COVID-19 Infection, Vaccination, and Antibody Levels: Investigating Correlations through a Cohort Study
Abstract
:1. Introduction
2. Materials and Methods
- Group 1: Participants were diagnosed with COVID-19 and not vaccinated.
- Group 2: Participants were diagnosed with COVID-19 and subsequently vaccinated with CoronaVac.
- Group 3: Participants who had been vaccinated with two doses of CoronaVac in the Turkish Ministry of Health vaccination program (without prior diagnosis of COVID-19)
2.1. Data Collection
2.2. Laboratory Assay
2.3. Measures and Outcomes
2.4. Statistics
3. Results
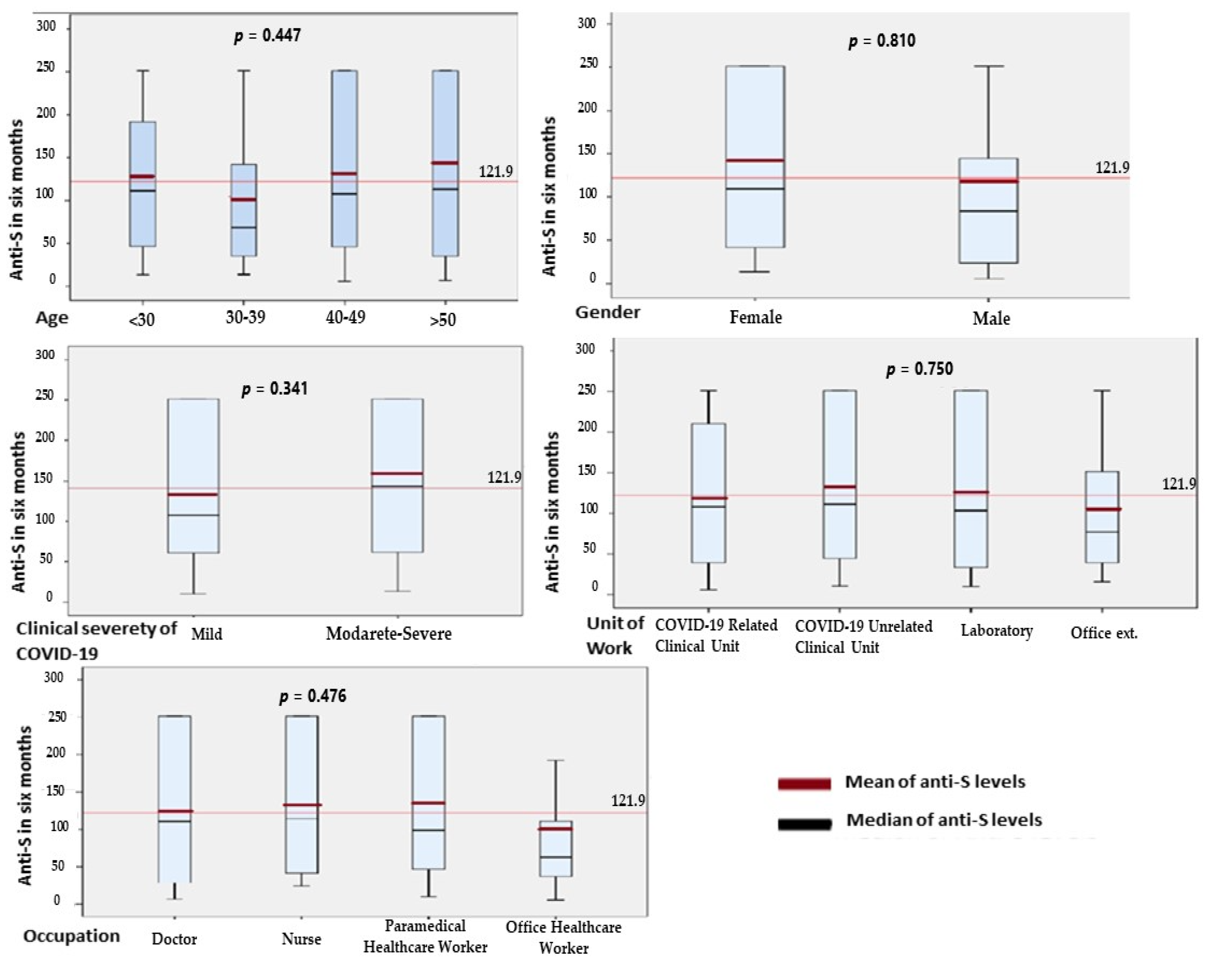
3.1. Levels of Anti-S
3.2. Levels of Anti-N:
3.3. Comparison of Antibody Levels at Three and Six Months, Clinical Status, and One Participant Who Developed COVID-19 during Follow-Up
- Group 1: Participants who had been diagnosed with COVID-19 and who had not yet been vaccinated.
