Comparative Evaluation of Intradermal vis-à-vis Intramuscular Pre-Exposure Prophylactic Vaccination against Rabies in Cattle
Abstract
1. Introduction
2. Materials and Methods
2.1. Study Animals
2.2. Vaccine
2.3. Study Protocol and Sample Collection
2.4. Rapid Fluorescent Focus Inhibition Test (RFFIT)
2.5. Estimation of RVNA Titers by RFFIT
2.6. Statistical Analysis
3. Results
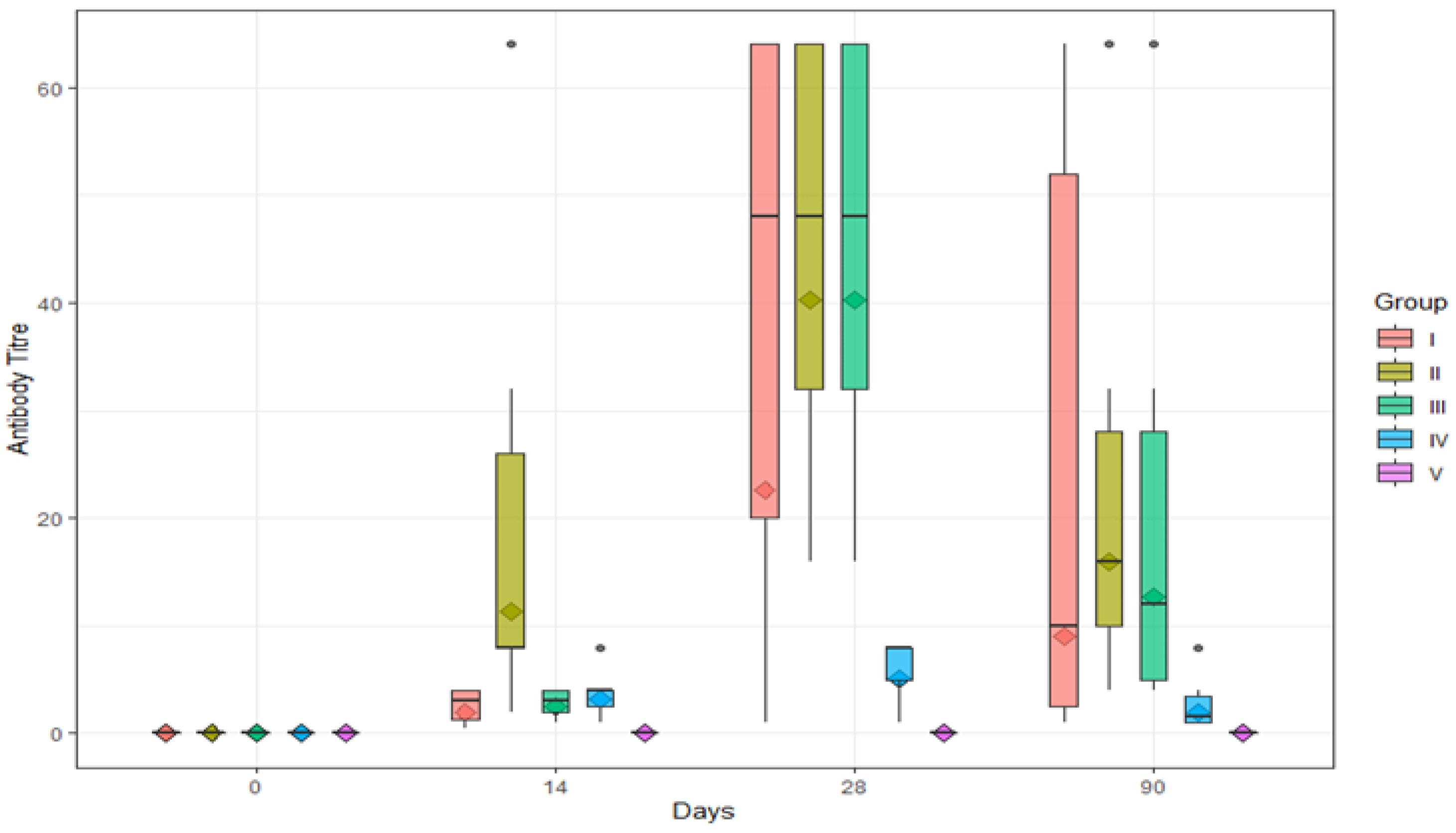
3.1. Sequential Monitoring of RVNA Titer to Detect the Efficacy of Rabies Pre-Exposure Prophylactic Vaccine Administered through Different Routes
3.2. Comparison of Efficacy of Rabies Vaccine Administered via Different Routes (Group I, II, III, and IV) Based on RVNA Titers
4. Discussion
5. Conclusions
Author Contributions
Funding
Institutional Review Board Statement
Informed Consent Statement
Data Availability Statement
Acknowledgments
Conflicts of Interest
References
- Menzes, R. Rabies in India. Can. Med. Assoc. J. 2008, 178, 564–566. [Google Scholar] [CrossRef] [PubMed]
- World Health Organization. WHO Expert Consultation on Rabies: Third Paper; Abela, R.B., Ed.; WHO Technical Report Series No. 1012; WHO: Geneva, Switzerland, 2018. [Google Scholar]
- Radhakrishnan, S.; Vanak, A.T.; Nouvellet, P.; Donnelly, C.A. Rabies as a public health concern in India—A historical perspective. Trop. Med. Infect. Dis. 2020, 5, 162. [Google Scholar] [CrossRef] [PubMed]
- Mani, R.S.; Willoughby, R.E. Human Rabies in South Asia. In Neglected Tropical Diseases—South Asia; Singh, S.K., Ed.; Springer: Cham, Switzerland, 2017; pp. 349–371. [Google Scholar]
- Gompper, M.E. Free Ranging Dogs and Wildlife Conservation, 1st ed.; Oxford University Press: Oxford, UK, 2014; Volume I. [Google Scholar]
- Hampson, K.; Coudeville, L.; Lembo, T.; Sambo, M.; Kieffer, A.; Attian, M.; Barrat, J.; Blanton, J.D.; Briggs, D.J.; Cleaveland Scosta, P.; et al. Global alliance for rabies control partners for rabies prevention. Estimating global burden of endemic canine rabies. PLoS Negl. Trop. Dis. 2015, 9, e0003786. [Google Scholar]
- Cleaveland, S.; Fevre, E.M.; Kaare, M.; Coleman, P.G. Estimating human rabies mortality in the United Republic of Tanzania from dog bite injuries. Bull. World Health Organ. 2022, 80, 304–310. [Google Scholar]
- Deressa, A.; Ali, A.; Beyene, M.; Selassie, B.N.; Yimer, E.; Hussen, K. The status of rabies in Ethiopia: A retrospective record review. Ethiop. J. Health Dev. 2010, 24, 127–132. [Google Scholar] [CrossRef]
- Abbas, S.S.; Kakkar, M. Rabies control in India: A need to close the gap between research and policy. Bull. World Health Organ. 2015, 93, 131–132. [Google Scholar] [CrossRef]
- WHO. WHO position paper on rabies vaccines–Recommendations. Vaccine 2018, 36, 5500–5503. [Google Scholar] [CrossRef]
