Severity of Omicron Subvariants and Vaccine Impact in Catalonia, Spain
Abstract
1. Introduction
2. Materials and Methods
2.1. Review of the Epidemiological Data and Estimation of Variant Prevalence
2.2. Epidemiological Trends: Hospitalizations and Deaths
2.3. Definition of Emergence and Dominance Periods
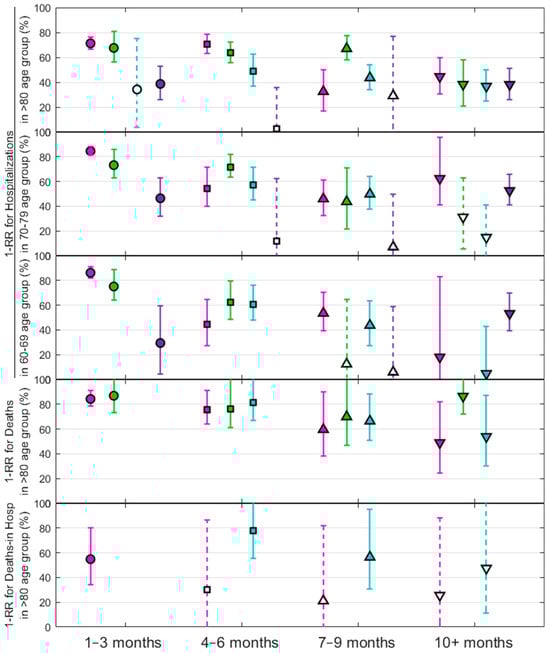
2.4. Severity Metrics by Vaccination Status and Reduction in Severity Calculation
3. Results
3.1. Severity during Emergence and Dominance Periods of Variants
3.2. Cases, Hospitalizations, and Deaths Stratified by Vaccination Status
3.3. Reduction in Severity
4. Discussion
5. Conclusions
Supplementary Materials
Author Contributions
Funding
Institutional Review Board Statement
Informed Consent Statement
Data Availability Statement
Conflicts of Interest
References
- Roemer, C.; Sheward, D.J.; Hisner, R.; Gueli, F.; Sakaguchi, H.; Frohberg, N.; Schoenmakers, J.; Sato, K.; O’toole, A.; Rambaut, A.; et al. SARS-CoV-2 evolution in the Omicron era. Nat. Microbiol. 2023, 8, 1952–1959. [Google Scholar] [CrossRef]
- Chrysostomou, A.C.; Vrancken, B.; Haralambous, C.; Alexandrou, M.; Gregoriou, I.; Ioannides, M.; Ioannou, C.; Kalakouta, O.; Karagiannis, C.; Marcou, M.; et al. Unraveling the Dynamics of Omicron (BA.1, BA.2, and BA.5) Waves and Emergence of the Deltacron Variant: Genomic Epidemiology of the SARS-CoV-2 Epidemic in Cyprus (Oct 2021–Oct 2022). Viruses 2023, 15, 1933. [Google Scholar] [CrossRef]
- Focosi, D.; Spezia, P.G.; Maggi, F. SARS-CoV-2 BA.2.86: Is it Pi or Just Another Omicron Sublineage? Vaccines 2023, 11, 1634. [Google Scholar] [CrossRef]
- La Rosa, G.; Brandtner, D.; Bonanno Ferraro, G.; Veneri, C.; Mancini, P.; Iaconelli, M.; Lucentini, L.; Del Giudice, C.; Orlandi, L.; The SARI network. Wastewater surveillance of SARS-CoV-2 variants in October–November 2022 in Italy: Detection of XBB.1, BA.2.75 and rapid spread of the BQ.1 lineage. Sci. Total Environ. 2023, 873, 162339. [Google Scholar] [CrossRef]
- Yang, S.; Yu, Y.; Xu, Y.; Jian, F.; Song, W.; Yisimayi, A.; Wang, P.; Wang, J.; Liu, J.; Yu, L.; et al. Fast evolution of SARS-CoV-2 BA.2.86 to JN.1 under heavy immune pressure. Lancet Infect. Dis. 2023, 24, e70–e72. [Google Scholar] [CrossRef]
- Voysey, M.; Costa-Clemens, S.A.; Madhi, S.A.; Weckx, L.Y.; Folegatti, P.M.; Aley, P.K.; Angus, B.; Baillie, V.L.; Barnabas, S.L.; Bhorat, Q.E.; et al. Safety and efficacy of the ChAdOx1 nCoV-19 vaccine (AZD1222) against SARS-CoV-2: An interim analysis of four randomised controlled trials in Brazil, South Africa, and the UK. Lancet 2021, 397, 99–111. [Google Scholar] [CrossRef]