- Group 2: Participants who had been diagnosed with COVID-19 and who were subsequently vaccinated with CoronaVac.
- Group 3: Participants who have been vaccinated with two doses of CoronaVac in the Turkish Ministry of Health’s vaccination program (without prior diagnosis of COVID-19)
4. Discussion
5. Conclusions
Author Contributions
Funding
Institutional Review Board Statement
Informed Consent Statement
Data Availability Statement
Conflicts of Interest
Abbreviations
| Anti-N | Anti-Nucleocapsid IgG/IgM |
| Anti-S | Anti-Spike IgG |
| BAU | Binding antibody units |
| COI | Cut-off index |
| COVID-19 | Coronavirus Disease 2019 |
| HCWs | Healthcare workers. |
| NPs | Nasopharyngeal swab samples |
| OHSU | Occupational Health and Safety Unit |
| RBD | Receptor binding domain |
| RT-PCR | Reverse transcriptase-polymerase chain reaction |
| SPSS | Statistical package for social sciences |
References
- WHO. Interim Recommendations for Use of the Pfizer–BioNTech COVID-19 Vaccine, BNT162b2, under Emergency Use Listing. 2021. Available online: https://apps.who.int/iris/bitstream/handle/10665/361720/WHO-2019-nCoV-vaccines-SAGE-recommendation-BNT162b2-2022.2-eng.pdf?sequence=1&isAllowed=y (accessed on 19 January 2023).
- WHO. WHO Validates Sinovac COVID-19 Vaccine for Emergency Use and Issues Interim Policy Recommendations. Available online: https://www.who.int/news/item/01-06-2021-who-validates-sinovac-covid-19-vaccine-for-emergency-use-and-issues-interim-policy-recommendations#:~:text=WHO%20today%20validated%20the%20Sinovac,Beijing%2Dbased%20pharmaceutical%20company%20Sinovac (accessed on 1 June 2021).
- WHO. WHO Sage Roadmap for Prioritizing Uses of COVID-19 Vaccines in the Context of Limited Supply. 2020. Available online: https://apps.who.int/iris/bitstream/handle/10665/342917/WHO-2019-nCoV-Vaccines-SAGE-Prioritization-2021.1-eng.pdf?sequence=1&isAllowed=y (accessed on 21 January 2022).
- Turkish Ministry of Health. To the Attention of the Public. The Turkish Ministry of Health COVID-19 Information Page. 2021. Available online: https://www.titck.gov.tr/haber/kamuoyunun-dikkatine-13012021185623 (accessed on 5 April 2022).
