A Potential Association between Abdominal Obesity and the Efficacy of Humoral Immunity Induced by COVID-19 and by the AZD1222, Convidecia, BNT162b2, Sputnik V, and CoronaVac Vaccines
Abstract
1. Introduction
2. Materials and Methods
2.1. Ethics Statements
2.2. Study Design and Population
2.3. Demographic Variables
2.4. Anthropometric Measures
2.5. Detection of Antibody Levels against SARS-CoV-2
2.6. Statistical Analysis
3. Results
3.1. Characteristics of the Study Population
3.2. Antibody Response Induced by COVID-19 in AO+ Individuals
3.3. Reactogenicity of the Different Vaccination Schedules Applied in the Population with AO
3.4. Prior COVID-19, Abdominal Obesity, and Age Are Factors Independently Associated with Antibody Response
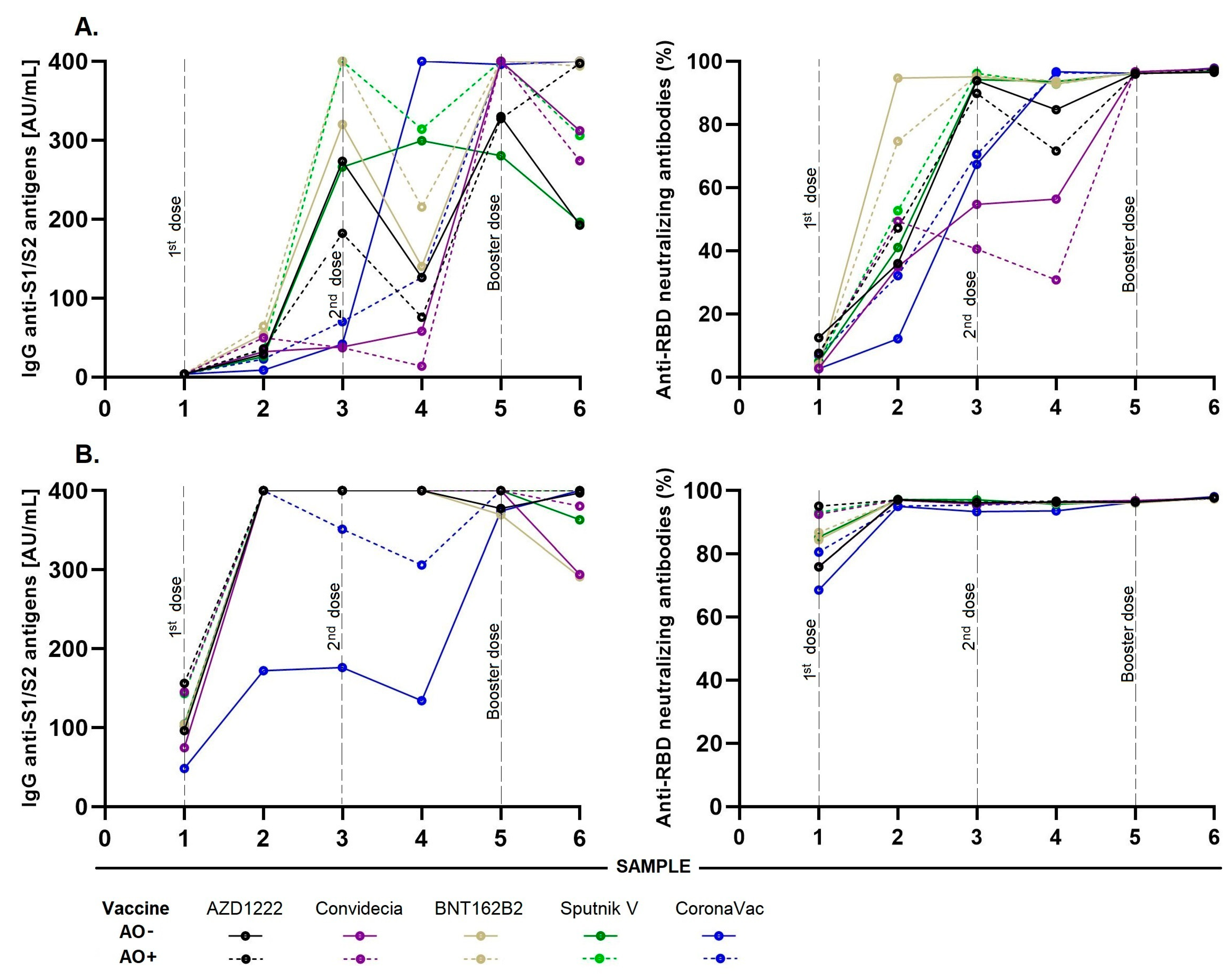
3.5. IgG antibody Response Induced by the Different Vaccination Schemes in AO+ Individuals
3.6. Abdominal Obesity Influences the Seropositivity of Participants without COVID-19 Prior to the Application of Their Vaccination Scheme
3.7. Correlation of Anti-S1/S2 and anti-RBD-Neutralizing IgG Antibody with Participant Age
3.8. Influence of Abdominal Obesity on the Production and Longevity of Antibodies
4. Discussion
5. Conclusions
Supplementary Materials
Author Contributions
Funding
Institutional Review Board Statement
Informed Consent Statement
Data Availability Statement
Acknowledgments
Conflicts of Interest
References
- Jackson, C.B.; Farzan, M.; Chen, B.; Choe, H. Mechanisms of SARS-CoV-2 entry into cells. Nat. Rev. Mol. Cell Biol. 2022, 23, 3–20. [Google Scholar] [CrossRef]
- Kwok, S.; Adam, S.; Ho, J.H.; Iqbal, Z.; Turkington, P.; Razvi, S.; Le Roux, C.W.; Soran, H.; Syed, A.A. Obesity: A critical risk factor in the COVID-19 pandemic. Clin. Obes. 2020, 10, e12403. [Google Scholar] [CrossRef] [PubMed]
- Obesity and Overweight. Available online: https://www.who.int/es/news-room/fact-sheets/detail/obesity-and-overweight (accessed on 2 November 2023).