- Rinchen, S.; Tenzin, T.; Hall, D.; Van Der Meer, F.; Sharma, B.; Dupka, K.; Cork, S. A community based knowledge, attitude and practice survey on rabies among cattle owners in selected areas of Bhutan. PLoS Negl. Trop. Dis. 2019, 13, e0007305. [Google Scholar] [CrossRef]
- Wentworth, D.; Hampson, K.; Thumbi, S.M.; Mwatondo, A.; Wambura, G.; Chng, N.R. A social justice perspective on access to human rabies vaccines. Vaccine 2019, 37, A3–A5. [Google Scholar] [CrossRef]
- Benisek, Z.; Suli, J.; Svrcek, S.; Ondrejkova, A.; Mojzisova, J.; Ondrejka, R. Intradermal anti-rabies immunization- Possibilities of needleless rabies vaccine administration. Bull. Vet. Inst. Pulawy 2006, 50, 137. [Google Scholar]
- Ashokkumar, M.; Ganesan, P.I.; Sekar, M.; Anuradha, P.; Balakrishnan, S. Vaccination studies against rabies in farm and pet animals using different immunization routes. Indian Vet. J. 2016, 10, 33–36. [Google Scholar]
- Bharti, O.K.; Sharma, U.K.; Kumar, A.; Phull, A. Exploring the feasibility of a new low cost intra-dermal pre & post exposure rabies prophylaxis protocol in domestic bovine in Jawali Veterinary Hospital, district Kangra, Himachal Pradesh, India. World J. Vaccines 2018, 8, 8–20. [Google Scholar]
- Neelufer, M.S. Standardization and Application of Rabies Virus Neutralizing Antibodies Assay for Assessment of Vaccinal Efficiency in Dogs. Master’s Thesis, Karnataka Veterinary, Animal and Fisheries Sciences University, Bidar, India, 2016. [Google Scholar]
- Smith, J.S.; Yager, O.A.; Baer, G.M. A Rapid Fluorescent focus Inhibition Test (RFFIT) for determining rabies virus neutralizing antibody. In Laboratory Techniques in Rabies, 4th ed.; Meslin, F., Koprowsky, H., Kaplan, M.M., Eds.; WHO: Geneva, Switzerland, 1996; pp. 181–187. [Google Scholar]
- Fisher, C.R.; Streicker, D.G.; Schnell, M.J. The spread and evolution of rabies virus: Conquering new frontiers. Nat. Rev. Microbiol. 2018, 16, 241–255. [Google Scholar] [CrossRef] [PubMed]
- Warell, M.J. Rabies post exposure vaccination in 2 visits within a week: A 4 site intradermal regimen. Vaccine 2019, in press. [CrossRef]
- Seemanthini, R. Comparative Evaluation of Intradermal and Subcutaneous Prophylactic Rabies Vaccination in Dogs. Master’s thesis, College of Veterinary and Animal Sciences, Kerala, India, 2015. [Google Scholar]
- Namratha, L.P. Studies on Immunogenicity and Duration of Immunity of Rabies Vaccine Administered by Different Route. Master’s Thesis, Karnataka Veterinary, Animal and Fisheries Sciences University, Bidar, India, 2021. [Google Scholar]
- Wongsaroj, P.; Udomchaisakul, P.; Tepsumethanona, S.; Khawploda, K.; Tantawichien, T. Rabies neutralizing antibody after 2 intradermal doses on day 0 and 21 for pre exposure prophylaxis. Vaccine 2013, 31, 1748–1751. [Google Scholar] [CrossRef]