- Muench, P.; Jochum, S.; Wenderoth, V.; Ofenloch-Haehnle, B.; Hombach, M.; Strobl, M.; Sadlowski, H.; Sachse, C.; Torriani, G.; Eckerle, I.; et al. Development and validation of the elecsys anti-SARS-CoV-2 immunoassay as a highly specific tool for determining past exposure to SARS-CoV-2. J. Clin. Microbiol. 2020, 58, 10–1128. [Google Scholar] [CrossRef] [PubMed]
- Wang, P.; Liu, L.; Nair, M.S.; Yin, M.T.; Luo, Y.; Wang, Q. Sars-Cov-2 Neutralizing Antibody Responses Are More Robust in Patients with Severe Disease. Emerg. Microbes Infect. 2020, 9, 2091–2093. [Google Scholar] [CrossRef] [PubMed]
- Dobaño, C.; Santano, R.; Jiménez, A.; Vidal, M.; Chi, J.; Melero, N.R.; Popovic, M.; López-Aladid, R.; Fernández-Barat, L.; Tortajada, M.; et al. Immunogenicity and crossreactivity of antibodies to the nucleocapsid protein of SARS-CoV-2: Utility and limitations in seroprevalence and immunity studies. Transl. Res. 2021, 232, 60–74. [Google Scholar] [CrossRef] [PubMed]
- Muecksch, F.; Wise, H.; Batchelor, B.; Squires, M.; Semple, E.; Richardson, C.; McGuire, J.; Clearly, S.; Furrie, E.; Neil, G.; et al. Longitudinal analysis of clinical serology assay performance and neutralising antibody levels in COVID-19 convalescents. MedRxiv 2020. [Google Scholar] [CrossRef]
- Özçürümez, M.K.; Ambrosch, A.; Frey, O.; Haselmann, V.; Holdenrieder, S.; Kiehntopf, M.; Neumaier, M.; Walter, M.; Wenzel, F.; Wölfel, R.; et al. SARS-CoV-2 antibody testing—questions to be asked. J. Allergy Clin. Immunol. 2020, 146, 35–43. [Google Scholar] [CrossRef] [PubMed]
- Jochum, S.; Kirste, I.; Hortsch, S.; Grunert, V.P.; Legault, H.; Eichenlaub, U.; Kashlan, B.; Pajon, R. Clinical Utility of Elecsys Anti-SARS-CoV-2 S Assay in COVID-19 Vaccination: An Exploratory Analysis of the mRNA-1273 Phase 1 Trial. Front. Immunol. 2022, 12, 798117. [Google Scholar] [CrossRef] [PubMed]
- Taffertshofer, K.; Walter, M.; Mackeben, P.; Kraemer, J.; Potapov, S.; Jochum, S. Design and performance characteristics of the Elecsys anti-SARS-CoV-2 S assay. Front. Immunol. 2022, 13, 1002576. [Google Scholar] [CrossRef] [PubMed]
- Kristiansen, P.A.; Page, M.; Bernasconi, V.; Mattiuzzo, G.; Dull, P.; Makar, K.; Plotkin, S.; Knezevic, I. WHO International Standard for anti-SARS-CoV-2 immunoglobulin. Lancet 2021, 397, 1347–1348. [Google Scholar] [CrossRef] [PubMed]
- Zeng, F.; Dai, C.; Cai, P.; Wang, J.; Xu, L.; Li, J.; Hu, G.; Wang, Z.; Zheng, F.; Wang, L. A comparison study of SARS-CoV-2 IgG antibody between male and female COVID-19 patients: A possible reason underlying different outcome between sex. J. Med. Virol. 2020, 92, 2050–2054. [Google Scholar] [CrossRef] [PubMed]
- Ciarambino, T.; Para, O.; Giordano, M. Immune system and COVID-19 by sex differences and age. Women’s Health 2021, 17, 17455065211022262. [Google Scholar] [CrossRef] [PubMed]
- Fonseca, M.H.G.; de Souza, T.F.G.; de Carvalho Araújo, F.M.; de Andrade, L.O.M. Dynamics of antibody response to CoronaVac vaccine. J. Med. Virol. 2022, 94, 2139–2148. [Google Scholar] [CrossRef] [PubMed]
- L’Huillier, A.G.; Meyer, B.; Andrey, D.O.; Arm-Vernez, I.; Baggio, S.; Didierlaurent, A.; Eberhardt, C.S.; Eckerle, I.; Grasset-Salomon, C.; Huttner, A.; et al. Antibody persistence in the first 6 months following SARS-CoV-2 infection among hospital workers: A prospective longitudinal study. Clin. Microbiol. Infect. 2021, 27, 784-e1. [Google Scholar] [CrossRef] [PubMed]
- Science Brief: SARS-CoV-2 Infection-induced and Vaccine induced Immunity. Available online: https://www.cdc.gov/coronavirus/2019-ncov/science/science-briefs/vaccine-induced-immunity.html#:~:text=This%20study%20found%20that%20a,with%20SARS%2DCoV%2D2 (accessed on 29 October 2021).