- Barquera, S.; Hernández-Barrera, L.; Trejo-Valdivia, B.; Shamah, T.; Campos-Nonato, I.; Rivera-Dommarco, J. Obesidad en México, prevalencia y tendencias en adultos. Ensanut 2018-19 [Obesity in Mexico, prevalence andtrends in adults. Ensanut 2018-19]. Salud Publica Mex. 2020, 62, 682–692. [Google Scholar] [CrossRef] [PubMed]
- Lighter, J.; Phillips, M.; Hochman, S.; Sterling, S.; Johnson, D.; Francois, F.; Stachel, A. Obesity in Patients Younger Than 60 Years Is a Risk Factor for COVID-19 Hospital Admission. Clin. Infect. Dis. 2020, 71, 896–897. [Google Scholar] [CrossRef] [PubMed]
- Simonnet, A.; Chetboun, M.; Poissy, J.; Raverdy, V.; Noulette, J.; Duhamel, A.; Labreuche, J.; Mathieu, D.; Pattou, F.; Jourdain, M.; et al. High Prevalence of Obesity in Severe Acute Respiratory Syndrome Coronavirus-2 (SARS-CoV-2) Requiring Invasive Mechanical Ventilation. Obesity 2020, 28, 1195–1199. [Google Scholar] [CrossRef] [PubMed]
- Frasca, D.; Reidy, L.; Cray, C.; Diaz, A.; Romero, M.; Kahl, K.; Blomberg, B.B. Influence of obesity on serum levels of SARS-CoV-2-specific antibodies in COVID-19 patients. PLoS ONE 2021, 16, e0245424. [Google Scholar] [CrossRef]
- Kara, Z.; Akçin, R.; Demir, A.N.; Dinç, H.Ö.; Taşkın, H.E.; Kocazeybek, B.; Yumuk, V.D. Antibody Response to SARS-CoV-2 Vaccines in People with Severe Obesity. Obes. Surg. 2022, 32, 2987–2993. [Google Scholar] [CrossRef]
- Faizo, A.A.; Qashqari, F.S.; El-Kafrawy, S.A.; Barasheed, O.; Almashjary, M.N.; Alfelali, M.; Bawazir, A.A.; Albarakati, B.M.; Khayyat, S.A.; Hassan, A.M.; et al. A potential association between obesity and reduced effectiveness of COVID-19 vaccine-induced neutralizing humoral immunity. J. Med. Virol. 2023, 95, e28130. [Google Scholar] [CrossRef]
- Tchernof, A.; Després, J.P. Pathophysiology of human visceral obesity: An update. Physiol. Rev. 2013, 93, 359–404. [Google Scholar] [CrossRef]
- Lear, S.A.; James, P.T.; Ko, G.T.; Kumanyika, S. Appropriateness of waist circumference and waist-to-hip ratio cutoffs for different ethnic groups. Eur. J. Clin. Nutr. 2010, 64, 42–61. [Google Scholar] [CrossRef]
- Franssen, F.M.; O’Donnell, D.E.; Goossens, G.H.; Blaak, E.E.; Schols, A.M. Obesity and the lung: 5. Obesity and COPD. Thorax 2008, 63, 1110–1117. [Google Scholar] [CrossRef] [PubMed]
- Murugan, A.T.; Sharma, G. Obesity and respiratory diseases. Chron. Respir. Dis. 2008, 5, 233–242. [Google Scholar] [CrossRef]
- Hegde, S.G.; Dhareshwar, S.; Bandyopadhyay, S.; Kuriyan, R.R.; Idiculla, J.; Ghosh, S.; Kurpad, A.V.; Shivakumar, N. Central obesity in low BMI as a risk factor for COVID-19 severity in South Indians. Asia Pac. J. Clin. Nutr. 2022, 31, 142–146. [Google Scholar] [CrossRef]
- Zhu, Z.; Hasegawa, K.; Ma, B.; Fujiogi, M.; Camargo, C.A., Jr.; Liang, L. Association of obesity and its genetic predisposition with the risk of severe COVID-19: Analysis of population-based cohort data. Metabolism 2020, 112, 154345. [Google Scholar] [CrossRef] [PubMed]
- Hamer, M.; Gale, C.R.; Kivimäki, M.; Batty, G.D. Overweight, obesity, and risk of hospitalization for COVID-19: A community-based cohort study of adults in the United Kingdom. Proc. Natl. Acad. Sci. USA 2020, 117, 21011–21013. [Google Scholar] [CrossRef]
- Favre, G.; Legueult, K.; Pradier, C.; Raffaelli, C.; Ichai, C.; Iannelli, A.; Redheuil, A.; Lucidarme, O.; Esnault, V. Visceral fat is associated to the severity of COVID-19. Metabolism 2021, 115, 154440. [Google Scholar] [CrossRef]
- Graziano, E.; Peghin, M.; De Martino, M.; De Carlo, C.; Da Porto, A.; Bulfone, L.; Casarsa, V.; Sozio, E.; Fabris, M.; Cifù, A.; et al. The impact of body composition on mortality of COVID-19 hospitalized patients: A prospective study on abdominal fat, obesity paradox and sarcopenia. Clin. Nutr. ESPEN 2022, 51, 437–444. [Google Scholar] [CrossRef] [PubMed]