- Polack, F.P.; Thomas, S.J.; Kitchin, N.; Absalon, J.; Gurtman, A.; Lockhart, S.; Perez, J.L.; Pérez Marc, G.; Moreira, E.D.; Zerbini, C.; et al. Safety and Efficacy of the BNT162b2 mRNA Covid-19 Vaccine. N. Engl. J. Med. 2020, 383, 2603–2615. [Google Scholar] [CrossRef]
- Al Kaabi, N.; Zhang, Y.; Xia, S.; Yang, Y.; Al Qahtani, M.M.; Abdulrazzaq, N.; Al Nusair, M.; Hassany, M.; Jawad, J.S.; Abdalla, J.; et al. Effect of 2 Inactivated SARS-CoV-2 Vaccines on Symptomatic COVID-19 Infection in Adults. JAMA 2021, 326, 35–45. [Google Scholar] [CrossRef]
- Magen, O.; Waxman, J.G.; Makov-Assif, M.; Vered, R.; Dicker, D.; Hernán, M.A.; Lipsitch, M.; Reis, B.Y.; Balicer, R.D.; Dagan, N. Fourth Dose of BNT162b2 mRNA Covid-19 Vaccine in a Nationwide Setting. N. Engl. J. Med. 2022, 386, 1603–1614. [Google Scholar] [CrossRef]
- Grewal, R.; Kitchen, S.A.; Nguyen, L.; Buchan, S.A.; Wilson, S.E.; Costa, A.P.; Kwong, J.C. Effectiveness of a fourth dose of covid-19 mRNA vaccine against the omicron variant among long term care residents in Ontario, Canada: Test negative design study. BMJ 2022, 378, e071502. [Google Scholar] [CrossRef]
- Martínez-Baz, I.; Miqueleiz, A.; Casado, I.; Navascués, A.; Trobajo-Sanmartín, C.; Burgui, C.; Guevara, M.; Ezpeleta, C.; Castilla, J.; Working Group for the Study of COVID-19 in Navarra. Effectiveness of COVID-19 vaccines in preventing SARS-CoV-2 infection and hospitalisation, Navarre, Spain, January to April 2021. Euro Surveill. 2021, 26, 2100438. [Google Scholar] [CrossRef] [PubMed]
- Thompson, M.G.; Stenehjem, E.; Grannis, S.; Ball, S.W.; Naleway, A.L.; Ong, T.C.; DeSilva, M.B.; Natarajan, K.; Bozio, C.H.; Lewis, N.; et al. Effectiveness of Covid-19 Vaccines in Ambulatory and Inpatient Care Settings. N. Engl. J. Med. 2021, 385, 1355–1371. [Google Scholar] [CrossRef] [PubMed]
- Tenforde, M.W.; Olson, S.M.; Self, W.H.; Talbot, H.K.; Lindsell, C.J.; Steingrub, J.S.; Shapiro, N.I.; Ginde, A.A.; Douin, D.J.; Prekker, M.E.; et al. Effectiveness of Pfizer-BioNTech and Moderna Vaccines Against COVID-19 among Hospitalized Adults Aged ≥ 65 Years—United States, January–March 2021. MMWR Morb. Mortal Wkly. Rep. 2021, 70, 674–679. [Google Scholar] [CrossRef] [PubMed]
- Martínez-Baz, I.; Trobajo-Sanmartín, C.; Miqueleiz, A.; Casado, I.; Navascués, A.; Burgui, C.; Ezpeleta, C.; Castilla, J.; Guevara, M.; the Working Group for the Study of COVID-19 in Navarra. Risk reduction of hospitalisation and severe disease in vaccinated COVID-19 cases during the SARS-CoV-2 variant Omicron BA.1-predominant period, Navarre, Spain, Jan to Mar 2022. Euro Surveill. 2023, 28, 2200337. [Google Scholar] [CrossRef] [PubMed]