- Demonbreun, A.R.; Sancilio, A.; Velez, M.P.; Ryan, D.T.; Saber, R.; Vaught, L.A.; Reiser, N.L.; Hsieh, R.R.; Richard, T.D.; Mustanski, B.; et al. Comparison of IgG and neutralizing antibody responses after one or two doses of COVID-19 mRNA vaccine in previously infected and uninfected individuals. EClinicalMedicine 2021, 38, 101018. [Google Scholar] [CrossRef] [PubMed]
- Bilgin, H.; Marku, M.; Yilmaz, S.S.; Yagci, A.K.; Sili, U.; Can, B.; Sarinoglu, R.C.; Durmusoglu, L.M.; Haklar, G.; Sirikci, O.; et al. The effect of immunization with inactivated SARS-CoV-2 vaccine (CoronaVac) and/or SARS-CoV-2 infection on antibody levels, plasmablasts, long-lived-plasma-cells, and IFN-γ release by natural killer cells. Vaccine 2020, 40, 2619–2625. [Google Scholar] [CrossRef] [PubMed]
- Muena, N.A.; García-Salum, T.; Pardo-Roa, C.; Avendaño, M.J.; Serrano, E.F.; Levican, J.; Almonacid, L.I.; Valenzuela, G.; Poblete, E.; Strohmeier, S.; et al. Induction of SARS-CoV-2 neutralizing antibodies by CoronaVac and BNT162b2 vaccines in naïve and previously infected individuals. EBioMedicine 2022, 78, 103972. [Google Scholar] [CrossRef] [PubMed]
- Jung, K.; Shin, S.; Nam, M.; Hong, Y.J.; Roh, E.Y.; Park, K.U.; Song, E.Y. Performance evaluation of three automated quantitative immunoassays and their correlation with a surrogate virus neutralization test in coronavirus disease 19 patients and pre-pandemic controls. J. Clin. Lab. Anal. 2021, 35, e23921. [Google Scholar] [CrossRef] [PubMed]
- Perkmann, T.; Mucher, P.; Perkmann-Nagele, N.; Radakovics, A.; Repl, M.; Koller, T.; Schmetterer, K.G.; Bigenzahn, J.W.; Leitner, F.; Jordakieva, G.; et al. The comparability of anti-spike SARS-CoV-2 antibody tests is time-dependent: A prospective observational study. Microbiol. Spectr. 2022, 10, e01402–e01421. [Google Scholar] [CrossRef] [PubMed]
- Roche Diagnostics Elecsys® Anti-SARS-CoV-2 S—Immune Response to SARS-CoV-2 Infection & Vaccination—Questions & Answers. 2021. Available online: https://diagnostics.roche.com/content/dam/diagnostics/Blueprint/en/pdf/cps/factsheet-elecsys-anti-sars-cov-2-s-mc--05522.pdf (accessed on 4 October 2021).
- Resman Rus, K.; Korva, M.; Knap, N.; Avsic Zupanc, T.; Poljak, M. Performance of the rapid high-throughput automated electrochemiluminescence immunoassay targeting total antibodies to the SARS-CoV-2 spike protein receptor binding domain in comparison to the neutralization assay. J. Clin. Virol. 2021, 139, 104820. [Google Scholar] [CrossRef] [PubMed]
- Khoury, D.S.; Cromer, D.; Reynaldi, A.; Schlub, T.E.; Wheatley, A.K.; Juno, J.A.; Subbarao, K.; Kent, S.J.; Triccas, J.A.; Davenport, M.P. What level of neutralising antibody protects from COVID-19? MedRxiv 2021. [Google Scholar] [CrossRef]



| Total Group (n; %) | Group 1 (53/35; 36.3/28.9%) | Group 2 (39/35; 26.7/28.9%) | Group 3 (54/51; 37.0/42.1%) | pA/pB | ||||||