- Zhu, Q.; Zhang, Y.; Kang, J.; Chen, Z.; Peng, M.; Chen, M.; Zhang, G.; Xiang, D.; Xiao, S.; Li, H.; et al. Weakened humoral and cellular immune response to the inactivated COVID-19 vaccines in Chinese individuals with obesity/overweight. Genes Dis. 2023, 10, 608–617. [Google Scholar] [CrossRef]
- Watanabe, M.; Balena, A.; Tuccinardi, D.; Tozzi, R.; Risi, R.; Masi, D.; Caputi, A.; Rossetti, R.; Spoltore, M.E.; Filippi, V.; et al. Central obesity, smoking habit, and hypertension are associated with lower antibody titres in response to COVID-19 mRNA vaccine. Diabetes Metab. Res. Rev. 2022, 38, e3465. [Google Scholar] [CrossRef]
- Malavazos, A.E.; Basilico, S.; Iacobellis, G.; Milani, V.; Cardani, R.; Boniardi, F.; Dubini, C.; Prandoni, I.; Capitanio, G.; Renna, L.V.; et al. Antibody responses to BNT162b2 mRNA vaccine: Infection-naïve individuals with abdominal obesity warrant attention. Obesity 2022, 30, 606–613. [Google Scholar] [CrossRef]
- Montes-Herrera, D.; Muñoz-Medina, J.E.; Fernandes-Matano, L.; Salas-Lais, A.G.; Hernández-Cueto, M.L.Á.; Santacruz-Tinoco, C.E.; Monroy-Muñoz, I.E.; Angeles-Martínez, J. Association of Obesity with SARS-CoV-2 and Its Relationship with the Humoral Response Prior to Vaccination in the State of Mexico: A Cross-Sectional Study. Diagnostics 2023, 13, 2630. [Google Scholar] [CrossRef] [PubMed]
- Kalayanarooj, S.; Nimmannitya, S. Is dengue severity related to nutritional status? Southeast Asian J. Trop. Med. Public Health 2005, 36, 378–384. [Google Scholar]
- Louie, J.K.; Acosta, M.; Samuel, M.C.; Schechter, R.; Vugia, D.J.; Harriman, K.; Matyas, B.T. California Pandemic (H1N1) Working Group. A novel risk factor for a novel virus: Obesity and 2009 pandemic influenza A (H1N1). Clin. Infect. Dis. 2011, 52, 301–312. [Google Scholar] [CrossRef]
- Sanchis-Gomar, F.; Lavie, C.J.; Mehra, M.R.; Henry, B.M.; Lippi, G. Obesity and Outcomes in COVID-19: When an Epidemic and Pandemic Collide. Mayo Clin. Proc. 2020, 95, 1445–1453. [Google Scholar] [CrossRef]
- Aggarwal, G.; Cheruiyot, I.; Aggarwal, S.; Wong, J.; Lippi, G.; Lavie, C.J.; Henry, B.M.; Sanchis-Gomar, F. Association of Cardiovascular Disease with Coronavirus Disease 2019 (COVID-19) Severity: A Meta-Analysis. Curr. Probl. Cardiol. 2020, 45, 100617. [Google Scholar] [CrossRef]
- van Zelst, C.M.; Janssen, M.L.; Pouw, N.; Birnie, E.; Castro Cabezas, M.; Braunstahl, G.J. Analyses of abdominal adiposity and metabolic syndrome as risk factors for respiratory distress in COVID-19. BMJ Open Respir. Res. 2020, 7, e000792. [Google Scholar] [CrossRef] [PubMed]
- Frühbeck, G.; Catalán, V.; Rodríguez, A.; Ramírez, B.; Becerril, S.; Salvador, J.; Portincasa, P.; Colina, I.; Gómez-Ambrosi, J. Involvement of the leptin-adiponectin axis in inflammation and oxidative stress in the metabolic syndrome. Sci. Rep. 2017, 7, 6619. [Google Scholar] [CrossRef]
- Kruglikov, I.L.; Scherer, P.E. The role of adipocytes and adipocyte-like cells in the severity of COVID-19 infections. Obesity 2020, 28, 1187–1190. [Google Scholar] [CrossRef]
- Martínez-Colón, G.J.; Ratnasiri, K.; Chen, H.; Jiang, S.; Zanley, E.; Rustagi, A.; Verma, R.; Chen, H.; Andrews, J.R.; Mertz, K.D.; et al. SARS-CoV-2 infection drives an inflammatory response in human adipose tissue through infection of adipocytes and mac-rophages. Sci. Transl. Med. 2022, 14, eabm9151. [Google Scholar] [CrossRef]
- Racine-Brzostek, S.E.; Yang, H.S.; Jack, G.A.; Chen, Z.; Chadburn, A.; Ketas, T.J.; Francomano, E.; Klasse, P.J.; Moore, J.P.; McDonough, K.A.; et al. Postconvalescent SARS-CoV-2 IgG and Neutralizing Antibodies are Elevated in Individuals with Poor Metabolic Health. J. Clin. Endocrinol. Metab. 2021, 106, e2025–e2034. [Google Scholar] [CrossRef]
