Construction and Mechanism Exploration of Highly Efficient System for Bacterial Ghosts Preparation Based on Engineered Phage ID52 Lysis Protein E
Abstract
1. Introduction
2. Materials and Methods
2.1. Bacterial Strains, Plasmids, and Growth Conditions
2.2. Evolutionary Tree Analysis
2.3. Construction of Plasmids
2.4. Lysis Curve Assay
2.5. Fermenter Assay
2.6. Characterization of the Yield of BGs
2.7. Scanning Electron Microscopy (SEM) and Transmission Electron Microscopy (TEM)
2.8. Construction of SP and SC BGs
2.9. Knockout slyD and dnaJ and Overexpresses mraY
2.10. Statistical Analysis
3. Results
3.1. Evolutionary Tree Analysis of Phage Lysis Protein E
3.2. Construction of Mutant Plasmids and Lysis Curve Assay
3.3. Fermenter Assay
3.4. The Yield of EcN BGs by Fluorescence Microscopy and Flow Cytometry
3.5. Characterization of EcN BGs by SEM and TEM
3.6. Expanded Application of ID52-E-W4A on Production of SP and SC BGs
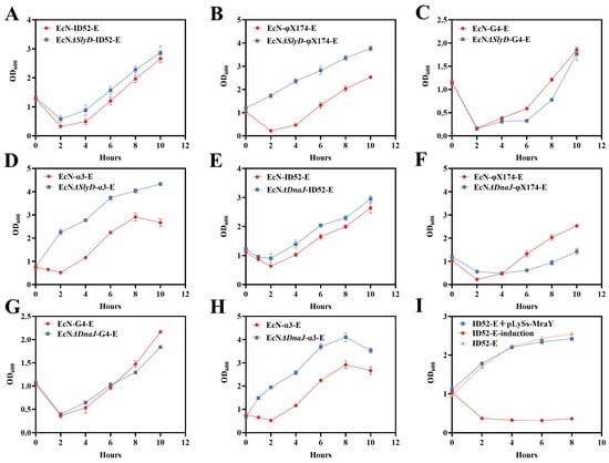
3.7. Exploration of the Mechanism of ID52-E
4. Discussion
5. Conclusions
Supplementary Materials
Author Contributions
Funding
Institutional Review Board Statement
Informed Consent Statement
Data Availability Statement
Conflicts of Interest
References
- Jechlinger, W.; Szostak, M.P.; Witte, A.; Lubitz, W. Altered temperature induction sensitivity of the lambda pR/cI857 system for controlled gene E expression in Escherichia coli. FEMS Microbiol. Lett. 1999, 173, 347–352. [Google Scholar] [CrossRef] [PubMed]
- Huter, V.; Szostak, M.P.; Gampfer, J.; Prethaler, S.; Wanner, G.; Gabor, F.; Lubitz, W. Bacterial ghosts as drug carrier and targeting vehicles. J. Control. Release 1999, 61, 51–63. [Google Scholar] [CrossRef] [PubMed]
- Bahy, R.; Gaber, A.; Zedan, H.; Mabrook, M. New typhoid vaccine using sponge-like reduced protocol: Development and evaluation. Clin. Exp. Vaccine Res. 2023, 12, 70–76. [Google Scholar] [CrossRef] [PubMed]
- Halder, P.; Maiti, S.; Banerjee, S.; Das, S.; Dutta, M.; Dutta, S.; Koley, H. Bacterial ghost cell based bivalent candidate vaccine against Salmonella Typhi and Salmonella Paratyphi A: A prophylactic study in BALB/c mice. Vaccine 2023, 41, 5994–6007. [Google Scholar] [CrossRef] [PubMed]
- Abdelfattah, A.; Samir, R.; Amin, H.M. Production of highly immunogenic and safe Triton X-100 produced bacterial ghost vaccine against Shigella flexneri 2b serotype. Gut Pathog. 2023, 15, 41. [Google Scholar] [CrossRef] [PubMed]
- Saleh, N.; Mahmoud, H.E.; Eltaher, H.; Helmy, M.; El-Khordagui, L.; Hussein, A.A. Prodigiosin-Functionalized Probiotic Ghosts as a Bioinspired Combination against Colorectal Cancer Cells. Probiotics Antimicrob. Proteins 2023, 15, 1271–1286. [Google Scholar] [CrossRef] [PubMed]
- Xie, S.; Li, S.; Zhang, Z.; Chen, M.; Ran, P.; Li, X. Bacterial ghosts for targeting delivery and subsequent responsive release of ciprofloxacin to destruct intracellular bacteria. Chem. Eng. J. 2020, 399, 125700. [Google Scholar] [CrossRef]