- Andrews, N.; Stowe, J.; Møller Kirsebom, F.C.; Toffa, S.; Rickeard, T.; Gallagher, E.; Gower, C.; Kall, M.; Groves, N.; O’Connell, A.-M.; et al. Covid-19 Vaccine Effectiveness against the Omicron (B.1.1.529) Variant. N. Engl. J. Med. 2022, 386, 1532–1546. [Google Scholar] [CrossRef] [PubMed]
- Nielsen, K.F.; Moustsen-Helms, I.R.; Schelde, A.B.; Gram, M.A.; Emborg, H.-D.; Nielsen, J.; Hansen, C.H.; Andersen, M.A.; Meaidi, M.; Wohlfahrt, J.; et al. Vaccine effectiveness against SARS-CoV-2 reinfection during periods of Alpha, Delta, or Omicron dominance: A Danish nationwide study. PLoS Med. 2022, 19, e1004037. [Google Scholar] [CrossRef] [PubMed]
- Lauring, A.S.; Tenforde, M.W.; Chappell, J.D.; Gaglani, M.; Ginde, A.A.; McNeal, T.; Ghamande, S.; Douin, D.J.; Talbot, H.K.; Casey, J.D.; et al. Clinical severity of, and effectiveness of mRNA vaccines against, covid-19 from omicron, delta, and alpha SARS-CoV-2 variants in the United States: Prospective observational study. BMJ 2022, 376, e069761. [Google Scholar] [CrossRef] [PubMed]
- Bager, P.; Wohlfahrt, J.; Bhatt, S.; Stegger, M.; Legarth, R.; Møller, C.H.; Skov, R.L.; Valentiner-Branth, P.; Voldstedlund, M.; Fischer, T.K.; et al. Risk of hospitalisation associated with infection with SARS-CoV-2 omicron variant versus delta variant in Denmark: An observational cohort study. Lancet Infect. Dis. 2022, 22, 967–976. [Google Scholar] [CrossRef] [PubMed]
- Feikin, D.R.; Higdon, M.M.; Abu-Raddad, L.J.; Andrews, N.; Araos, R.; Goldberg, Y.; Groome, M.J.; Huppert, A.; O’Brien, K.L.; Smith, P.G.; et al. Duration of effectiveness of vaccines against SARS-CoV-2 infection and COVID-19 disease: Results of a systematic review and meta-regression. Lancet 2022, 399, 924–944. [Google Scholar] [CrossRef]
- SIVIC. Sistema d’Informació per a la Vigilància d’Infeccions a Catalunya. Available online: https://sivic.salut.gencat.cat/ (accessed on 1 July 2023).
- Scientia—Departament de Salut—Generalitat de Catalunya. Procedures for Handling Cases of Infection with the New Coronavirus SARS-CoV-2—Version 17. Available online: https://hdl.handle.net/11351/9815.17 (accessed on 27 November 2023).
- Scientia—Departament de Salut—Generalitat de Catalunya. Procedures for Handling Cases of Infection with the New Coronavirus SARS-CoV-2—Version 15. Available online: https://hdl.handle.net/11351/9815.15 (accessed on 27 November 2023).
- Scientia—Departament de Salut—Generalitat de Catalunya. Surveillance of New SARS-CoV-2 Variants: Integration of SARS-CoV-2 Genomic Sequence into the Surveillance System of Catalonia. Available online: https://hdl.handle.net/11351/9893.2 (accessed on 27 November 2023).