- Gudbjartsson, D.F.; Norddahl, G.L.; Melsted, P.; Gunnarsdottir, K.; Holm, H.; Eythorsson, E.; Arnthorsson, A.O.; Helgason, D.; Bjarnadottir, K.; Ingvarsson, R.F.; et al. Humoral Immune Response to SARS-CoV-2 in Iceland. N. Engl. J. Med. 2020, 383, 1724–1734. [Google Scholar] [CrossRef] [PubMed]
- Shields, A.M.; Faustini, S.E.; Perez-Toledo, M.; Jossi, S.; Allen, J.D.; Al-Taei, S.; Backhouse, C.; Dunbar, L.A.; Ebanks, D.; Emmanuel, B.; et al. Serological responses to SARS-CoV-2 following non-hospitalised infection: Clinical and ethnodemographic features associated with the magnitude of the antibody response. BMJ Open Respir. Res. 2021, 8, e000872. [Google Scholar] [CrossRef]
- Liu, R.; Nikolajczyk, B.S. Tissue Immune Cells Fuel Obesity-Associated Inflammation in Adipose Tissue and Beyond. Front. Immunol. 2019, 10, 1587. [Google Scholar] [CrossRef]
- Russell, A.C.; Kepka, A.; Trbojević-Akmačić, I.; Ugrina, I.; Song, M.; Hui, J.; Hunter, M.; Laws, S.M.; Lauc, G.; Wang, W. Increased central adiposity is associated with pro-inflammatory immunoglobulin G N-glycans. Immunobiology 2019, 224, 110–115. [Google Scholar] [CrossRef]
- Frasca, D.; Reidy, L.; Romero, M.; Diaz, A.; Cray, C.; Kahl, K.; Blomberg, B.B. The majority of SARS-CoV-2-specific antibodies in COVID-19 patients with obesity are autoimmune and not neutralizing. Int. J. Obes. 2022, 46, 427–432. [Google Scholar] [CrossRef] [PubMed]
- Sheridan, P.A.; Paich, H.A.; Handy, J.; Karlsson, E.A.; Hudgens, M.G.; Sammon, A.B.; Holland, L.A.; Weir, S.; Noah, T.L.; Beck, M.A. Obesity is associated with impaired immune response to influenza vaccination in humans. Int. J. Obes. 2012, 36, 1072–1077. [Google Scholar] [CrossRef]
- Israel, A.; Shenhar, Y.; Green, I.; Merzon, E.; Golan-Cohen, A.; Schäffer, A.A.; Ruppin, E.; Vinker, S.; Magen, E. Large-Scale Study of Antibody Titer Decay following BNT162b2 mRNA Vaccine or SARS-CoV-2 Infection. Vaccines 2021, 10, 64. [Google Scholar] [CrossRef] [PubMed]
- Terpos, E.; Karalis, V.; Ntanasis-Stathopoulos, I.; Evangelakou, Z.; Gavriatopoulou, M.; Manola, M.S.; Malandrakis, P.; Gianniou, D.D.; Kastritis, E.; Trougakos, I.P.; et al. Comparison of Neutralizing Antibody Responses at 6 Months Post Vaccination with BNT162b2 and AZD1222. Biomedicines 2022, 10, 338. [Google Scholar] [CrossRef]
- Polack, F.P.; Thomas, S.J.; Kitchin, N.; Absalon, J.; Gurtman, A.; Lockhart, S.; Perez, J.L.; Pérez Marc, G.; Moreira, E.D.; Zerbini, C.; et al. Safety and Efficacy of the BNT162b2 mRNA COVID-19 Vaccine. N. Engl. J. Med. 2020, 383, 2603–2615. [Google Scholar] [CrossRef]
- Butsch, W.S.; Hajduk, A.; Cardel, M.I.; Donahoo, W.T.; Kyle, T.K.; Stanford, F.C.; Zeltser, L.M.; Kotz, C.M.; Jastreboff, A.M. COVID-19 vaccines are effective in people with obesity: A position statement from The Obesity Society. Obesity 2021, 29, 1575–1579. [Google Scholar] [CrossRef]
- Esposito, S.; Giavoli, C.; Trombetta, C.; Bianchini, S.; Montinaro, V.; Spada, A.; Montomoli, E.; Principi, N. Immunogenicity, safety and tolerability of inactivated trivalent influenza vaccine in overweight and obese children. Vaccine 2016, 34, 56–60. [Google Scholar] [CrossRef] [PubMed]
- Zhang, Y.; Zeng, G.; Pan, H.; Li, C.; Hu, Y.; Chu, K.; Han, W.; Chen, Z.; Tang, R.; Yin, W.; et al. Safety, tolerability, and immunogenicity of an inactivated SARS-CoV-2 vaccine in healthy adults aged 18–59 years: A randomised, double-blind, placebo-controlled, phase 1/2 clinical trial. Lancet Infect. Dis. 2021, 21, 181–192. [Google Scholar] [CrossRef] [PubMed]