- Tayebinia, M.; Sharifzadeh, S.; Rafiei Dehbidi, G.; Zare, F.; Ranjbaran, R.; Rahimi, A.; Miri, M.R.; Mirzakhani, M.; Behzad-Behbahania, A. Expression of the Hepatitis C Virus core-NS3 Fusion Protein on the Surface of Bacterial Ghosts: Prospects for Vaccine Production. Avicenna J. Med. Biotechnol. 2023, 15, 173–179. [Google Scholar] [CrossRef] [PubMed]
- Lee, J.; Lee, K.S.; Lee, J.; Lee, K.S.; Park, S.Y. Weissella koreensis and Pediococcus pentosaceus bacterial ghosts induce inflammatory responses as immunostimulants. Biochem. Biophys. Res. Commun. 2023, 676, 213–219. [Google Scholar] [CrossRef]
- Narayanan, S.; Baburajan, A.P.; Muhammad, M.; Joseph, A.; Vemula, P.K.; Bhat, S.G. Demonstrating the immunostimulatory and cytokine-augmentation effects of bacterial ghosts on natural killer cells and Caenorhabditis Elegans. Biotechnol. Bioeng. 2023, 121, 959–970. [Google Scholar] [CrossRef]
- Bibi, N.; Wajeeha, A.W.; Mukhtar, M.; Tahir, M.; Zaidi, N. In Vivo Validation of Novel Synthetic tbp1 Peptide-Based Vaccine Candidates against Haemophilus influenzae Strains in BALB/c Mice. Vaccines 2023, 11, 1651. [Google Scholar] [CrossRef] [PubMed]
- Szostak, M.P.; Hensel, A.; Eko, F.O.; Klein, R.; Auer, T.; Mader, H.; Haslberger, A.; Bunka, S.; Wanner, G.; Lubitz, W. Bacterial ghosts: Non-living candidate vaccines. J. Biotechnol. 1996, 44, 161–170. [Google Scholar] [CrossRef] [PubMed]
- Amara, A.A.; Salem-Bekhit, M.M.; Alanazi, F.K. Sponge-like: A new protocol for preparing bacterial ghosts. Sci. World J. 2013, 2013, 545741. [Google Scholar] [CrossRef] [PubMed]
- Young, R. Bacteriophage lysis: Mechanism and regulation. Microbiol. Rev. 1992, 56, 430–481. [Google Scholar] [CrossRef] [PubMed]
- Wang, J.; Dou, X.; Song, J.; Lyu, Y.; Zhu, X.; Xu, L.; Li, W.; Shan, A. Antimicrobial peptides: Promising alternatives in the postfeeding antibiotic era. Med. Res. Rev. 2018, 39, 831–859. [Google Scholar] [CrossRef] [PubMed]
- Guo, X.; Liu, J.; Xiao, B. Evaluation of the damage of cell wall and cell membrane for various extracellular polymeric substance extractions of activated sludge. J. Biotechnol. 2014, 188, 130–135. [Google Scholar] [CrossRef] [PubMed]
- Rabea, S.; Salem-Bekhit, M.M.; Alanazi, F.K.; Yassin, A.S.; Moneib, N.A.; Hashem, A.E.M. A novel protocol for bacterial ghosts’ preparation using tween 80. Saudi Pharm. J. 2018, 26, 232–237. [Google Scholar] [CrossRef] [PubMed]
- Witte, A.; Bläsi, U.; Halfmann, G.; Szostak, M.; Wanner, G.; Lubitz, W. Phi X174 protein E-mediated lysis of Escherichia coli. Biochimie 1990, 72, 191–200. [Google Scholar] [CrossRef] [PubMed]
- Bläsi, U.; Linke, R.P.; Lubitz, W. Evidence for membrane-bound oligomerization of bacteriophage phi X174 lysis protein-E. J. Biol. Chem. 1989, 264, 4552–4558. [Google Scholar] [CrossRef]