- de Rioja, V.L.; Perramon-Malavez, A.; Alonso, S.; Andrés, C.; Antón, A.; Bordoy, A.E.; Càmara, J.; Cardona, P.-J.; Català, M.; Lopez, D.; et al. Mathematical modeling of SARS-CoV-2 variant substitutions in European countries: Transmission dynamics and epidemiological insights. Front. Public Health 2024, 12, 1339267. [Google Scholar] [CrossRef]
- Villanueva, I.; Conesa, D.; Català, M.; Cano, C.L.; Perramon, A.; Molinuevo, D.; de Rioja, V.L.; López-Codina, D.; Alonso, S.; Cardona, P.-J.; et al. Country-report pattern corrections of new cases allow accurate two-week predictions of Covid19 evolution with the Gompertz model. Sci. Rep. 2024, submitted. [CrossRef]
- Català, M.; Pino, D.; Marchena, M.; Palacios, P.; Urdiales, T.; Cardona, P.J.; Alonso, S.; López-Codina, D.; Prats, C.; Alvarez-Lacalle, E. Robust estimation of diagnostic rate and real incidence of COVID-19 for European policymakers. PLoS ONE 2021, 16, e0243701. [Google Scholar] [CrossRef] [PubMed]
- Faes, C.; Abrams, S.; Van Beckhoven, D.; Meyfroidt, G.; Vlieghe, E.; Hens, N.; Belgian Collaborative Group on COVID-19 Hospital Surveillance. Time between Symptom Onset, Hospitalisation and Recovery or Death: Statistical Analysis of Belgian COVID-19 Patients. Int. J. Environ. Res. Public Health 2020, 17, 7560. [Google Scholar] [CrossRef] [PubMed]
- Zhou, F.; Yu, T.; Du, R.; Fan, G.; Liu, Y.; Liu, Z.; Xiang, J.; Wang, Y.; Song, B.; Gu, X.; et al. Clinical course and risk factors for mortality of adult inpatients with COVID-19 in Wuhan, China: A retrospective cohort study. Lancet 2020, 395, 1054–1062. [Google Scholar] [CrossRef] [PubMed]
- Català, M.; Coma, E.; Alonso, S.; Andrés, C.; Blanco, I.; Antón, A.; Bordoy, A.E.; Cardona, P.-J.; Fina, F.; Martró, E.; et al. Transmissibility, hospitalization, and intensive care admissions due to omicron compared to delta variants of SARS-CoV-2 in Catalonia: A cohort study and ecological analysis. Front. Public Health 2022, 10, 961030. [Google Scholar] [CrossRef] [PubMed]
- Fabiani, M.; Puopolo, M.; Morciano, C.; Spuri, M.; Alegiani, S.S.; Filia, A.; D’Ancona, F.; Del Manso, M.; Riccardo, F.; Tallon, M.; et al. Effectiveness of mRNA vaccines and waning of protection against SARS-CoV-2 infection and severe covid-19 during predominant circulation of the delta variant in Italy: Retrospective cohort study. BMJ 2022, 376, e069052. [Google Scholar] [CrossRef] [PubMed]
- Huang, Z.; Xu, S.; Liu, J.; Wu, L.; Qiu, J.; Wang, N.; Ren, J.; Li, Z.; Guo, X.; Tao, F.; et al. Effectiveness of inactivated COVID-19 vaccines among older adults in Shanghai: Retrospective cohort study. Nat. Commun. 2023, 14, 2009. [Google Scholar] [CrossRef] [PubMed]
- Lundberg-Morris, L.; Leach, S.; Xu, Y.; Martikainen, J.; Santosa, A.; Gisslén, M.; Li, H.; Nyberg, F.; Bygdell, M. Covid-19 vaccine effectiveness against post-covid-19 condition among 589,722 individuals in Sweden. BMJ 2023, 383, e076990. [Google Scholar] [CrossRef]