- Pascuale, C.A.; Varese, A.; Ojeda, D.S.; Pasinovich, M.E.; Lopez, L.; Rossi, A.H.; Rodriguez, P.E.; Miglietta, E.A.; Mazzitelli, I.; Di Diego Garcia, F.; et al. Immunogenicity and reactogenicity of heterologous immunization against SARS-CoV-2 using Sputnik V, ChAdOx1-S, BBIBP-CorV, Ad5-nCoV, and mRNA-1273. Cell Rep. Med. 2022, 3, 100706. [Google Scholar] [CrossRef]
- Güzel, E.Ç.; Çelikkol, A.; Erdal, B.; Sedef, N. Immunogenicity after CoronaVac vaccination. Rev. Assoc. Med. Bras. 2021, 67, 1403–1408. [Google Scholar] [CrossRef]
- Priddy, F.H.; Williams, M.; Carson, S.; Lavender, B.; Mathieson, J.; Frampton, C.; Moreland, N.J.; McGregor, R.; Williams, G.; Brewerton, M.; et al. Immunogenicity of BNT162b2 COVID-19 vaccine in New Zealand adults. Vaccine 2022, 40, 5050–5059. [Google Scholar] [CrossRef]
- Bates, J.T.; Farmer, A.P.; Bierdeman, M.A.; Ederer, D.R.; Carney, L.S.; Montgomery, D.D.; Lirette, S.T.; Marshall, G.D. IgG Antibody Response to the Pfizer BNT162b2 SARS-CoV-2 Vaccine in Healthcare Workers with Healthy Weight, Overweight, and Obesity. Vaccines 2022, 10, 512. [Google Scholar] [CrossRef]
- Yamamoto, S.; Mizoue, T.; Tanaka, A.; Oshiro, Y.; Inamura, N.; Konishi, M.; Ozeki, M.; Miyo, K.; Sugiura, W.; Sugiyama, H.; et al. Sex-associated differences between BMI and SARS-CoV-2 antibody titers following the BNT162b2 vaccine. Obesity 2022, 30, 999–1003. [Google Scholar] [CrossRef] [PubMed]
- Morales-Núñez, J.J.; Muñoz-Valle, J.F.; Machado-Sulbarán, A.C.; Díaz-Pérez, S.A.; Torres-Hernández, P.C.; Panduro-Espinoza, B.V.; Gallegos-Díaz de Leon, J.A.; Munguía-Ramirez, C.D.; Hernández-Bello, J. Comparison of three different COVID-19 vaccine platforms (CoronaVac, BTN162b2, and Ad5-nCoV) in individuals with and without prior COVID-19: Reactogenicity and neutralizing antibodies. Immunol. Lett. 2022, 251–252, 20–28. [Google Scholar] [CrossRef]
- Mishra, S.K.; Pradhan, S.K.; Pati, S.; Panda, B.K.; Bhattacharya, D.; Sahu, S.K.; Kshatri, J.S. Anti-SARS-CoV-2 antibodies among vaccinated healthcare workers: Repeated cross-sectional study. J. Family Med. Prim. Care 2022, 11, 1883–1889. [Google Scholar] [CrossRef]
- Gobbi, F.; Buonfrate, D.; Moro, L.; Rodari, P.; Piubelli, C.; Caldrer, S.; Riccetti, S.; Sinigaglia, A.; Barzon, L. Antibody Response to the BNT162b2 mRNA COVID-19 Vaccine in Subjects with Prior SARS-CoV-2 Infection. Viruses 2021, 13, 422. [Google Scholar] [CrossRef]
- Bednarski, E.; Del Rio Estrada, P.M.; DaSilva, J.; Boukadida, C.; Zhang, F.; Luna-Villalobos, Y.A.; Rodríguez-Rangel, X.; Pitén-Isidro, E.; Luna-García, E.; Díaz Rivera, D.; et al. Antibody and Memory B-Cell Immunity in a Heterogeneously SARS-CoV-2-Infected and -Vaccinated Population. mBio 2022, 13, e0084022. [Google Scholar] [CrossRef] [PubMed]
- Nantel, S.; Bourdin, B.; Adams, K.; Carbonneau, J.; Rabezanahary, H.; Hamelin, M.È.; McCormack, D.; Savard, P.; Longtin, Y.; Cheng, M.P.; et al. Symptomatology during previous SARS-CoV-2 infection and serostatus before vaccination influence the immunogenicity of BNT162b2 COVID-19 mRNA vaccine. Front. Immunol. 2022, 13, 930252. [Google Scholar] [CrossRef] [PubMed]
- Moncunill, G.; Aguilar, R.; Ribes, M.; Ortega, N.; Rubio, R.; Salmerón, G.; Molina, M.J.; Vidal, M.; Barrios, D.; Mitchell, R.A.; et al. Determinants of early antibody responses to COVID-19 mRNA vaccines in a cohort of exposed and naïve healthcare workers. EBioMedicine 2022, 75, 103805. [Google Scholar] [CrossRef] [PubMed]
- Müller, L.; Andrée, M.; Moskorz, W.; Drexler, I.; Walotka, L.; Grothmann, R.; Ptok, J.; Hillebrandt, J.; Ritchie, A.; Rabl, D.; et al. Age-dependent Immune Response to the Biontech/Pfizer BNT162b2 Coronavirus Disease 2019 Vaccination. Clin. Infect. Dis. 2021, 73, 2065–2072. [Google Scholar] [CrossRef]