- Fu, L.X.; Gong, J.S.; Gao, B.; Ji, D.J.; Han, X.G.; Zeng, L.B. Controlled expression of lysis gene E by a mutant of the promoter pL of the thermo-inducible lambda cI857-pL system. J. Appl. Microbiol. 2021, 130, 2008–2017. [Google Scholar] [CrossRef]
- Ma, Y.; Cui, L.; Wang, M.; Sun, Q.; Liu, K.; Wang, J. A Novel and Efficient High-Yield Method for Preparing Bacterial Ghosts. Toxins 2021, 13, 420. [Google Scholar] [CrossRef] [PubMed]
- Dvorak, P.; Chrast, L.; Nikel, P.I.; Fedr, R.; Soucek, K.; Sedlackova, M.; Chaloupkova, R.; de Lorenzo, V.; Prokop, Z.; Damborsky, J. Exacerbation of substrate toxicity by IPTG in Escherichia coli BL21(DE3) carrying a synthetic metabolic pathway. Microb. Cell Fact. 2015, 14, 201. [Google Scholar] [CrossRef]
- Ma, Y.; Zhu, W.; Zhu, G.; Xu, Y.; Li, S.; Chen, R.; Chen, L.; Wang, J. Efficient Robust Yield Method for Preparing Bacterial Ghosts by Escherichia coli Phage ID52 Lysis Protein E. Bioengineering 2022, 9, 300. [Google Scholar] [CrossRef] [PubMed]
- Yu, M.; Hu, S.; Tang, B.; Yang, H.; Sun, D. Engineering Escherichia coli Nissle 1917 as a microbial chassis for therapeutic and industrial applications. Biotechnol. Adv. 2023, 67, 108202. [Google Scholar] [CrossRef]
- Li, Y.; Liu, X.J.; Su, S.L.; Yan, H.; Guo, S.; Qian, D.W.; Duan, J.A. Evaluation of Anti-Inflammatory and Antioxidant Effectsof Chrysanthemum Stem and Leaf Extract on Zebrafish Inflammatory Bowel Disease Model. Molecules 2022, 27, 2114. [Google Scholar] [CrossRef]
- Chen, H.; Lei, P.; Ji, H.; Ma, J.; Fang, Y.; Yu, H.; Du, J.; Qu, L.; Yang, Q.; Luo, L.; et al. Escherichia coli Nissle 1917 ghosts alleviate inflammatory bowel disease in zebrafish. Life Sci. 2023, 329, 121956. [Google Scholar] [CrossRef]
- Zhou, X.; Kang, X.; Zhou, K.; Yue, M. A global dataset for prevalence of Salmonella Gallinarum between 1945 and 2021. Sci. Data 2022, 9, 495. [Google Scholar] [CrossRef]
- Snoeyenbos, G.H.; Smyser, C.F.; Roekel, H.V. Research Note: Salmonella Infections of the Ovary and Peritoneum of Chickens. Avian Dis. 1969, 13, 668. [Google Scholar] [CrossRef] [PubMed]
- Soliani, L.; Rugna, G.; Prosperi, A.; Chiapponi, C.; Luppi, A. Salmonella Infection in Pigs: Disease, Prevalence, and a Link between Swine and Human Health. Pathogens 2023, 12, 1267. [Google Scholar] [CrossRef]
- Cui, K.; Li, P.; Huang, J.; Lin, F.; Li, R.; Cao, D.; Hao, G.; Sun, S. Salmonella Phage CKT1 Effectively Controls the Vertical Transmission of Salmonella Pullorum in Adult Broiler Breeders. Biology 2023, 12, 312. [Google Scholar] [CrossRef]
- Silva, E.N.; Snoeyenbos, G.H.; Weinack, O.M.; Smyser, C.F. Studies on the Use of 9R Strain of Salmonella gallinarum as a Vaccine in Chickens. Avian Dis. 1981, 25, 38–52. [Google Scholar] [CrossRef]
- Woodward, M.J.; Gettinby, G.; Breslin, M.F.; Corkish, J.D.; Houghton, S. The efficacy of Salenvac, a Salmonella enterica subsp. Enterica serotype Enteritidis iron-restricted bacterin vaccine, in laying chickens. Avian Pathol. 2002, 31, 383–392. [Google Scholar] [CrossRef]