- Zou, J.; Kurhade, C.; Xia, H.; Liu, M.; Xie, X.; Ren, P.; Shi, P.-Y. Cross-neutralization of Omicron BA.1 against BA.2 and BA.3 SARS-CoV-2. Nat Commun. 2022, 13, 2956. [Google Scholar] [CrossRef]
- Russell, S.; Klaver, B.; Harrigan, S.; Kamelian, K.; Tyson, J.; Hoang, L.; Taylor, M.; Sander, B.; Mishra, S.; Prystajecky, N.; et al. Clinical severity of Omicron subvariants BA.1, BA.2, and BA.5 in a population-based cohort study in British Columbia, Canada. J. Med. Virol. 2023, 95, e28423. [Google Scholar] [CrossRef]
- Brosh-Nissimov, T.; Hussein, K.; Wiener-Well, Y.; Orenbuch-Harroch, E.; Elbaz, M.; Lipman-Arens, S.; Maor, Y.; Yagel, Y.; Chazan, B.; Hershman-Sarafov, M.; et al. Hospitalized Patients with Severe Coronavirus Disease 2019 During the Omicron Wave in Israel: Benefits of a Fourth Vaccine Dose. Clin. Infect. Dis. 2023, 76, e234–e239. [Google Scholar] [CrossRef] [PubMed]
- Mohammed, H.; Pham-Tran, D.D.; Yeoh, Z.Y.M.; Wang, B.; McMillan, M.; Andraweera, P.H.; Marshall, H.S. A Systematic Review and Meta-Analysis on the Real-World Effectiveness of COVID-19 Vaccines against Infection, Symptomatic and Severe COVID-19 Disease Caused by the Omicron Variant (B.1.1.529). Vaccines 2023, 11, 224. [Google Scholar] [CrossRef] [PubMed]
- Nyberg, T.; Ferguson, N.; Nash, S.; Webster, H.; Flaxman, S.; Andrews, N.; Hinsley, W.; Lopez Bernal, J.; Kall, M.; Bhatt, S.; et al. Comparative analysis of the risks of hospitalisation and death associated with SARS-CoV-2 omicron (B.1.1.529) and delta (B.1.617.2) variants in England: A cohort study. Lancet 2022, 399, 1303–1312. [Google Scholar] [CrossRef]
- Møller Kirsebom, F.C.; Andrews, N.; Stowe, J.; Groves, N.; Chand, M.; Ramsay, M.; Lopez Bernal, J. Effectiveness of the COVID-19 vaccines against hospitalisation with Omicron sub-lineages BA.4 and BA.5 in England. Lancet Reg. Health Eur. 2022, 23, 100537. [Google Scholar] [CrossRef]
- Collie, S.; Nayager, J.; Bamford, L.; Bekker, L.G.; Zylstra, M.; Gray, G. Effectiveness and Durability of the BNT162b2 Vaccine against Omicron Sublineages in South Africa. N. Engl. J. Med. 2022, 387, 1332–1333. [Google Scholar] [CrossRef] [PubMed]
- Yang, S.L.; Ripen, A.M.; Lee, J.V.; Koh, K.; Yen, C.H.; Chand, A.K.; Abdul Rahim, N.A.B.; Gokilavanan, V.; Binti Mohamed, N.N.E.; Sevalingam, R.K.; et al. Time from last immunity event against infection during Omicron-dominant period in Malaysia. Int. J. Infect. Dis. 2023, 128, 98–101. [Google Scholar] [CrossRef]
- Imai, M.; Ito, M.; Kiso, M.; Yamayoshi, S.; Uraki, R.; Fukushi, S.; Watanabe, S.; Suzuki, T.; Maeda, K.; Sakai-Tagawa, Y.; et al. Efficacy of Antiviral Agents against Omicron Subvariants BQ.1.1 and XBB. N. Engl. J. Med. 2023, 388, 89–91. [Google Scholar] [CrossRef]
