4 | 175.2 ± 120.5 | 86.8 ± 71.9 | 0.0003 |
| CD4/CD8 ratio, mean ± SD | 1.16 ± 0.7 | 0.63 ± 0.3 | 0.13 ± 0.08 | <0.0001 |
| HIV viral load (log10 HIV RNA copies/mL), mean ± SD | 4.23 ± 3.9 | 5.1 ± 4.5 | 5.38 ± 4.6 | 0.005 |
| Zenith HIV viral load (log10 copies/mL), mean ± SD | 5.65 ± 4.8 | 5.72 ± 4.9 | 6.1 ± 5.7 | 0.1023 |
| Undetectable HIV RNA, n (%) | 45 (72.6%) | 16 (55.2%) | 2 (15.4%) | 0.0005 |
| HIV RNA > 4 log10 copies/mL, n (%) | 6 (9.7%) | 9 (31.03%) | 8 (61.2%) | <0.0001 |
| Number of cART regimens, mean ± SD | 2.9 ± 2.3 | 2.96 ± 2.6 | 2.3 ± 1.6 | 0.6708 |
| Patients’ Immunological Status | CD4 Count > 500 n = 62 | CD4 Count 200-500; n = 29 | CD4 Count < 200 n = 13 | p |
|---|---|---|---|---|
| Positive for anti-S IgG antibodies, n (%) | 49 (79.1%) | 21 (72.4%) | 3 (23.1%) | 0.0003 |
| Anti-S IgG titer (BAU/mL) mean ± SD | 377.6 ± 276.1 | 354.5 ± 301.1 | 106.8 ± 228.1 | 0.005 |
| Positive for anti-S IgA antibodies n (%) | 56 (90.3%) | 21 (72.4%) | 4 (30.8%) | <0.0001 |
| Anti-S IgA antibodies reactivity, mean ± SD | 3.6 ± 1.7 | 3.2 ± 1.9 | 1.4 ± 1.1 | 0.002 |
| Positive for neutralizing activity (>30%), n (%) | 51 (82.3%) | 23 (79.3%) | 2 (15.4%) | <0.0001 |
| SARS-CoV-2 neutralizing capacity, mean ± SD | 63.8 ± 27.6 | 64.2 ± 30.1 | 45.5 ± 29.7 | 0.041 |
Disclaimer/Publisher’s Note: The statements, opinions and data contained in all publications are solely those of the individual author(s) and contributor(s) and not of MDPI and/or the editor(s). MDPI and/or the editor(s) disclaim responsibility for any injury to people or property resulting from any ideas, methods, instructions or products referred to in the content. |
© 2024 by the authors. Licensee MDPI, Basel, Switzerland. This article is an open access article distributed under the terms and conditions of the Creative Commons Attribution (CC BY) license (https://creativecommons.org/licenses/by/4.0/).
Share and Cite
Ruta, S.; Popescu, C.P.; Matei, L.; Grancea, C.; Paun, A.M.; Oprea, C.; Sultana, C. SARS-CoV-2 Humoral and Cellular Immune Responses in People Living with HIV. Vaccines 2024, 12, 663. https://doi.org/10.3390/vaccines12060663
Ruta S, Popescu CP, Matei L, Grancea C, Paun AM, Oprea C, Sultana C. SARS-CoV-2 Humoral and Cellular Immune Responses in People Living with HIV. Vaccines. 2024; 12(6):663. https://doi.org/10.3390/vaccines12060663
Chicago/Turabian StyleRuta, Simona, Corneliu Petru Popescu, Lilia Matei, Camelia Grancea, Adrian Marius Paun, Cristiana Oprea, and Camelia Sultana. 2024. "SARS-CoV-2 Humoral and Cellular Immune Responses in People Living with HIV" Vaccines 12, no. 6: 663. https://doi.org/10.3390/vaccines12060663
APA StyleRuta, S., Popescu, C. P., Matei, L., Grancea, C., Paun, A. M., Oprea, C., & Sultana, C. (2024). SARS-CoV-2 Humoral and Cellular Immune Responses in People Living with HIV. Vaccines, 12(6), 663. https://doi.org/10.3390/vaccines12060663