- Unger, T.; Jacobovitch, Y.; Dantes, A.; Bernheim, R.; Peleg, Y. Applications of the Restriction Free (RF) cloning procedure for molecular manipulations and protein expression. J. Struct. Biol. 2010, 172, 34–44. [Google Scholar] [CrossRef]
- Haidinger, W.; Szostak, M.P.; Jechlinger, W.; Lubitz, W. Online monitoring of Escherichia coli ghost production. Appl. Environ. Microbiol. 2003, 69, 468–474. [Google Scholar] [CrossRef]
- Bernhardt, T.G.; Roof, W.D.; Young, R. The Escherichia coli FKBP-type PPIase SlyD is required for the stabilization of the E lysis protein of bacteriophage phi X174. Mol. Microbiol. 2002, 45, 99–108. [Google Scholar] [CrossRef] [PubMed]
- Witte, A.; Schrot, G.; Schon, P.; Lubitz, W. Proline 21, a residue within the alpha-helical domain of phiX174 lysis protein E, is required for its function in Escherichia coli. Mol. Microbiol. 1997, 26, 337–346. [Google Scholar] [CrossRef]
- Witte, A.; Wanner, G.; Blasi, U.; Halfmann, G.; Szostak, M.; Lubitz, W. Endogenous transmembrane tunnel formation mediated by phi X174 lysis protein E. J. Bacteriol. 1990, 172, 4109–4114. [Google Scholar] [CrossRef]
- Bernhardt, T.G.; Roof, W.D.; Young, R. Genetic evidence that the bacteriophage phi X174 lysis protein inhibits cell wall synthesis. Proc. Natl. Acad. Sci. USA 2000, 97, 4297–4302. [Google Scholar] [CrossRef] [PubMed]
- Bernhardt, T.G.; Struck, D.K.; Young, R. The lysis protein E of phi X174 is a specific inhibitor of the MraY-catalyzed step in peptidoglycan synthesis. J. Biol. Chem. 2001, 276, 6093–6097. [Google Scholar] [CrossRef]
- Mu, J.; Lei, L.; Zheng, Y.; Li, D.; Li, J.; Fu, Y.; Wang, G.; Liu, Y. Comparative study of subcutaneous, intramuscular, and oral administration of bovine pathogenic Escherichia coli bacterial ghost vaccine in mice. Front. Immunol. 2022, 13, 1008131. [Google Scholar] [CrossRef]
- Richardson, S.; Bell, C.R.; Medhavi, F.; Tanner, T.; Lundy, S.; Omosun, Y.; Igietseme, J.U.; Eko, F.O. A novel cold-chain free VCG-based subunit vaccine protects against Chlamydia abortus-induced neonatal mortality in a pregnant mouse model. Front. Immunol. 2023, 14, 1243743. [Google Scholar] [CrossRef] [PubMed]
- Chen, N.; Jiang, D.; Liu, Y.; Zhang, Z.; Zhou, Y.; Zhu, Z. Preparation of Escherichia coli ghost of anchoring bovine Pasteurella multocida OmpH and its immunoprotective effect. BMC Vet. Res. 2023, 19, 192. [Google Scholar] [CrossRef] [PubMed]
- Kwon, S.R.; Nam, Y.K.; Kim, S.K.; Kim, K.H. Protection of tilapia (Oreochromis mosambicus) from edwardsiellosis by vaccination with Edwardsiella tarda ghosts. Fish. Shellfish. Immunol. 2006, 20, 621–626. [Google Scholar] [CrossRef]
- Chu, W.; Zhuang, X.; Lu, C. Generation of Aeromonas hydrophila ghosts and their evaluation as oral vaccine candidates in Carassius auratus gibelio. Acta Microbiol. Sin. 2008, 48, 202–206. [Google Scholar]