- Liard, C.; Munier, S.; Joulin-Giet, A.; Bonduelle, O.; Hadam, S.; Duffy, D.; Vogt, A.; Verrier, B.; Combadière, B. Intradermal immunization triggers epidermal Langerhans cell mobilization required for CD8 T-cell immune responses. J. Investig. Dermatol. 2012, 132, 615–625. [Google Scholar] [CrossRef]
- Levin, C.; Bonduelle, O.; Nuttens, C.; Primard, C.; Verrier, B.; Boissonnas, A.; Combadiere, B. Critical role for skin-derived migratory DCs and Langerhans cells in TFH and GC responses after intradermal immunization. J. Investig. Dermatol. 2017, 137, 1905–1913. [Google Scholar] [CrossRef]
- Hickling, J.K.; Jones, K.R.; Friede, M.; Zehrung, D.; Chen, D.; Kristensen, D. Intradermal delivery of vaccines: Potential benefits and current challenges. Bull. World Health Organ 2011, 89, 221–226. [Google Scholar] [CrossRef]
- Yu, P.; Lv, X.; Shen, X.; Tang, Q.; Liang, G. Establishment and preliminary application of a rapid fluorescent focus inhibition test (RFFIT) for rabies virus. Virol. Sin. 2013, 28, 223–227. [Google Scholar] [CrossRef]
- Bulletin of World Organization for Animal Health. New Suppliers Selected for OIE Rabies Vaccine. 2022. Available online: https://bulletin.woah.org (accessed on 24 February 2023).
- Wangmo, K.; Laven, R.; Cliquet, F.; Wasniewski, M.; Yang, A. Comparison of antibody titres between intradermal and intramuscular rabies vaccination using inactivated vaccine in cattle in Bhutan. PLoS ONE 2019, 14, e0209946. [Google Scholar] [CrossRef]
- Oliveira, A.N.D.; Andrade, M.C.R.; Silva, M.V.D.; Moura, W.C.D.; Cortez Contreiras, E. Immune response in cattle vaccinated against rabies. Mem. Inst. Oswaldo Cruz. 2000, 95, 83–88. [Google Scholar] [CrossRef] [PubMed]
- Yakobson, B.; Taylor, N.; Dveres, N.; Rozenblut, S.; Tov, B.E.; Markos, M.; Gallon, N.; Homer, D.; Maki, J. Cattle rabies vaccination-a longitudinal study of rabies antibody titres in an Israeli dairy herd. Prev. Vet. Med. 2015, 121, 170–175. [Google Scholar] [CrossRef] [PubMed]
- Reis, L.S.; Pardo, P.E.; Frazatti-Gallina, N.M.; Paoli, R.L.; Oba, E.; Kronka, S.N.; Camargos, A.S. Effects of primovaccination and booster vaccination on serum cortisol and humoral immune response in cattle. Adv. Biosci. Biotechnol. 2013, 4, 607–611. [Google Scholar] [CrossRef]
- Kooijman, S.; Vrieling, H.; Verhagen, L.; De Ridder De Haan, A.; Van, R.E.; Heck, A.J.R.; Kirsten, G.F.A.; Pennings, J.L.A.; Metz, B.; Mering, H.D. Aluminium hydroxide and aluminium phosphate adjuvants elicit a different innate immune response. J. Pharm. Sci. 2022, 111, 982–996. [Google Scholar] [CrossRef]






| Group and Route of Administration | Dose and Route | Day 0 | Day 14 | Day 28 | Day 90 |
|---|---|---|---|---|---|
| Group I (IM with booster dose) | 1 mL IM | 0 * | 0.5–4 | 1- 64 | 1–64 |
| Group II (IM without booster dose) | 1 mL IM | 0 * | 2–64 | 16–64 | 4–64 |