- Terpos, E.; Trougakos, I.P.; Apostolakou, F.; Charitaki, I.; Sklirou, A.D.; Mavrianou, N.; Papanagnou, E.D.; Liacos, C.I.; Gumeni, S.; Rentziou, G.; et al. Age-dependent and gender-dependent antibody responses against SARS-CoV-2 in health workers and octogenarians after vaccination with the BNT162b2 mRNA vaccine. Am. J. Hematol. 2021, 96, E257–E259. [Google Scholar] [CrossRef]






| AZD1222 | Convidecia | BNT162B2 | Sputnik V | CoronaVac | ||||||
|---|---|---|---|---|---|---|---|---|---|---|
| AO− | AO+ | AO− | AO+ | AO− | AO+ | AO− | AO+ | AO− | AO+ | |
| (n = 41) | (n = 59) | (n = 45) | (n = 39) | (n = 24) | (n = 46) | (n = 35) | (n = 45) | (n = 26) | (n = 29) | |
| Female | 24 (58.5) | 41 (69.5) | 35 (77.8) | 28 (71.8) | 10 (41.7) | 36 (78.3) | 14 (40) | 34 (75.6) | 16 (61.5) | 19 (65.5) |
| Male | 17 (41.5) | 18 (30.5) | 10 (22.2) | 11 (28.2) | 14 (58.3) | 10 (21.7) c ** | 21 (60) | 11 (24.4) c ** | 10 (38.5) | 10 (34.5) |
| Age years | 50 (36–54) | 53 (41–56) * | 40 (35–44) | 43 (37–48) | 54 (51–57.5) | 54.5 (52–57) | 42 (29–56) | 53 (50–56) * | 35.5 (33–37) | 37 (33–38) |
| Weight (kg) | 62.9 (55–73) | 76 (67–90) *** | 63 (57–70) | 80 (70–97) *** | 67 (58–74) | 76.5 (69–85) *** | 67 (61–75) | 78 (74–84) *** | 64 (57–82) | 79 (73–85) ** |
| Height (m) | 1.6 (1.52–1.69) | 1.6 (1.52–1.66) | 1.6 (1.52–1.65) | 1.6 (1.57–1.71) | 1.6 (1.55–1.70) | 1.6 (1.53–1.65) | 1.7 (1.6–1.7) | 1.6 (1.54–1.68) ** | 1.6 (1.56–1.68) | 1.6 (1.58–1.68) |
| WC (m) | 0.85 (0.78–0.90) | 1.02 (0.93–1.10) *** | 0.82 (0.79–0.86) | 1.03 (0.95–1.11) *** | 0.91 (0.84–0.96) | 1.03 (0.96–1.09) *** | 0.87 (0.81–0.92) | 1.03 (0.96–1.08) *** | 0.86 (0.78–0.93) | 1 (0.95–1.04) *** |
| HC (m) | 0.98 (0.95–1.02) | 1.1 (1.03–1.18) *** | 0.97 (0.92–1.03) | 1.11 (1.06–1.24) *** | 0.97 (0.95–1.00) | 1.11 (1.06–1.15) *** | 0.96 (0.92–1.03) | 1.14 (1.08–1.19) *** | 1.03 (1.00–1.06) | 1.11 (1.06–1.16) *** |
| Waist/hip ratio | 0.87 (0.81–0.91) | 0.93 (0.87–0.96) *** | 0.84 (0.80–0.89) | 0.9 (0.87–0.96) *** | 0.94 (0.87–0.98) | 0.92 (0.88–0.97) | 0.9 (0.84–0.96) | 0.92 (0.87–0.94) | 0.84 (0.78–0.89) | 0.9 (0.84–0.94) ** |
| BMI | 25.3 (23.6–26.4) | 29.4 (27.6–32.9) *** | 25.2 (22.8–28) | 29.7 (26.5–35.5) *** | 25.3 (23.3–27.6) | 30.1 (27.9–32) *** | 24.2 (23.1–27.1) | 30.1 (27.7–32.9) *** | 27 (22.9–29.1) | 30.3 (26.9–32.5) ** |
| Normal weight | 18 (43.9) | 2 (3.4) | 22 (48.9 | 5(12.8) | 11 (45.8) | 2 (4.3) | 23 (65.7) | 3 (6.7) | 10 (38.5) | 3 (10.3) |
| Overweight | 21 (51.2) | 30 (50.8) | 18 (40) | 16 (41) | 13 (54.2) | 19 (41.3) | 11 (31.4) | 19 (42.2) | 10 (38.5) | 10 (34.5) |
| Obesity | 2 (4.9) | 27 (45.8) a *** | 5 (11.1) | 18 (46.2) a *** | 0 (0) | 25 (54.3) a *** | 1 (2.9) | 23 (51.1) a *** | 6 (23.1) | 16 (55.2) a * |
| T2D | 4 (9.8) | 12 (20.3) | 1 (2.2) | 2 (5.1) | 6 (25) | 6 (13) | 3 (8.6) | 9 (20) | 1 (3.8) | 0 (0) |
| HTA | 4 (9.8) | 19 (32.2) * | 0 (0) | 3 (7.7) | 4 (16.7) | 13 (28.9) | 4 (11.4) | 12 (26.7) | 0 (0) | 2 (6.9) |
| AD | 5 (12.2) | 1 (1.7) * | 2 (4.4) | 2 (5.1) | 0 (0) | 2 (4.3) | 2 (5.7) | 1 (2.2) | 0 (0) | 0 (0) |
| ORD | 4 (9.8) | 6 (10.2) | 2 (4.4) | 1 (2.6) | 2 (8.3) | 4 (8.7) | 0 (0) | 0 (0) | 0 (0) | 1 (3.4) |
| HD | 0(0) | 4 (6.8) | 0 (0) | 2 (5.1) | 3 (12.5) | 1 (2.2) | 0 (0) | 0 (0) | 0 (0) | 0 (0) |
| HIV | 1 (2.4) | 0 (0) | 0 (0) | 0(0) | 0 (0) | 0 (0) | 1 (2.9) | 0 (0) | 0 (0) | 0 (0) |
| Seronegative | 29 (70.7) | 28 (47.5) | 31 (68.9) | 19 (48.7) | 13 (54.2) | 21 (45.7) | 25 (71.4) | 26 (57.8) | 17(65.4) | 11 (37.9) |
| Asymptomatic | 3 (7.3) | 15 (25.4) | 6 (13.3) | 8 (20.5) | 7 (29.2) | 18 (39.1) | 4 (11.4) | 9 (20) | 5 (19.2) | 9 (31) |