- Møller Kirsebom, F.C.; Harman, K.; Lunt, R.J.; Andrews, N.; Groves, N.; Abdul Aziz, N.; Hope, R.; Stowe, J.; Chand, M.; Ramsay, M.; et al. Vaccine effectiveness against hospitalization estimated using a test-negative case-control study design, and comparative odds of hospital admission and severe outcomes with COVID-19 sub-lineages BQ.1, CH.1.1. and XBB.1.5 in England. Lancet Reg. Health Eur. 2023, 35, 100755. [Google Scholar] [CrossRef]
- Møller Kirsebom, F.C.; Andrews, N.; Stowe, J.; Ramsay, M.; Lopez Bernal, J. Duration of protection of ancestral-strain monovalent vaccines and effectiveness of bivalent BA.1 boosters against COVID-19 hospitalisation in England: A test-negative case control study. Lancet Infect. Dis. 2023, 23, 1235–1243. [Google Scholar] [CrossRef]
- Gavenčiak, T.; Monrad, J.T.; Leech, G.; Sharma, M.; Mindermann, S.; Bhatt, S.; Brauner, J.; Kulveit, J. Seasonal variation in SARS-CoV-2 transmission in temperate climates: A Bayesian modelling study in 143 European regions. PLoS Comput. Biol. 2022, 18, e1010435. [Google Scholar] [CrossRef]
- Wiemken, T.L.; Khan, F.; Puzniak, L.; Yang, W.; Simmering, J.; Polgreen, P.; Nguyen, J.L.; Jodar, L.; McLaughlin, J.M. Seasonal trends in COVID-19 cases, hospitalizations, and mortality in the United States and Europe. Sci. Rep. 2023, 13, 3886. [Google Scholar] [CrossRef] [PubMed]
- Quinn, G.A.; Connolly, M.; Fenton, N.E.; Hatfill, S.J.; Hynds, P.; ÓhAiseadha, C.; Sikora, K.; Soon, W.; Connolly, R. Influence of Seasonality and Public-Health Interventions on the COVID-19 Pandemic in Northern Europe. J. Clin. Med. 2024, 13, 334. [Google Scholar] [CrossRef] [PubMed]
- Perramon-Malavez, A.; Bravo, M.; López de Rioja, V.; Català, M.; Alonso, S.; Álvarez-Lacalle, E. A; López, D.; Soriano-Arandes, A.; Prats, C. A semi-empirical risk panel to monitor epidemics: Multi-faceted tool to assist healthcare and public health professionals. Front. Public Health 2024, 11, 1307425. [Google Scholar] [CrossRef] [PubMed]



| Cases | Hospitalizations | Deaths Due to COVID-19 | ||||
|---|---|---|---|---|---|---|
| n | % | n | % | n | % | |
| By sex | ||||||
| Male | 80,138 | 42.7 | 5079 | 55.7 | 434 | 52.6 |
| Female | 107,584 | 57.3 | 4045 | 44.3 | 391 | 47.4 |
| By age group | ||||||
| 60–69 | 66,002 | 35.2 | 1415 | 15.5 | 61 | 7.4 |
| 70–79 | 68,135 | 36.3 | 2800 | 30.7 | 151 | 18.3 |
| 80+ | 53,585 | 28.5 | 4909 | 53.8 | 613 | 74.3 |
| By variant | ||||||
| BA.1 | 39,980 | 21.3 | 1511 | 16.6 | 269 | 32.6 |
| BA.2 | 47,829 | 25.5 | 1589 | 17.4 | 158 | 19.2 |
| BA.5 | 75,636 | 40.3 | 3635 | 39.8 | 355 | 43.0 |
| BQ.1 | 24,277 | 12.9 | 2389 | 26.2 | 43 | 5.2 |
| By vaccination status | ||||||
| <90 days | 39,461 | 21.0 | 1351 | 14.8 | 131 | 15.9 |
| 90–179 days | 49,643 | 26.4 | 1608 | 17.6 | 154 | 18.7 |
| 180–269 days | 58,184 | 31.0 | 2853 | 31.3 | 283 | 34.3 |