| Group III (ID with booster dose) | 0.2 mL ID | 0 * | 1–4 | 16–64 | 4–64 |
| Group IV (ID without booster dose) | 0.2 mL ID | 0 * | 1–8 | 1–8 | 1–8 |
| Group V (Control) | - | 0 * | - | - | - |
| Group | Dose & Route | RVNA Titer (IU/mL) | |||
|---|---|---|---|---|---|
| Day 0 | Day 14 | Day 28 | Day 90 | ||
| Group I (IM with booster dose) | 1 mL IM | 0 ± 0 A | 2.00 ± 2.40 A | 22.63 ± 5.08 Ba | 8.98 ± 5.91 |
| Group II (IM without booster dose) | Iml IM | 0 ± 0 A | 11.31 ± 3.39 | 40.32 ± 1.76 Ba | 16.00 ± 2.67 |
| Group III (ID with booster dose) | 0.2 mL ID | 0 ± 0 A | 2.52 ± 1.76 A | 40.32 ± 1.76 Ba | 12.70 ± 3.1 |
| Group IV (ID without booster dose) | 0.2 mL ID | 0 ± 0 | 3.18 ± 2.05 | 5.04 ± 2.32 b | 2.00 ± 2.40 |
| Group V (Control) | - | 0 ± 0 | - | - | - |
Disclaimer/Publisher’s Note: The statements, opinions and data contained in all publications are solely those of the individual author(s) and contributor(s) and not of MDPI and/or the editor(s). MDPI and/or the editor(s) disclaim responsibility for any injury to people or property resulting from any ideas, methods, instructions or products referred to in the content. |
© 2023 by the authors. Licensee MDPI, Basel, Switzerland. This article is an open access article distributed under the terms and conditions of the Creative Commons Attribution (CC BY) license (https://creativecommons.org/licenses/by/4.0/).
Share and Cite
Gopalaiah, S.; Appaiah, K.M.; Isloor, S.; Lakshman, D.; Thimmaiah, R.P.; Rao, S.; Gouri, M.; Kumar, N.; Govindaiah, K.; Bhat, A.; et al. Comparative Evaluation of Intradermal vis-à-vis Intramuscular Pre-Exposure Prophylactic Vaccination against Rabies in Cattle. Vaccines 2023, 11, 885. https://doi.org/10.3390/vaccines11050885
Gopalaiah S, Appaiah KM, Isloor S, Lakshman D, Thimmaiah RP, Rao S, Gouri M, Kumar N, Govindaiah K, Bhat A, et al. Comparative Evaluation of Intradermal vis-à-vis Intramuscular Pre-Exposure Prophylactic Vaccination against Rabies in Cattle. Vaccines. 2023; 11(5):885. https://doi.org/10.3390/vaccines11050885
Chicago/Turabian StyleGopalaiah, Swathi, Kshama M. Appaiah, Shrikrishna Isloor, Dilip Lakshman, Ramesh P. Thimmaiah, Suguna Rao, Mahadevappa Gouri, Naveen Kumar, Kavitha Govindaiah, Avinash Bhat, and et al. 2023. "Comparative Evaluation of Intradermal vis-à-vis Intramuscular Pre-Exposure Prophylactic Vaccination against Rabies in Cattle" Vaccines 11, no. 5: 885. https://doi.org/10.3390/vaccines11050885
APA StyleGopalaiah, S., Appaiah, K. M., Isloor, S., Lakshman, D., Thimmaiah, R. P., Rao, S., Gouri, M., Kumar, N., Govindaiah, K., Bhat, A., & Tiwari, S. (2023). Comparative Evaluation of Intradermal vis-à-vis Intramuscular Pre-Exposure Prophylactic Vaccination against Rabies in Cattle. Vaccines, 11(5), 885. https://doi.org/10.3390/vaccines11050885