| Symptomatic | 9 (22) | 16 (27.1) b * | 8 (17.8) | 12 (30.8) | 4 (16.7) | 7 (15.2) | 6 (17.1) | 10 (22.2) | 4 (15.4) | 9 (31) |
| Smoking history | ||||||||||
| Never | 29 (70.7) | 50 (84.7) | 41 (91.1) | 33 (84.6) | 21 (87.5) | 38 (82.6) | 31 (88.6) | 39 (86.7) | 22 (84.6) | 23 (79.3) |
| Mild | 4 (9.8) | 5 (8.5) | 2 (4.4) | 3 (7.7) | 1 (4.2) | 5 (10.9) | 0 (0) | 3 (6.7) | 2 (7.7) | 4 (13.8) |
| Moderate | 4 (9.8) | 2 (3.4) | 1 (2.2) | 3 (7.7) | 1 (4.2) | 1 (2.2) | 3 (8.6) | 1 (2.2) | 1 (3.8) | 1 (3.4) |
| Severe | 4 (9.8) | 2 (3.4) | 1 (2.2) | 0 (0) | 1 (4.2) | 2 (4.3) | 1 (2.9) | 2 (4.4) | 1 (3.8) | 1 (3.4) |
| Alcoholism | ||||||||||
| Never | 25 (61) | 43 (72.9) | 26 (57.8) | 31 (79.5) | 19 (79.2) | 32 (69.6) | 22 (62.9) | 37 (82.2) | 16 (61.5) | 19 (65.5) |
| Mild | 13 (31.7) | 15 (25.4) | 17 (37.8) | 7 (17.9) | 5 (20.8) | 13 (28.3) | 11 (31.4) | 8 (17.8) | 10 (38.5) | 9 (31) |
| Moderate | 3 (7.3) | 1 (1.7) | 2 (4.4) | 1 (2.6) | 0 (0) | 1 (2.2) | 1 (2.9) | 0 (0) | 0 (0) | 0 (0) |
| Severe | 0 (0) | 0 (0) | 0 (0) | 0 (0) | 0 (0) | 0 (0) | 1 (2.9) | 0 (0) | 0 (0) | 1 (3.4) |
| Anti-S1/S2 IgG Antibodies Production (AU/mL) | Anti-RBD Neutralizing Antibodies (%) | |||||||
|---|---|---|---|---|---|---|---|---|
| Day | N | AO− | AO+ | p-Value | AO− | AO+ | p-Value | |
| All (seropositive) | 0 | 168 | 83.8 | 137.5 | 0.001 | 76.9 | 91.3 | 0.002 |
| Asymptomatic | 0 | 84 | 56.7 | 95.1 | 0.139 | 72.1 | 78.9 | 0.146 |
| Symptomatic | 0 | 84 | 90.7 | 188.5 | <0.0001 | 81.8 | 94.5 | 0.001 |
| Without prior COVID-19 | 0 | 220 | 3.8 | 3.8 | 0.158 | 4.95 | 5.58 | 0.874 |
| 21 | 190 | 31.7 | 45.4 | 0.011 | 35.95 | 55.27 | 0.013 | |
| 90 | 211 | 187 | 243 | 0.127 | 90.22 | 93.6 | 0.167 | |
| 180 | 204 | 135 | 177 | 0.854 | 92 | 91 | 0.706 | |
| 270 | 185 | 400 | 400 | 0.365 | 96.38 | 96.37 | 0.349 | |
| 365 | 164 | 338 | 351 | 0.932 | 97.50 | 97.54 | 0.777 | |
| With prior COVID-19 | 0 | 168 | 90.65 | 138 | 0.001 | 79.13 | 91.27 | 0.002 |
| 21 | 151 | 400 | 400 | 0.114 | 96.94 | 96.96 | 0.924 | |
| 90 | 161 | 400 | 400 | 0.583 | 95.99 | 96.06 | 0.795 | |
| 180 | 153 | 400 | 400 | 0.236 | 96 | 96 | 0.172 | |
| 270 | 134 | 400 | 400 | <0.0001 | 96.5 | 96.41 | 0.199 | |
| 365 | 137 | 331.5 | 400 | 0.002 | 97.65 | 97.65 | 0.099 | |
| IgG Anti-S1/S2 AU/mL | ||||||||||||
| Day 0 | Day 21 | Day 90 | Day 180 | Day 270 | Day 365 | |||||||
| p-Value | Beta | p-Value | Beta | p-Value | Beta | p-Value | Beta | p-Value | Beta | p-Value | Beta | |
| Prior COVID-19 | <0.0001 | 0.261 | <0.0001 | 0.826 | <0.0001 | 0.483 | <0.0001 | 0.481 | <0.0001 | 0.289 | <0.0001 | 0.281 |
| Abdominal obesity | 0.005 | 0.208 | 0.001 | 0.099 | 0.461 | 0.034 | 0.46 | 0.035 | 0.161 | 0.077 | 0.066 | 0.104 |
| Age | 0.018 | 0.176 | 0.244 | 0.035 | <0.0001 | 0.223 | 0.035 | 0.099 | 0.483 | 0.038 | 0.074 | −0.1 |
| Sex | 0.258 | −0.084 | 0.825 | −0.006 | 0.897 | 0.006 | 0.87 | −0.008 | 0.006 | −0.147 | 0.8 | −0.014 |
| T2D | 0.23 | 0.09 | 0.994 | 0 | 0.969 | 0.002 | 0.892 | 0.006 | 0.986 | 0.001 | 0.78 | 0.015 |
| Hypertension | 0.626 | 0.038 | 0.91 | −0.003 | 0.931 | 0.004 | 0.654 | −0.022 | 0.112 | −0.085 | 0.923 | 0.005 |
| Smoking history | 0.745 | 0.024 | 0.5 | 0.02 | 0.31 | 0.045 | 0.704 | 0.018 | 0.323 | 0.053 | 0.31 | −0.057 |
| Alcoholism | 0.409 | −0.061 | 0.743 | 0.01 | 0.649 | 0.02 | 0.245 | 0.054 | 0.633 | −0.026 | 0.025 | 0.124 |
| BMI class | 0.334 | 0.081 | 0.393 | 0.03 | 0.676 | 0.019 | 0.125 | −0.072 | 0.951 | 0.003 | 0.415 | 0.046 |
| Vaccine | 0.247 | −0.085 | 0.08 | −0.051 | 0.091 | −0.075 | 0.014 | 0.115 | 0.113 | 0.085 | 0.002 | 0.171 |
| Anti-RBD neutralizing antibodies (%) | ||||||||||||
| Day 0 | Day 21 | Day 90 | Day 180 | Day 270 | Day 365 | |||||||
| p-value | Beta | p-value | Beta | p-value | Beta | p-value | Beta | p-value | Beta | p-value | Beta | |