- Cao, J.; Zhang, J.; Ma, L.; Li, L.; Zhang, W.; Li, J. Identification of fish source Vibrio alginolyticus and evaluation of its bacterial ghosts vaccine immune effects. Microbiologyopen 2018, 7, e00576. [Google Scholar] [CrossRef] [PubMed]
- Witte, A.; Brand, E.; Mayrhofer, P.; Narendja, F.; Lubitz, W. Mutations in cell division proteins FtsZ and FtsA inhibit phiX174 protein-E-mediated lysis of Escherichia coli. Arch. Microbiol. 1998, 170, 259–268. [Google Scholar] [CrossRef] [PubMed]
- Mezhyrova, J.; Martin, J.; Peetz, O.; Dötsch, V.; Morgner, N.; Ma, Y.; Bernhard, F. Membrane insertion mechanism and molecular assembly of the bacteriophage lysis toxin ΦX174-E. FEBS J. 2020, 288, 3300–3316. [Google Scholar] [CrossRef] [PubMed]
- Orta, A.K.; Riera, N.; Li, Y.E.; Tanaka, S.; Yun, H.G.; Klaic, L.; Clemons, W.M., Jr. The mechanism of the phage-encoded protein antibiotic from PhiX174. Science 2023, 381, eadg9091. [Google Scholar] [CrossRef]
- Chamakura, K.R.; Tran, J.S.; Young, R. MS2 Lysis of Escherichia coli Depends on Host Chaperone DnaJ. J. Bacteriol. 2017, 199, e00058-17. [Google Scholar] [CrossRef]









Disclaimer/Publisher’s Note: The statements, opinions and data contained in all publications are solely those of the individual author(s) and contributor(s) and not of MDPI and/or the editor(s). MDPI and/or the editor(s) disclaim responsibility for any injury to people or property resulting from any ideas, methods, instructions or products referred to in the content. |
© 2024 by the authors. Licensee MDPI, Basel, Switzerland. This article is an open access article distributed under the terms and conditions of the Creative Commons Attribution (CC BY) license (https://creativecommons.org/licenses/by/4.0/).
Share and Cite
Ma, Y.; Wang, S.; Hong, B.; Feng, L.; Wang, J. Construction and Mechanism Exploration of Highly Efficient System for Bacterial Ghosts Preparation Based on Engineered Phage ID52 Lysis Protein E. Vaccines 2024, 12, 472. https://doi.org/10.3390/vaccines12050472
Ma Y, Wang S, Hong B, Feng L, Wang J. Construction and Mechanism Exploration of Highly Efficient System for Bacterial Ghosts Preparation Based on Engineered Phage ID52 Lysis Protein E. Vaccines. 2024; 12(5):472. https://doi.org/10.3390/vaccines12050472
Chicago/Turabian StyleMa, Yi, Sijia Wang, Bin Hong, Lan Feng, and Jufang Wang. 2024. "Construction and Mechanism Exploration of Highly Efficient System for Bacterial Ghosts Preparation Based on Engineered Phage ID52 Lysis Protein E" Vaccines 12, no. 5: 472. https://doi.org/10.3390/vaccines12050472
APA StyleMa, Y., Wang, S., Hong, B., Feng, L., & Wang, J. (2024). Construction and Mechanism Exploration of Highly Efficient System for Bacterial Ghosts Preparation Based on Engineered Phage ID52 Lysis Protein E. Vaccines, 12(5), 472. https://doi.org/10.3390/vaccines12050472