|---|---|---|---|---|---|---|---|---|---|---|
| nA/nB | %A/%B | nA/nB | %A/%B | nA/nB | %A/%B | nA/nB | %A/%B | |||
| Gender | Female | 104/89 | 71.2/73.6 | 34/23 | 64.2/65.7 | 31/29 | 79.5/82.9 | 39/37 | 72.2/72.5 | 0.270/0.261 |
| Male | 42/32 | 28.8/26.4 | 19/12 | 35.8/34.3 | 8/6 | 20.5/17.1 | 15/14 | 27.8/27.5 | ||
| Age (39.1 ± 10.7) | <30 | 35/32 | 24/26.4 | 12/10 | 22.6/28.6 | 11/10 | 28.2/28.6 | 12/12 | 22.2/23.5 | 0.444/0.132 |
| 30–39 | 44/37 | 30.1/30.6 | 18/12 | 34.0/34.3 | 11/10 | 28.2/28.6 | 15/15 | 27.8/29.4 | ||
| 40–49 | 36/28 | 24.7/23.1 | 12/8 | 22.6/22.9 | 13/12 | 33.3/34.3 | 11/8 | 20.4/15.7 | ||
| ≥50 * | 31/24 | 21.2/19.8 | 11/5 | 20.8/14.3 | 4/3 | 10.3/8.6 | 16/16 | 29.7/31.4 | ||
| Occupation | Doctor | 34/26 | 23.3/21.5 | 9/3 | 17.0/8.6 | 4/4 | 10.3/11.4 | 21/19 | 38.9/37.3 | 0.009/0.003 |
| Nurse | 49/42 | 33.6/34.7 | 20/16 | 37.7/45.7 | 19/17 | 48.7/48.6 | 10/9 | 18.5/17.6 | ||
| Paramedical HCWs | 33/27 | 22.6/22.3 | 11/6 | 20.8/17.1 | 10/9 | 25.6/25.7 | 12/12 | 22.2/23.5 | ||
| Office HCWs | 30/26 | 20.5/21.5 | 13/10 | 24.5/28.6 | 6/5 | 15.4/14.3 | 11/11 | 20.4/21.6 | ||
| Unit of employment | COVID-19-related clinical unit | 43/32 | 29.5/26.4 | 16/8 | 30.2/22.9 | 11/9 | 28.2/25.7 | 16/15 | 29.6/29.4 | 0.014/0.005 |
| COVID-19-unrelated clinical unit | 57/48 | 39.0/39.7 | 21/14 | 39.6/40.0 | 19/18 | 48.7/51.4 | 17/16 | 31.5/31.4 | ||
| Lab | 19/18 | 13.0/14.9 | 2/1 | 3.8/2.9 | 3/3 | 7.7/8.6 | 14/14 | 25.9/27.5 | ||
| Office | 27/23 | 18.5/19.0 | 14/12 | 26.4/34.3 | 6/5 | 15.4/14.3 | 7/6 | 13.0/11.8 | ||
| Clinical severity of COVID-19 | Mild | 62/46 | 42.5/38.0 | 38/24 | 26.0/19.8 | 24/22 | 16.5/18.2 | - | 0/0 | <0.001/<0.001 |
| Moderate | 28/23 | 19.2/19.0 | 14/10 | 9.6/8.3 | 14/13 | 9.6/10.7 | - | 0/0 | ||
| Severe | 1/1 | 0.7/0.8 | 1/1 | 0.7/0.8 | 0/0 | 0/0 | - | 0/0 | ||
| Total Group | Group 1 | Group 2 | Group 3 | |||||||
|---|---|---|---|---|---|---|---|---|---|---|
| Antibody Detection Rate | (n; %) | (35; 28.9%) | (35; 28.9%) | (51; 42.1%) | ||||||
| n | % | n | % | n | % | n | % | |||
| sixth month | Anti-S | Positive | 121 | 100 | 35 | 100 | 35 | 100 | 51 | 100 |
| Negative | 0 | 0 | 0 | 0 | 0 | 0 | 0 | 0 | ||
| Anti-N (p = 0.002) | Positive | 103 | 85.1 | 31 | 88.6 | 35 | 100 | 37 | 72.5 | |
| Negative | 18 | 14.9 | 4 | 11.4 | 0 | 0 | 14 | 27.5 | ||
| third month | Anti-S | Positive | 121 | 100 | 35 | 100 | 35 | 100 | 51 | 100 |
| Negative | 0 | 0 | 0 | 0 | 0 | 0 | 0 | 0 | ||
| Anti-N (p = 0.003) | Positive | 110 | 90.9 | 34 | 97.1 | 35 | 100 | 41 | 80.4 | |
| Negative | 11 | 9.1 | 1 | 2.9 | 0 | 0 | 10 | 19.6 | ||
| Antibody Levels | Mean | SD | Mean | SD | Mean | SD | Mean | SD | ||
| sixth month | Anti-S (p < 0.001) | 121.91 | 89.74 | 109.35 | 84.46 | 172.74 | 81.64 | 95.65 | 85.58 | |
| Anti-N (p < 0.001) | 38.68 | 57.10 | 50.27 | 60.55 | 72.05 | 69.13 | 7.84 | 15.48 | ||