| Prior COVID-19 | 0.027 | 0.167 | <0.0001 | 0.61 | <0.0001 | 0.321 | <0.001 | 0.342 | 0.992 | 0.001 | 0.275 | 0.063 |
| Abdominal obesity | 0.314 | 0.088 | 0.001 | 0.137 | 0.336 | 0.049 | 0.328 | 0.049 | 0.903 | 0.007 | 0.617 | 0.029 |
| Age | 0.006 | 0.208 | 0.078 | 0.075 | 0.001 | 0.097 | 0.196 | 0.065 | 0.03 | −0.122 | 0.001 | −0.186 |
| Sex | 0.322 | −0.074 | 0.409 | −0.035 | 0.801 | 0.012 | 0.815 | −0.012 | 0.43 | −0.044 | 0.64 | 0.027 |
| T2D | 0.342 | 0.073 | 0.565 | 0.024 | 0.656 | −0.022 | 0.585 | −0.027 | 0.005 | −0.158 | 0.862 | −0.01 |
| Hypertension | 0.464 | 0.059 | 0.669 | −0.018 | 0.566 | 0.03 | 0.784 | −0.014 | 0.751 | −0.019 | 0.568 | −0.034 |
| Smoking history | 0.899 | 0.01 | 0.704 | −0.016 | 0.842 | −0.01 | 0.53 | 0.031 | 0.677 | 0.023 | 0.989 | 0.001 |
| Alcoholism | 0.765 | 0.022 | 0.468 | −0.031 | 0.627 | −0.024 | 0.477 | 0.036 | 0.4 | −0.047 | 0.293 | −0.061 |
| BMI class | 0.026 | 0.169 | 0.489 | 0.035 | 0.265 | 0.056 | 0.665 | −0.022 | 0.967 | −0.002 | 0.183 | 0.077 |
| Vaccine | 0.482 | −0.053 | 0.164 | −0.058 | 0.798 | 0.013 | 0.015 | 0.122 | 0.954 | 0.003 | 0.064 | 0.107 |
Disclaimer/Publisher’s Note: The statements, opinions and data contained in all publications are solely those of the individual author(s) and contributor(s) and not of MDPI and/or the editor(s). MDPI and/or the editor(s) disclaim responsibility for any injury to people or property resulting from any ideas, methods, instructions or products referred to in the content. |
© 2024 by the authors. Licensee MDPI, Basel, Switzerland. This article is an open access article distributed under the terms and conditions of the Creative Commons Attribution (CC BY) license (https://creativecommons.org/licenses/by/4.0/).
Share and Cite
Angeles-Martinez, J.; Monroy-Muñoz, I.E.; Muñoz-Medina, J.E.; Fernandes-Matano, L.; Salas-Lais, Á.G.; Hernández-Cueto, M.D.L.Á.; Bravo-Flores, E.; León-Juárez, M.; Santacruz-Tinoco, C.E.; Montes-Herrera, D. A Potential Association between Abdominal Obesity and the Efficacy of Humoral Immunity Induced by COVID-19 and by the AZD1222, Convidecia, BNT162b2, Sputnik V, and CoronaVac Vaccines. Vaccines 2024, 12, 88. https://doi.org/10.3390/vaccines12010088
Angeles-Martinez J, Monroy-Muñoz IE, Muñoz-Medina JE, Fernandes-Matano L, Salas-Lais ÁG, Hernández-Cueto MDLÁ, Bravo-Flores E, León-Juárez M, Santacruz-Tinoco CE, Montes-Herrera D. A Potential Association between Abdominal Obesity and the Efficacy of Humoral Immunity Induced by COVID-19 and by the AZD1222, Convidecia, BNT162b2, Sputnik V, and CoronaVac Vaccines. Vaccines. 2024; 12(1):88. https://doi.org/10.3390/vaccines12010088
Chicago/Turabian StyleAngeles-Martinez, Javier, Irma Eloisa Monroy-Muñoz, José Esteban Muñoz-Medina, Larissa Fernandes-Matano, Ángel Gustavo Salas-Lais, Ma De Los Ángeles Hernández-Cueto, Eyerahi Bravo-Flores, Moisés León-Juárez, Clara Esperanza Santacruz-Tinoco, and Daniel Montes-Herrera. 2024. "A Potential Association between Abdominal Obesity and the Efficacy of Humoral Immunity Induced by COVID-19 and by the AZD1222, Convidecia, BNT162b2, Sputnik V, and CoronaVac Vaccines" Vaccines 12, no. 1: 88. https://doi.org/10.3390/vaccines12010088
APA StyleAngeles-Martinez, J., Monroy-Muñoz, I. E., Muñoz-Medina, J. E., Fernandes-Matano, L., Salas-Lais, Á. G., Hernández-Cueto, M. D. L. Á., Bravo-Flores, E., León-Juárez, M., Santacruz-Tinoco, C. E., & Montes-Herrera, D. (2024). A Potential Association between Abdominal Obesity and the Efficacy of Humoral Immunity Induced by COVID-19 and by the AZD1222, Convidecia, BNT162b2, Sputnik V, and CoronaVac Vaccines. Vaccines, 12(1), 88. https://doi.org/10.3390/vaccines12010088