| >270 days | 30,869 | 16.4 | 2419 | 26.5 | 136 | 16.5 |
| Not vaccinated | 9565 | 5.1 | 893 | 9.8 | 121 | 14.7 |
| Average Cases/Day | Average Hospitalizations/Day | Average Deaths/Day (Due to COVID-19) | |||||||
|---|---|---|---|---|---|---|---|---|---|
| 60–69 | 70–79 | >80 | 60–69 | 70–79 | >80 | 60–69 | 70–79 | >80 | |
| BA.1 emergence | 192.1 | 117.4 | 70.8 | 4.5 | 4.3 | 5.9 | 0.15 | 0.33 | 1.37 |
| BA.1 dominance | 287.3 | 282.0 | 198.4 | 4.1 | 8.2 | 16.0 | 0.14 | 0.77 | 2.97 |
| BA.2 emergence | 203.4 | 171.2 | 107.5 | 2.7 | 5.3 | 9.5 | 0.12 | 0.26 | 0.84 |
| BA.2 dominance | 201.8 | 217.6 | 143.5 | 2.6 | 5.2 | 9.2 | 0.00 | 0.20 | 0.77 |
| BA.5 emergence | 277.4 | 321.2 | 276.6 | 5.1 | 12.0 | 22.4 | 0.12 | 0.28 | 2.00 |
| BA.5 dominance | 46.1 | 53.7 | 56.4 | 1.7 | 3.1 | 5.9 | 0.04 | 0.09 | 0.53 |
| BQ.1 emergence | 77.4 | 92.6 | 79.9 | 3.3 | 6.7 | 9.9 | 0.03 | 0.08 | 0.28 |
| BQ.1 dominance | 31.9 | 37.7 | 45.5 | 3.2 | 5.9 | 9.6 | 0.00 | 0.00 | 0.00 |
Disclaimer/Publisher’s Note: The statements, opinions and data contained in all publications are solely those of the individual author(s) and contributor(s) and not of MDPI and/or the editor(s). MDPI and/or the editor(s) disclaim responsibility for any injury to people or property resulting from any ideas, methods, instructions or products referred to in the content. |
© 2024 by the authors. Licensee MDPI, Basel, Switzerland. This article is an open access article distributed under the terms and conditions of the Creative Commons Attribution (CC BY) license (https://creativecommons.org/licenses/by/4.0/).
Share and Cite
de Rioja, V.L.; Basile, L.; Perramon-Malavez, A.; Martínez-Solanas, É.; López, D.; Medina Maestro, S.; Coma, E.; Fina, F.; Prats, C.; Mendioroz Peña, J.; et al. Severity of Omicron Subvariants and Vaccine Impact in Catalonia, Spain. Vaccines 2024, 12, 466. https://doi.org/10.3390/vaccines12050466
de Rioja VL, Basile L, Perramon-Malavez A, Martínez-Solanas É, López D, Medina Maestro S, Coma E, Fina F, Prats C, Mendioroz Peña J, et al. Severity of Omicron Subvariants and Vaccine Impact in Catalonia, Spain. Vaccines. 2024; 12(5):466. https://doi.org/10.3390/vaccines12050466
Chicago/Turabian Stylede Rioja, Víctor López, Luca Basile, Aida Perramon-Malavez, Érica Martínez-Solanas, Daniel López, Sergio Medina Maestro, Ermengol Coma, Francesc Fina, Clara Prats, Jacobo Mendioroz Peña, and et al. 2024. "Severity of Omicron Subvariants and Vaccine Impact in Catalonia, Spain" Vaccines 12, no. 5: 466. https://doi.org/10.3390/vaccines12050466
APA Stylede Rioja, V. L., Basile, L., Perramon-Malavez, A., Martínez-Solanas, É., López, D., Medina Maestro, S., Coma, E., Fina, F., Prats, C., Mendioroz Peña, J., & Alvarez-Lacalle, E. (2024). Severity of Omicron Subvariants and Vaccine Impact in Catalonia, Spain. Vaccines, 12(5), 466. https://doi.org/10.3390/vaccines12050466