| third month | Anti-S (p < 0.001) | 136.52 | 89.80 | 105.81 | 82.12 | 208.59 | 64.78 | 108.15 | 82.44 | |
| Anti-N (p < 0.001) | 60.93 | 71.81 | 71.84 | 67.39 | 117.66 | 78.88 | 14.51 | 22.88 | ||
| Sixth Month Anti-S (121) | Reference Groups | Mean Difference | 95% CI | p | ||
|---|---|---|---|---|---|---|
| Groups | Group 2 | Group 1 | 63.39 | 23.77 | 103.02 | 0.002 |
| Group 2 | Group 3 | 38.55 | 20.21 | 56.88 | <0.001 | |
| Group 1 | Group 3 | 4.57 | −7.82 | 16.95 | 0.080 | |
| Sixth month Anti-N (121) | ||||||
| Groups | Group 2 | Group 1 | 21.78 | −9.22 | 52.78 | 0.165 |
| Group 2 | Group 3 | 32.11 | 22.16 | 42.05 | <0.001 | |
| Group 1 | Group 3 | 14.14 | 8.28 | 20.01 | <0.001 | |
| Third month Anti-S (121) | ||||||
| Groups | Group 2 | Group 1 | 92.58 | 59.78 | 125.38 | <0.001 |
| Group 2 | Group 3 | 51.19 | 35.5 | 66.88 | <0.001 | |
| Group 1 | Group 3 | 3.27 | −7.5 | 14.03 | 0.059 | |
| Third month Anti-N (121) | ||||||
| Groups | Group 2 | Group 1 | 27.19 | −4.17 | 58.56 | 0.088 |
| Group 2 | Group 3 | 50.54 | 39.54 | 61.54 | <0.001 | |
| Group 1 | Group 3 | 24.63 | 17.75 | 31.51 | <0.001 | |
Disclaimer/Publisher’s Note: The statements, opinions and data contained in all publications are solely those of the individual author(s) and contributor(s) and not of MDPI and/or the editor(s). MDPI and/or the editor(s) disclaim responsibility for any injury to people or property resulting from any ideas, methods, instructions or products referred to in the content. |
© 2023 by the authors. Licensee MDPI, Basel, Switzerland. This article is an open access article distributed under the terms and conditions of the Creative Commons Attribution (CC BY) license (https://creativecommons.org/licenses/by/4.0/).
Share and Cite
Kayalı, G.A.; Durmaz, S.; Şahin, İ.N.; Akkul, B.; Durusoy, R.; Akarca, F.K.; Ulukaya, S.; Çiçek, C. COVID-19 Infection, Vaccination, and Antibody Levels: Investigating Correlations through a Cohort Study. Vaccines 2023, 11, 1258. https://doi.org/10.3390/vaccines11071258
Kayalı GA, Durmaz S, Şahin İN, Akkul B, Durusoy R, Akarca FK, Ulukaya S, Çiçek C. COVID-19 Infection, Vaccination, and Antibody Levels: Investigating Correlations through a Cohort Study. Vaccines. 2023; 11(7):1258. https://doi.org/10.3390/vaccines11071258
Chicago/Turabian StyleKayalı, Gözde Akkuş, Seyfi Durmaz, İrem Nur Şahin, Betül Akkul, Raika Durusoy, Funda Karbek Akarca, Sezgin Ulukaya, and Candan Çiçek. 2023. "COVID-19 Infection, Vaccination, and Antibody Levels: Investigating Correlations through a Cohort Study" Vaccines 11, no. 7: 1258. https://doi.org/10.3390/vaccines11071258
APA StyleKayalı, G. A., Durmaz, S., Şahin, İ. N., Akkul, B., Durusoy, R., Akarca, F. K., Ulukaya, S., & Çiçek, C. (2023). COVID-19 Infection, Vaccination, and Antibody Levels: Investigating Correlations through a Cohort Study. Vaccines, 11(7), 1258. https://doi.org/10.3390/vaccines11071258

